125065 (690262)
Текст из файла
Министерство образования и наук РФ
Сибирская государственная Автомобильно-Дорожная Академия
(СибАДИ)
Кафедра: АПП и электротехника
Расчетно-пояснительная записка
к курсовому проекту по курсу Автоматизация технологических процессов и производств
Автоматизация процесса мокрого помола сырья в трубной шаровой мельнице
Выполнил: студент
группы 42АТП
Козлов А.Ю.
Проверил: доцент
Руппель А.А.
Омск 2008
Содержание
Введение
Технологический раздел
Автоматизация процесса мокрого помола сырья в трубной шаровой мельнице
Контроль влажности материала
Особенностями АСУТП помола сырья
Требования к автоматизированным системам контроля и управления
Раздел автоматизации
Исходные данные к проекту
Обоснование по выбору новой структуры модернизируемой системы автоматизации
Идентификация объекта автоматизации
Анализ системы автоматизации процесса мокрого помола сырья в трубной шаровой мельнице до внедрения ПИД-регулятора.
Анализ системы автоматизации процесса мокрого помола сырья в трубной шаровой мельнице с ПИД-регулятором.
Заключение
Список используемой литературы
Введение
Ускорение научно-технического прогресса рассматривается как главное направление экономической стратегии Российского государства, основной рычаг интенсификации промышленности и повышения ее эффективности. Одним из главных средств интенсификации в промышленности является концентрация ресурсов на важнейших направлениях научно-технического прогресса, к которым отнесена и комплексная автоматизация производства. Автоматизированные системы управления оборудованием и технологическими процессами внедряют во все без исключения отрасли промышленного производства.
Характерные особенности современного этапа автоматизации состоят в том, что она опирается на революцию в электронно-вычислительной технике, на самое широкое использование мини - и микро-ЭВМ, а также на быстрое развитие робототехники и гибких производственных систем.
Применение современных средств и систем автоматизации позволяет решать следующие задачи:
- вести процесс с производительностью, максимально достижимой для данных производительных сил, автоматически учитывая непрерывные изменения технологических параметров, свойств исходных материалов и полуфабрикатов, изменений в окружающей среде, ошибки операторов;
- управлять процессом, постоянно учитывая динамику производственного плана для номенклатуры выпускаемой продукции путем оперативной перестройки режимов технологического оборудования, перераспределения работ на однотипном оборудовании и т. п.;
- автоматически управлять процессами в условиях, вредных или опасных для человека.
Широкое внедрение систем автоматизации приносит промышленности кроме прямого экономического эффекта существенный организационный эффект, так как требует специалистов высокой квалификации, и, следовательно, повышает общий уровень организации производства (уменьшает степень неупорядоченности) и его культуры, улучшает стиль и эффективность руководства и т.д.
Уровень механизации и автоматизации производственных процессов сегодня является одним из важнейших показателей научно-технического прогресса в стране.
Технологический раздел
Системы управления приготовлением сырья
В многокамерных трубных шаровых мельницах осуществляется процесс мокрого помола сырья. На вход мельницы с помощью дозаторов или тарельчатых питателей из бункеров непрерывным потоком подаётся размалываемый материал, по трубопроводу подеётся вода. В дальнейшем шлам поступает на обжиг во вращающуюся печь. В процессе измельчения должна обеспечиваться стабилизация влажности и тонкости помола шлама, а также поддержание их значений на заданных технологической картой величинах. При этом влажность шлама должна быть минимальна, так как избыточное содержание воды в шламе приводит к дополнительным затратам топлива на ее испарение в печах. В то же время в шламе должно содержаться столько влаги, чтобы он беспрепятственно проходил мельницу и печь, а также перекачивался насосами. В системах контроля и регулирования широко применялись индикаторы вязкости, показания которых связаны с влажностью шлама.
Тонкость помола зависит как от расхода сырья, подаваемого в мельницу, так и от его размалываемости. Расход сырья контролируется дозаторами или тарельчатыми питателями. Измерение размалываемости сырья представляет значительные трудности. Поэтому для контроля факторов, связанных с размалываемостыо, применяют косвенные методы. Одним из таких факторов является уровень заполнения мельницы материалом, поскольку при неизменной производительности он зависят от размалываемости сырья.
Уровень материала в шаровой мельнице измеряют вибрационным (или электроакустическим) методом. В его основе лежит зависимость характеристик шума, издаваемого мельницей, от количества находящегося в ней материала. Чем меньше уровень загрузки мельницы материалом, тем интенсивнее вибрационный сигнал и наоборот. Устройство, контролирующее уровень загрузки мельницы материалом, устанавливается в начале первой камеры в так называемой зоне дробления (УКЗМ1). Здесь воспринимается сигнал изменения количества и размалываемости материала. Колебания вязкости шлама на выходе из мельницы вызываются изменением подачи материала или воды, а также изменением физических свойств сырья.
Вязкость шлама на выходе из мельницы измеряется индикатором вязкости. Значительное время запаздывания в мельнице затрудняет управление расходом воды непосредственно по индикатору вязкости. Поэтому в качестве косвенного, статистически связанного с ним промежуточного параметра, отражающего изменение вязкости шлама, используется сигнал другого вибрационного устройства, установленного в так называемой зоне шламообразования, расположенной от входа на расстоянии 35—40 % длины мельницы (УКЗМ2).
Перечисленные параметры, а также результаты измерения расхода воды (индукционным расходомером или дифманометром), известняка и добавок (по положению ножа тарельчатого питателя или с помощью дозирующих устройств) представляются оператору на показывающих, записывающих приборах пли па дисплее и печатающих устройствах.
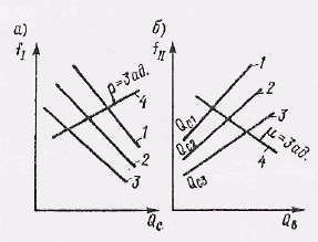
Для изучения мельницы как объекта регулирования и построения основных технологических зависимостей с помощью системы контроля и дистанционного управления определяются связи между технологическими величинами. Так, на рис. 2, а приведены зависимости сигнала УКЗМ1 В зоне дробления f1, от производительности мельницы Qс при различном гранулометрическом составе материала, который является одним из показателен размалываемости. Линия 3 характеризует наиболее крупный и трудноразма-лываемый материал, 2 — средний, 1 — легко размалываемый.
Уровень загрузки первой камеры мельницы материалом в зоне дробления зависит не только от производительности мельницы, но и от размалываемости сырья. При неизменной производительности мельницы трудноразмалываемый материал недоизмельчается, а легкоразмалываемый измельчается до чрезвычайно малых частиц. В то же время поддержание постоянного уровня загрузки первой камеры, т. е. величины f1 приводит к обратному явлению: подача в мельницу легкоразмалываемого сырья столь велика, что шлам на выходе будет грубого помола. Вынесенная на график линия 4 является линией постоянного значения тонкости помола р.
Стабилизация заданной тонкости помола достигается путем поддержания определенного соотношения между изменениями величин сигнала УКЗМ1 f1 первой камеры и производительности Qс .Зависимость сигнала УКЗМ2 в зоне шламообразования f11 от изменения расхода воды Qв при различных расходах материала в мельницу Qс имеет вид, показанный на рис. 2. Из графика следует, что при постоянном значении Qс увеличение расхода подаваемой в мельницу воды приводит к увеличению сигнала УКЗМ2, и наоборот.
Если установись новое значение Qс, то линия переместится почти параллельно самой себе. Таким образом, сигнал УКЗМ2 в зоне шламообразования зависит от расхода материала, изменение которого вызывает изменение уровня в зоне, и от расхода воды. Следовательно, сигнал УКЗМ2, установленный в зоне шламообразования, может быть использован в качестве промежуточного параметра для регулирования вязкости шлама.
Нанесенная на график линия 4 является линией равных значений вязкости шлама. Стабилизация заданной вязкости шлама µ достигается путем поддержания определенного соотношения между изменениями величины f11 и расходом подаваемой в мельницу воды Qв. Изменения гранулометрического состава и расхода подаваемого в мельницу материала, вызывая изменения уровня смеси в зоне шламообразования, компенсируются пропорциональным изменением расхода воды с помощью УК.ЗМ2. На рис. 3 изображена блок-схема системы автоматического регулирования мокрого помола сырья. Сигналы от устройства контроля загрузки мельницы УКЗМ1 и датчика расхода сырья (дозатора, весоизмерителя или положения ножа тарельчатого питателя) подаются на вход регулирующего прибора 1-4 загрузки мельницы материалом. При соответствующих параметрах настройки регулирующий прибор поддерживает определенное соотношение сигналов датчиков f1 и Qс, благодаря чему колебания тонкости помола шлама становятся меньшими, чем при ручном управлении процессом.
Рис. Функциональная схема системы автоматического регулирования процесса мокрого помола сырья
При изменении уровня загрузки первой камеры материалом изменяется величина сигнала УКЗМ1, подаваемого на регулирующий прибор, который воздействует на исполнительный механизм ИМ1 и перемещает нож тарельчатого питателя (или задатчик дозатора) до тех пор, пока сигнал обратной связи по положению ножа питателя (или расходомера сырья) не сбалансирует регулирующий прибор. Соотношение сигналов датчиков, поддерживаемое регулирующим прибором, при этом остается неизменным.
Система автоматического регулирования вязкости шлама управляет расходом воды в мельницу. На регулирующий прибор Р2 подаются сигналы УКЗМ2, а также дифманометра ДМ или другого расходомера воды. При изменении сигнала УКЗМ2, вызванного изменением расхода материала, регулирующий прибор Р2 воздействует на исполнительный механизм ИМ2, который с помощью пережимного или иного устройства пропорционально изменяет расход воды. При соответствующих параметрах настройки регулирующий прибор поддерживает определенное соотношение между сигналами датчиков f11 и Qв, уменьшая тем самым возможные колебания вязкости шлама па выходе мельницы, которая контролируется индикатором вязкости РВ.
Сигналы вязкости и тонкости помола шлама непосредственно подать на вход регулирующего прибора нельзя из-за значительного транспортного запаздывания и возможной «раскачки» системы. Если же на вход регуляторов подавать эти сигналы, усредненные за определенный промежуток времени (0,5—1,0 ч) и с учетом времени запаздывания по каждому каналу, т.е. реализовать двухкаскадную двухконтурную систему управления, качество работы такой системы будет значительно выше.
Для дистанционного управления процессом служат ключи выбора режима работы, ключи дистанционного управления с самовозвратом и указатели положения регулирующих органов.
Резкое и длительное изменение свойств размалываемого материала, перегрузка мельницы мелющими телами приводят к необходимости подбора параметром статической настройки. Некоторые параметры медленно изменяются во времени, например уменьшение массы шаровой загрузки. Эти изменения могут вызвать отклонение тонкости помола и вязкости шлама на выходе из мельницы, что требует корректировки или подстройки настроечных параметров
Если с течением времени вязкость или тонкость помола шлама установятся на новом значении, отличающемся от заданного, то нужно изменить положение задатчиков регулирующих приборов, чтобы, восстановить прежние значения параметров.
При возникновения длительных незатухающих колебаний параметров качества около заданных значении надо подстроить передаточный коэффициент соответствующего регулирующего прибора. Для проверки выбранных параметров настройки ведется наблюдение за характером изменения технологических параметров измельчения в течение длительного периода.
Характеристики
Тип файла документ
Документы такого типа открываются такими программами, как Microsoft Office Word на компьютерах Windows, Apple Pages на компьютерах Mac, Open Office - бесплатная альтернатива на различных платформах, в том числе Linux. Наиболее простым и современным решением будут Google документы, так как открываются онлайн без скачивания прямо в браузере на любой платформе. Существуют российские качественные аналоги, например от Яндекса.
Будьте внимательны на мобильных устройствах, так как там используются упрощённый функционал даже в официальном приложении от Microsoft, поэтому для просмотра скачивайте PDF-версию. А если нужно редактировать файл, то используйте оригинальный файл.
Файлы такого типа обычно разбиты на страницы, а текст может быть форматированным (жирный, курсив, выбор шрифта, таблицы и т.п.), а также в него можно добавлять изображения. Формат идеально подходит для рефератов, докладов и РПЗ курсовых проектов, которые необходимо распечатать. Кстати перед печатью также сохраняйте файл в PDF, так как принтер может начудить со шрифтами.














