108833 (689170), страница 5
Текст из файла (страница 5)
III У порога нового мира
3.1. Вселенная: граничные переходы
Получим вторую космическую скорость, характерную для нашей вселенной. Сохраняя предыдущие3 начальные рассуждения, обозначения и терминологию, образуем новое энергетическое пороговое соотношение
Справа в выражении (24) записана потенциальная энергия материального объекта у поверхности нашей вселенной. Таким образом, преодоление этой энергии приводит к смене основного состояния объекта. Объект больше не принадлежит, по крайней мере нашему, макромиру. Трансформируясь, он покидает этот мир. Соответствующая скорость следует из (24):
Соответствующая этой скорости кинетическая энергия выхода объекта за границу нашей вселенной (по крайней мере — нашего макромира) равна:
и представляет собой одновременно полную энергию покоящегося объекта. Если при скорости
объект теряет инертную массу, то скорость
приводит к потере тяжелой массы. В одном из вариантов трансформации объекта происходит его превращение в лучевую форму энергии в соответствии с известным уравнением:
mc2 = hn .
В другом варианте события разворачиваются по сценарию черной дыры. Запишем новое соотношение на основе уже известного выражения3
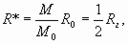
Отсюда следует критический радиус
Критический радиус R* характеризует выход тела за пределы нашей вселенной, его уход за горизонт событий, как принято сейчас говорить. Это и есть начало образования сингулярности в принятой терминологии. В этом случае, учитывая все физические условия такой трансформации, можно предположить, что объект будет принадлежать к микромиру. В общем случае энергетические пороговые соотношения типа (24), (25) с произвольной левой частью и знаком неравенства “меньше, равно” или “больше, равно” должны характеризовать различные случаи входа и выхода некоторого объекта через границу нашей вселенной соответственно.
В удивительном свете предстает перед нами ряд Слов и событий из Священного Писания. Новое и неожиданное толкование приобретают эти Слова и события в контексте с обсуждаемым нами законом:
преображение, воскресение и вознесение Спасителя;
“Сеется тело душевное, восстает тело духовное. Есть тело душевное, есть тело и духовное.” (IКор.15:44).
“ ... не все мы умрем, но все изменимся
Вдруг, во мгновение ока...” (IКор.15:51,52).
“... времени уже не будет.” (Отк.10:6).
3.2. Болезни века
Ввиду того что обсуждаемый нами закон носит фундаментальный характер, представляются весьма актуальными в его рамках поиск соответствующих энергетических пороговых соотношений, разработка ранней диагностики и профилактики ряда заболеваний. К их числу прежде всего относятся такие системные болезни, как рак и инфаркт. В каждом конкретном случае на этом пути нам предстоит выделить объект, управляющее воздействие на этот объект, основное состояние объекта, возмущение этого состояния. Наконец, нам предстоит определить характерные для основного состояния и возмущения этого состояния энергии. И все это исследование должно происходить в контексте с рассматриваемым заболеванием. Последнее обстоятельство требует, чтобы мы прежде всего нашли адекватный болезни уровень и язык описания объекта.
Рак. Когда и почему делится клетка? Каково основное состояние клетки, предшествующее этому делению? Какой вид возмущения этого состояния приводит к ее делению? Правильные ответы подведут нас к искомому энергетическому пороговому соотношению: мы с открытыми глазами сможем взглянуть на адекватные болезни параметры организма и клетки, в частности будут обнаружены корни лечения, профилактики и ранней диагностики. Постановка задачи в рамках закона сохранения и превращения энергии определенного вида может и должна стать центральной в литературе, посвященной биологии рака. Основная проблема науки — противоречие между системным характером болезни и узкоспециализированными подходами к ней. В нетривиальном случае** болезнь вызвана стоком избыточной относительно нормального основного состояния клетки энергии в последнюю.
В своих предварительных модельных исследованиях мы будем исходить из данных, приведенных в монографии американского цитолога Е. Каудри [15], а также последних достижений генетики в области канцерогенеза. Судя по N-образной кривой зависимости частоты митозов от собственного времени событий, минимальное количество особых точек и соответственно фаз эволюции равно трем. В дальнейшем мы будем рассматривать физический уровень описания клетки. Во-первых, физический язык описания адекватен клетке как макрообъекту. Во-вторых, для нас это наиболее понятный язык, на котором мы хотим продемонстрировать применение обсуждаемого закона.
Первая особая точка на шкале событий может быть связана с началом нормальных деления клетки. Интересно, что такие деления могут представлять собой результат механического воздействия на ядро. Насколько можно судить из экспериментальных данных, клетка обладает достаточно большой вязкостью. Наличие у цитоплазмы такой вязкости позволяет предохранить ядро от несанкционированных кратковременных воздействий. В то же время длительные, но также нецелесообразные воздействия могут быть устранены при наличии у клетки упругих свойств. В частности, не вызывает сомнения, что клетка как макрообъект обладает отчетливой реакцией на сжатие или растяжение. В этом случае до определенного предела соответствующие воздействия будут погашены возникающими упругими силами. Далее события разворачиваются по сценарию звуковой волны (§ 2.2), где собственная энергия возмущения клетки может быть записана в отличном от приведенного виде. В другом варианте события могут развиваться в направлении, аналогичном образованию геофизической или электрической трещины (п.2.2, 2.8). В этом случае результат можно было бы назвать биологической трещиной.
Вторая особая точка может представлять собой начало возникновения аномальных клеток. Такие клетки должны в первую очередь содержать деформированные уродливые ядра. К патогенезу клетки может приводить переход звуковой мягкой волны, переносящей только возмущение, в ударную волну, переносящую вещество. Точнее, речь могла бы идти о первой фазе образования такой волны, связанной с уплотнением цитоплазмы (п. 2.12). В результате должно происходить травмирование ядра. Уменьшение числа делений клеток на этом этапе можно связать с реакцией имунного механизма на клетки-мутанты.
Третья особая точка могла бы характеризовать возникновение собственно раковых клеток. Последние возникают как результат приспособления клетки к массированному энергетическому воздействию в виде жесткой ударной волны за счет изменения текста ДНК. Возникающие клетки представляют собой диких предков цивилизации клеток организма. В норме они являются как бы спящей (связанной) основой нормальных клеток. По этой причине, по-видимому, они выигрывают сражение за жизнь. В частности, безмолвствуют защитные силы организма.
Продвижение к природе рака, направленное на выявление ракового энергетического порогового соотношения, позволит нам подойти к осознанному анализу клеточного уровня (диагностика) и разумно минимальному адекватному воздействию на него (профилактика и лечение).
Инфаркт. Болезнь и ее окончание, в частности, может протекать по сценарию биологической трещины, аналогичной геофизической (§ 2.3) и электрической (§ 2.9) трещинам. Ранняя диагностика в этом случае связана с численным определением энергетического порогового соотношения, записанного для сердца: профилактика и лечение с направленным воздействием на это соотношение таким образом, чтобы уменьшить отношение упругой энергии к гравитационной.
Заключение
Когда-то древний народ Израиля вышел из тьмы египетского рабства. В этом великом исходе и последующем открытии земли обетованной людей спасало Слово Божие. Сегодня мы прикоснулись к тайне качественных изменений и начинаем выходить из пелены непонятого. Но освобождение еще впереди. У нас есть Слово, чтобы в третьем тысячелетии войти с Ним в новую землю.
Это Слово было услышано мною как закон сохранения и превращения энергии определенного вида — необходимая часть общего закона сохранения и превращения энергии. Его сущность можно изложить следующим образом.
В физическом объекте под управляющим силовым воздействием стороннего источника возникает возмущение основного состояния. Основное состояние характеризует единство объекта и среды, к которой объект принадлежит. В процессе управляющего воздействия энергия такого возмущения — энергия определенного вида — накапливается или уменьшается в объекте и переходит в энергию нового вида.
Сохранение или превращение энергии определенного вида в физическом объекте зависит от порогового соотношения между собственной энергией возмущения, определенной для объекта, свободного от соответствующей связи со средой, и энергией, характерной для основного состояния.
Объект сохраняет свое основное состояние и, как следствие, энергию определенного вида, если собственная энергия возмущения лежит в границах, определенных для данного основного состояния. В этом случае мы говорим об эволюции объекта: сколь угодно малое управляющее воздействие приводит к сколь угодно малому возмущению основного состояния объекта, сколь угодно малому изменению его текущего состояния.
В противном случае, когда энергетическое пороговое соотношение (неравенство) между собственной энергией возмущения и энергией основного состояния объекта нарушается (меняет свой знак на противоположный), происходит изменение (обновление или смена) основного состояния объекта. В результате возникает новое возмущение, адекватное новому основному состоянию. Происходит видоизменение энергии: энергия предыдущего вида превращается в энергию либо системообразующей связи объекта, либо нового вида возмущения. Скачок в жизни объекта представляет собой преображение или катастрофу предыдущего образа его существования и сопровождается изменением знака неравенства на противоположный. Для родственных объектов соответствующее энергетическое пороговое соотношение выполняет роль коэффициента подобия (частный случай — числа Фруда, Рейнольдса) и образует шкалу жизненного цикла объекта на соответствующей его основному состоянию фазе эволюции. В финальный момент любой фазы эволюции на этой шкале, когда имеет место предельное равенство правой и левой частей энергетического порогового соотношения, взаимодействие между объектом и средой прекращается.
Закон сохранения и превращения энергии определенного вида был помещен мною в самую сердцевину целого ряда разделов физики. И произошло, как мы могли убедиться, взаимное оплодотворение. С одной стороны, идея была апробирована и получила живое наполнение. С другой стороны, ряд весьма важных задач получил полное решение как прямое применение закона. И, наконец, возник целый ряд новых точек зрения на весьма важные проблемы, которые не могут не принести плоды.
Мы живем в особое время, когда наука и Библия сходятся в единой точке зрения на конечность и ограниченность нашего мира. В ОТО конечность и ограниченность нашего мира характеризуют: скорость света, черная дыра и сингулярность внутри черной дыры. Причем скорость света принята предельной для любого материального объекта, черная дыра существует на горизонте событий, а сингулярность представляет область, где сворачиваются пространство и время. Исследования, проведенные в настоящей работе, показывают, что свет и черная дыра являются спутниками нашей вселенной и на этом основании представляют ее окраину. В то же время граница нашего мира, как и выход за его пределы, могут быть определены на шкале энергетического порогового соотношения. Так скорость, с которой объект может покинуть нашу вселенную, примерно в 1,4 раза больше скорости света. Сам объект при этом теряет последний признак нашего мира — тяжелую массу. Энергия такого выхода есть одновременно энергия полного покоя материального тела. Сингулярность есть один из геометрических образов такого выхода. Причем соответствующий особенный радиус коллапсирующего тела есть половина гравитационного радиуса. Законы нашего мира бессильны для такого объекта: пространство и время прекращают свое существование. Ряд болезней, по моему мнению, носит также пограничный характер. К их числу я отношу психические заболевания, рак, СПИД. Эти болезни своими корнями указывают на границу материального и духовного миров. Собственно, само традиционное знание, включающее в себя элементы веры (гипотезы, постулаты) и опыт, так же как и сама вера, на этой границе прекращают свое существование. Можно вспомнить слова Апостола Павла: “Ибо мы отчасти знаем и отчасти пророчествуем; Когда же настанет совершенное, тогда то, что отчасти, прекратится.” (IКор.13:9,10).
Это предопределенное слияние веры и знания указывает на приближение Источника вечной жизни. Чтобы пить из Него, каждый из нас нуждается в духовном очищении, не слепой вере, творческом аналитическом знании.
Мы у порога нового мира4.
















