108833 (689170), страница 3
Текст из файла (страница 3)
Удовлетворение неравенства определяет случай слабого взаимодействия излучателей в решетке: gэ » g0 , gэ — относительная мощность, излучаемая в направлении q , j элементом в составе решетки. В то же время нарушение этого неравенства в рассмотренных случаях приводило к появлению качественно нового типа электромагнитного поля и, как следствие, к появлению нулевых провалов в диаграмме направленности gэ (q , j ).Следует заметить также, что соотношение g0/gи выполняет роль коэффициента подобия для ФАР аналогично числам Re , Фr.
Благодарен М. М. Ганцевичу за полезное обсуждение по теме раздела и постоянные призывы к простоте изложения.
2.5. Скачки в поле упругих сил: машина Зимана.
Система [6] представляет собой плоский диск 3 с двумя пружинками (или резинками) и размещается на плоскости YOX (рис. 3). Диск может поворачиваться вокруг своей оси с центром в точке О1; концы пружинок 1, 2 размещены подвижным образом на периферии диска в точке а; второй конец пружинки 1 закреплен также подвижно на плоскости в точке F. Возмущение в систему вносит перемещение свободного конца пружинки 2 с координатами x, y.
Рис. 3
Машина Зимана была предложена ее автором в качестве модели в связи с исследованиями в области теоретической биологии, например, с анализом развития костных или мышечных тканей из одной и той же клеточной культуры. Известна ромбовидная область, определенная своими границами Bj , j =
, где перемещение свободного конца c пружины 2 приводит к плавному изменению геометрии машины. Соответствующее пересечение границ области концом c вызывает скачок в состоянии системы. В частности, пересечение нижнего вертикального клюва y2 приводит к началу плавного вращения диска. В то же время приход в точку верхнего вертикального клюва y3 делает диск неподвижным при дальнейшем движении c вдоль оси Y. При пересечении концом c боковой границы, например в случае B4 (90°
q
180° ), следует бросок диска из области q 180° .
Выделим в рамках закона сохранения и превращения энергии определенного вида бифуркационное множество Bj. Прежде определим особые точки на вертикальной оси yj , j =
. Собственную энергию возмущения машины мы определяем как упругую энергию пружины 2, исключая из рассмотрения связь диска с плоскостью через посредство пружины 1. Мы сохраняем при этом все остальные физические и геометрические условия, ограничения, совокупность которых образует машину Зимана, и определяет в ней физические процессы. Очевидно, что этому отвечает случай нахождения точки a в крайнем нижнем положении q = 0 и перемещения конца c вдоль оси Y: х = 0. Для энергии
мы можем записать в результате
где к2 — коэффициент упругости пружины 2; y = l2 — длина пружины при с = с(0, y); l02 — длина пружины 2 в спокойном состоянии. Первое основное состояние диска мы определяем как состояние его “жесткой” связи с плоскостью. Энергию этого состояния записываем в виде
где к1 — коэффициент упругости пружины 1; l* — длина пружины 1 при q = 0о ; l01 — длина пружины 1 в спокойном состоянии. Второе основное состояние определяем как состояние связи точки а с центром вращения диска о1. Энергию, характеризующую это состояние, мы определяем как абсолютную величину работы, затраченной на перемещение точки а из центра о1 как начала отсчета на периферию диска x = 0, y = 0 в поле упругой силы пружины 2:
где r — радиус диска. Третье основное состояние — состояние связи точки а с точкой x = 0, y = l** на плоскости. Соответствующую энергию Wo3 мы определяем как энергию собственно перехода точки а из положения x = 0, y = 0 в крайнее верхнее положение x = 0, y = l** в поле упругой силы пружины 1. Учитывая, что возникающие скачки вызывают смену связи диска с плоскостью, мы можем соответствующие энергетические пороговые соотношения записать в виде:
W*
;
откуда особые точки на вертикальной оси равны:
Для случая к1 = к2; l01 = l02; l* = 1,5l01; l** = 2,5l01, описанного в [9], имеем: y2 = 2l01, y3 = 3l01, что близко к значениям: y2 » 1,9l01, y3 » » 2, 96l01 , полученным в этой работе с помощью математической модели.
В то же время полученные нами решения, в отличие от представления [9], соответствуют общему случаю задания параметров к1,2; l*; l** . Преодоление y > y1 на вертикальной оси приводит к появлению чувствительности точки а к горизонтальным перемещениям конца с пружины 2. Преодоление точки x = 0, y = y2 приводит к началу вращения диска при малом отклонении конца с от вертикальной оси и его последующем движении вдоль этой оси: q = q (y) .
Окончательно границы Bj определяем, рассматривая движение конца с параллельно оси X: с = с (x — var, y — const). Собственную энергию возмущения определяем как энергию деформации x пружины 2, расположив эту пружину параллельно оси Х из точки а:
Энергия основного состояния в этом случае представляет собой упругую энергию, накопленную пружиной 1 при перемещении точки а из положения q = 0о в положение q :
ì (l1 – l*)2 , q £ 90о;
Wо1 = (к1/2) ´ í
î (l** – l1)2 , q ³ 90о.
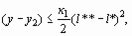
В результате мы можем записать соответствующее энергетическое пороговое соотношение, дополнив его для определения необходимых параметров еще тремя уравнениями:
; (13б)
; (13в)
Здесь уравнения (13б), (13в) получены из геометрии машины (рис. 4), уравнение (13г) представляет запись закона сохранения энергии, адекватную фазе вращающегося диска: y > y2 . Задавая численные значения одного из параметров: x, y, l1 , l2 , q , например х, можно остальные параметры определить, решив совместно предельный вариант выражения (13а)
W* = Wо1
и уравнения (13б) — (13г). На рис. 4 приведены рассчитанная по этим формулам граница Bj и ее экспериментальные значения для частного случая. Можно отметить хорошее совпадение теории и эксперимента. Нетрудно также убедиться, что отношения вида
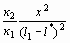
,
позволят однозначно задать состояния машины на соответствующих фазах ее эволюции, выполнив ту же роль, что и числа Фr , Re , g0/gи, Wy /Wо1 (12).
2.6. Математический маятник. Собственные частоты.
Математический маятник имеет длину l и массу m. Точка подвески совершает колебания вдоль вертикальной оси относительно среднего положения по закону х = Asinw t . Имеет место начальное возмущение маятника по горизонтальной оси. Известны [10] две особые частоты w 1,2, которые разграничивают качественно отличающиеся между собой режимы колебаний маятника. В этом случае лишь продемонстрируем, что частоты w 1,2 и связанные с ними события представляют, как и предыдущие случаи, следствие закона сохранения и превращения энергии определенного вида.
К основным состояниям маятника мы можем отнести его принадлежность к крайнему нижнему положению относительно точки подвески и к горизонтальной плоскости, к которой принадлежит это положение. Для первого состояния характерна энергия
Wо1 = mgl/2,
где g — ускорение свободного падения. Энергия Wо1 представляет собой работу, совершенную при выходе массы m из точки подвески как начала отсчета в поле центральной силы тяжести в крайнее нижнее положение. Для второго состояния характерна энергия выхода тела с эквипотенциального уровня, определяемого расстоянием l относительно точки подвески:
Wо2 = mgl.
Энергия возмущения маятника характеризует его колебания. Собственную энергию колебаний маятника с частотой w определяем, исключая взаимодействие материальной точки с массой m и подвески. В этом случае мы рассматриваем маятник, включающий в себя точку подвески, нить, материальную точку, как одно целое: A = l . Собственную энергию W* мы записываем как полную энергию осциллятора:
W* = mw 2A2/2.
В результате следуют два пороговых соотношения:
Первое соотношение определяет порог чувствительности материальной точки к колебаниям подвески. Режим накачки (резонанс) при w = w 1 переходит в режим вынужденных колебаний при w > w 1, где материальная точка и подвеска образуют одно целое. Второе энергетическое пороговое соотношение разграничивает фазу колебаний маятника относительно крайнего нижнего положения как устойчивого (аттрактора) и фазу колебаний с устойчивым положением, постепенно поднимающимся вплоть до вертикального. Соотношения, записанные в виде w 2A2/gl, выполняют роль коэффициентов подобия аналогично числам Рейнольдса, Фруда, а также другим числам, полученным в предыдущих разделах.
2.7. Космические скорости земли.
В этом случае продемонстрируем также, что рассматриваемые события есть следствие закона сохранения и превращения энергии определенного вида. Существуют два основных состояния запускаемого с Земли аппарата: для одного из них характерна жесткая связь массы m с Землей, имеющей радиус R. В то же время второе состояние определяет связь тела массой m с поверхностью Земли, т.е. принадлежность тела определенному эквипотенциальному уровню. Для этих состояний характерны энергии:
;
.
Энергия Wo1 равна абсолютной величине работы, затраченной на выход тела на поверхность земли из ее центра как начала отсчета в поле центральной силы тяжести. Вторая характерная энергия Wo2 соответствует выходу тела с поверхности Земли как некоторого эквипотенциального уровня. Собственная энергия возмущения тела представляет собой кинетическую энергию, где скорость u определена в отсутствие сопротивления воздуха:
















