84381 (675834), страница 4
Текст из файла (страница 4)
Затем предлагается построить второй прямоугольник, основание
которого 4, а высота 1 см, затушевать на этом чертеже прямоугольник с основанием 4 см и высотой
см. Применить правило для вычисления площади этого прямоугольника.
Рис.12 Рис.13
Учащиеся получают 4·
. Чтобы выяснить, что это значит, устанавливают по чертежу, что искомая площадь составляет
от площади всего прямоугольника и равна (4 : 4) · 3 = 3 (кв. см). Следовательно, 4·
значит найти
от 4.
Следует повторить эти рассуждения с прямоугольником, основание которого 2 дм и высота 1 дм, и установить, что значит 2·
; 2·
.
Вообще условились считать, что умножить число на дробь значит найти эту дробь множимого. Умножить число на правильную дробь значит найти часть числа, которая выражена этой дробью.
Можно показать целесообразность определения умножения на дробь на решении следующих арифметических задач.
Автомобиль едет со скоростью 45 км в час. 1) Какое расстояние он пройдет в 3 часа? в 7 часов? в
часа? в
часа?.
Записывается решение задач.
Ведутся такие рассуждения.
Условие всех задач одинаково. Дана скорость автомобиля в час и требуется узнать, какое расстояние автомобиль пройдет за некоторое число часов. Для нахождения расстояния в 1-й и 2-й задаче скорость умножали на время. Чтобы одинаковые по смыслу задачи решались одинаковыми действиями, условились и в 3-й и в 4-й задаче называть нахождение
от 45 и
от 45 умножением 45 на
и 45 на
, тогда решение 3-й задачи запишется:
Решение 4-й задачи:
Умножить 45 на
значит найти
от 45, умножить 45 на
, значит найти
от 45. После этого устанавливается то же определение умножения на дробь. Правило умножения целого числа на дробь выводится после Решения ряда примеров на основании определения. Для вывода правила следует взять такие упражнения, в которых знаменатель дроби и целое не имеют общего множителя. Например.
При умножении целого числа на смешанное число следует рассмотреть два способа умножения, первый — множитель обращается в неправильную дробь, и умножение производится на основании установленного определения; второй — применяется распределительный закон умножения Предварительно устанавливаем справедливость распределительного закона и в том случае, когда одно из слагаемых суммы во множителе — дробь. Следует обратить внимание учащихся на то, что второй способ короче для тех случаев, когда ответ требуется получить в виде смешанного числа Умножение дроби на дробь прорабатывается на основании определения умножения на дробь
Ведутся такие рассуждения. Умножить
на дробь
значит найти
от
. Для этого сначала находим
от
и делим
на 3, получим
. Потом, чтобы найти
от
, умножаем
на 2.
Это записывается так:
Короче можно написать:
Числитель полученной дроби получился от перемножения числителей данных дробей, а знаменатель — от перемножения их знаменателей После рассмотрения ряда примеров выводится правило: чтобы умножить дробь на дробь, достаточно числитель первой дроби умножить на числитель второй и знаменатель на знаменатель и первое произведение сделать числителем, а второе знаменателем произведения.
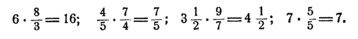
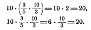
Необходимо показать учащимся на частных примерах справедливость основных законов умножения для дробных чисел. Приведем несколько упражнений, убеждающих в справедливости сочетательного закона для дробных чисел.
Вычислить устно:
Разбираются два способа вычисления:
Результат получился одинаковый, следовательно,
При рассмотрении умножения смешанных чисел обычный прием путем обращения смешанных чисел в неправильные дроби не вызывает затруднения. Следует обратить внимание на другой способ умножения смешанных чисел — умножение по частям, отдельно на целое число и на дробь. Этот способ удобен в некоторых случаях при устном счете.
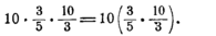
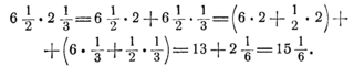
Например, при умножении 6
·2
выгоднее считать так:
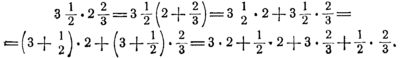
Необходимо обратить на этот способ внимание еще и потому, что учащиеся часто при устном счете неправильно им пользуются, умножая целое на целое число и дробь на дробь, и сумму полученных произведений считая за искомое произведение. Неправильность таких вычислений следует показать на решении конкретной задачи, лучше всего с геометрическим содержанием. Рассмотреть следующую задачу.
Построить прямоугольник, основание и высота которого 2
ед. и 3
ед., и найти его площадь двумя способами:
1) вычисляя сразу всю площадь, 2) вычисляя по частям.
Учащиеся получают наглядное представление о втором способе умножения.
Полезно показать, что при вычислении вторым способом применяется распределительный закон умножения.
Следует подчеркнуть учащимся, что совпадение произведений, полученных 1-м и 2-м способами, показывает на справедливость распределительного закона и в том случае, когда оба сомножителя — смешанные числа.
Изучая умножение дробей, следует обратить внимание учащихся еще на одну особенность умножения на дробь, отличающую его от умножения на целое число.
При умножении на правильную дробь полученное произведение меньше множимого (или от умножения на правильную дробь данное число уменьшается). Следует требовать обоснование этого вывода рассуждением и иллюстрировать примерами.
Рассмотрим систему примеров на умножение на неправильную дробь.
Вывод. При умножении на неправильную дробь, не равную единице, произведение получается больше множимого.
После этого следует предложить учащимся сделать общий вывод относительно того, в каком случае произведение получается больше множимого, в каком случае меньше множимого, в каком случае оно равно множимому. Следует задавать учащимся следующие контрольные вопросы. Например: на какое число нужно умножить число 5, чтобы произведение получилось больше 5? равно 5? меньше 5? Приведите примеры.
Деление на дробь
Делению на дробь предпосылается и в программе и в стабильном учебнике нахождение числа по данной величине его дроби. Рассуждения ведутся по такой схеме.
Пример. Найти число
которого равны 20.
Обозначим неизвестное число буквой х, тогда условие задачи запишется:
Так как часть числа находится умножением, то вместо
от х можно написать х·
или, пользуясь переместительным законом,
· х. Следовательно, можно написать:
от х равны 20, или х·
= 20, или
·х = 20, так как в случае буквенного сомножителя принято знак умножения пропускать. Решение. 1)
= 20 : 5 = 4; 2) х = 4 · 6 = 24.
Как и при нахождении дроби числа, при нахождении числа по данной величине его дроби необходимо рассмотреть различные случаи.
Определение деления числа на дробь остается то же, что и при делении целых чисел. Эту мысль необходимо подчеркнуть учащимся. Для того чтобы соблюдалась одна и та же система изучения обратных действий, следует начать с повторения образования действия деления для целых чисел, затем перейти к рассмотрению примера на умножение на дробь и образовать две обратные задачи.
Составим обратную задачу, взяв за искомое число множитель. Эта задача решается делением целого числа на целое, которое рассмотрено раньше.
Составим вторую обратную задачу, взяв за искомое множимое.
Запишем:
Эта задача и для дробных чисел решается действием деления 12 :
= х.
Так как х·
= 12 или
·х = 12, то, чтобы найти х, мы находим число
которого равны 12, отсюда х = (12 : 4) · 9 = 27.
При помощи такого рода рассуждений, основой которых служит определение, учащиеся приходят к выводу, что при делении на дробь отыскивается число по данной величине его дроби. Рассмотрев примеры на умножение целого числа на дробь в случае дробного произведения и дроби на дробь и составив обратные задачи, учащиеся получают все случаи деления дробей. Проделав несколько упражнений, учащиеся выводят .правило деления целого на дробь, также дроби на дробь.
Неправильно строить изучение деления на дробь, взяв за определение, что разделить какое-нибудь число на дробь значит найти число по данной величине его дроби. Это противоречит научному построению изучения действий над числами, при котором вычитание я деление любых чисел определяются как действия, обратные сложению и умножению.
Полезно напомнить учащимся, что так как умножение обладает переместительным законом, то для отвлеченных чисел деление на дробь имеет одинаковый смысл независимо от того, какой из двух Сомножителей множимое или множитель является данным и какой искомым.
Но при решении конкретных задач деление на дробь в том случае, когда искомым является множитель (деление по содержанию), имеет другой смысл по сравнению с тем случаем, когда искомым является множимое. Например, рассмотрим задачу.
Из 6м проволоки нужно сделать прутики для счетов, длиною каждый по
м. Сколько выйдет таких прутиков?















