84381 (675834), страница 3
Текст из файла (страница 3)
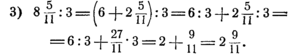
в дальнейшем промежуточные записи пропускаются).
В результате рассмотрения примеров учащиеся отмечают те случаи, в которых рациональнее применять второй способ деления. Подчеркивается удобство 2-го способа при устных вычислениях.
На этом кончается первая часть изучения действий над дробями, которая тесно примыкает к теме о целых числах, так как определения действий, рассмотренных в этой части, мало отличаются от определений соответствующих действий над целыми числами.
Умножение на дробь
Вторая часть начинается с изучения действия умножения на дробь и представляет новый этап в изучении действий над дробями. Смысл действия умножения на дробь резко отличается от умножения на целое число. Учащиеся привыкли до сих пор понимать под умножением сложение равных слагаемых, произведение считать больше множимого (смысл умножения на единицу им кажется мало отличающимся от обычного понимания умножения). Для умножения на дробь все эти представления не подходят. Поэтому определение умножения на дробь нелегко воспринимается учащимися. Необходимо показать учащимся целесообразность введения нового определения для умножения на дробь и конкретный смысл этого определения. В связи с этим методическая и учебная литература предлагает различные подходы к введению определения умножения на дробь или к выводу правила умножения на дробь, которое в большинстве случаев заменяет определение.
В учебной и методической литературе XVIII века и первой половины XIX века существовал следующий подход к выводу правила умножения на дробь.
Рассуждения велись так: чтобы умножить 5 на
, умножим 5 сначала на 3, получим произведение 15, которое больше истинного, так как множитель увеличен в 4 раза; чтобы получить истинное произведение, надо полученное произведение 15 уменьшить в 4 раза, будем иметь
Такой подход неправилен с точки зрения логического построения математики, так как свойства произведения целых чисел распространялись на произведение в случае дробного множителя, хотя еще не установлено, что значит „умножить число на дробь" и можно ли распространить эти свойства на новое произведение. Кроме того, этот подход страдает формализмом' из этих рассуждений не следует, к каким задачам возможно применение действия умножения на дробь.
Существует еще и такой подход:
(
по переместительному закону умножения) =
Отсюда выводится правило. Ошибка этого рассуждения в том, что распространяется переместительный закон на действие, которое еще не определено и не доказано, что оно обладает переместительным законом. Рассуждение было бы правильно, если бы оно построено было так: произведение целого числа на дробь должно быть составлено так, чтобы порядок сомножителей не имел значения, т. е. для действия умножения на дробь оставался бы справедливым переместительный закон. Была попытка дать общее определение действия умножения, пригодное и для целого и для дробного множителя. Это определение было дано в следующей формулировке:
умножить одно число на другое значит из множимого составить новое число так, как множитель составлен из единицы. Смысл рассуждений при этом был следующий.
При умножении на целое число имеем:
П
ри умножении 5 на
, так как множитель
т. е. единица разделена на 4 и полученное частное взято слагаемым 3 раза, должны получить:
Это определение было в ходу в ряде учебников дореволюционной школы. Основной недостаток этого определения формальный характер его образования. Из определения неясно, к каким конкретным задачам можно применить умножение на дробь. Нельзя подвести учащихся к составлению этого определения из рассмотрения конкретных задач. Вторым недостатком является математическая неточность. Из определения неясен способ составления множителя из единицы; число может быть составлено из единицы различными способами, как целое, так и дробное. Число
может быть составлено так:
Если при умножении 5 на
произведение из множимого составить так же, как
составлено из единицы, то получим
т.е. совсем другой ответ, чем раньше. Кроме того, общее определение умножения затушевывает необходимость нового определения при умножении на дробь.
Перед введением определения действия умножения на дробь рассматривается решение задачи на нахождение части числа. В программе и в стабильном учебнике эта задача носит название: „нахождения дроби числа". Замена слова „части” словом „дроби" вызвана, очевидно, расширением рассматриваемой задачи; в стабильном учебнике рассматриваются и такие задачи, например: „найти
числа
”, (т.е. требуется найти число долей от числа большее, чем во всем числе). Система упражнений должна быть составлена так, чтобы первые задачи и примеры помогли учащимся повторить сведения, полученные из начальной школы, т. е. числа должны быть подобраны так, чтобы само число и искомая доля числа были целым числом.
Первая группа упражнений.
Решение.
от 60 составляет 60 : 5 = 12.
Вторая группа упражнений: нахождение части от целого числа,
когда искомая доля дробь.
Решение.
В дальнейшем записи следует сокращать.
Третья группа упражнений: нахождение части от дроби.
или
Следует подчеркнуть на соответствующих конкретных задачах, что найти часть от дроби значит определить, какую часть от целого составляет часть от части этого целого.
Пример.
всей земли, принадлежащей колхозу, отведено под хлебные культуры;
земли, занятой хлебными культурами, засеяно рожью. Какая часть земли, принадлежащей колхозу, засеяна рожью?
Рассмотрим рисунок 10, где заштрихован участок земли, отведенный под хлебные культуры. Из участка, отведенного под хлебные культуры, выделена часть под рожь (рис.11).
Рис.10 Рис.11
Формулировку задачи „найти дробь числа” следует вводить не cразу, сначала пользоваться старой формулировкой „найти часть числа”, конкретный смысл которой учащимся вполне ясен. К новой формулировке можно приучить постепенно, напоминая, что дробью называется одна или несколько равных частей единицы. Введение термина „дробь числа” облегчит формулировку задач, например, „найти
от
“, а также определение умножения на неправильную дробь.
Проработке задачи нахождения дроби числа следует посвятить достаточное количество времени; это создаст прочную базу для изучения умножения на дробь. Часть трудных вопросов этой темы будет, таким образом выделена и подготовлена. А именно: что значит найти дробь числа? Как найти? Какие могут быть случаи? Как записать формулу решения в виде дроби? При этом можно рассмотреть и сокращение дроби, когда числитель и знаменатель представляют произведение.
Перейдем теперь к изложению той методики преподавания умножения на дробь, которая получила в настоящее время признание в педагогической практике и в учебно-методической литературе. Можно подвести учащихся к новому определению умножения путем решения геометрической задачи на вычисление площади прямоугольника.
Предварительно рассматривается вычисление площади прямоугольника, у которого длины сторон дробные числа, путем подсчета долей квадратной единицы, из которых может быть составлен прямоугольник, без знания умножения дробей.
Далее предлагаются задачи примерно такого содержания:
Вычислить площадь прямоугольника, у которого
1) основание 10 см, высота 6 см,
2) основание 7
см, высота 4 см.
Площадь первого прямоугольника учащиеся находят, пользуясь правилом для вычисления площади прямоугольника. Для второго прямоугольника преподаватель предлагает проверить справедливость правила. Учащиеся ив чертежа находят, что в одном ряду укладывается 7
кв. ед. и таких рядов получается 4. Следовательно, для вычисления площади, достаточно 7
умножить на 4.
Затем предлагается нарисовать прямоугольник, основание которого 4 см, а высота 1 см; затушевать на этом чертеже прямоугольник, у которого основание 4 см, а высота
см, и вычислить его площадь. Учащиеся находят площадь затушеванного прямоугольника путем подсчета долей квадратной единицы. После этого преподаватель указывает, что для того чтобы площадь прямоугольника вычислялась по одному правилу, условились и в этом случае решение записывать при помощи умножения длины основания на длину высоты, т.е.
.
Чтобы выяснить смысл умножения 4 на
, предлагается с помощью чертежа ответить на вопросы: какая площадь всего прямоугольника? какая часть прямоугольника затушевана? какая площадь затушеванной части? Учащиеся устанавливают, что искомая площадь составляет
всей площади прямоугольника, т. е.
от 4 кв.см и равна 4 : 4 = 1 (кв. см). Следовательно, 4·
значит найти
от 4.
После этого записывают 4·
= 4 : 4 = 1 (кв. см).















