ref-15865 (664208)
Текст из файла
Содержание.
1.Сети
1.1 Описание существующих топологий
шина
звезда
1.2 Сетевые стандарты Ethernet & IEEE 802.3
Thin Ethernet или 10Base-2
Twisted Pair 10Base-T
Репитеры
Fiber Optic 10Base-F
10Base-5 (Толстый Ethernet)
100Base-TX
1000Base-T
1.3 Необходимое оборудование
1.3.1 Thin Ethernet 10Base2
Кабель
Разъемы
Терминаторы
Т-конектор
Переходы прямые
1.3.2 Twisted Pair 10BaseT
Кабель
Разъемы (RJ-45)
Вилки
Розетки
Hub
Patch cord
1.4 Монтаж и прокладка сетей Ethernet
1.4.1 Thin Ethernet
1.4.2 Twisted Pair (UTP)
Варианты заделки проводов (разводка провода "витая пара")
1.5 Дополнительное оборудование
1.5.1 Mediaconvertors (Ethernet Translator)
2. Сетевые карты(NIC)
2.1 Как они выглядят
ISA
PCI
2.2 Настройка сетевых карт
2.2.1 адреса и прерывания
Как найти свободные
DOS
WinNT
Какой тип сетевой карты
p'n'p
software conf.
hardware conf.
2.3 Как сетевые карты устанавливать в компьютер
3. Программное обеспечение
3.1 Клиент и сервер
3.1.1Клиенты
MS-DOS
Win95(Windows98)
3.1.2 Сервера
Win95(Win98)
4. Как соединить локальной сетью два компьютера?
4.1 Очень Кратко
4.2 Разводка кабеля витая пара для соединения двух устройств напрямую
1. Сети
1.1 Описание существующих топологий
Топология - физическая или электрическая конфигурация кабельного хозяйства и соединений сети.
Топология - это скелет сети.
Существует несколько основных типов
|
|
Выбор используемой топологии зависит от ваших условий, задач и возможностей. Или же определяется стандартом используемой сети.
Свои компьютеры и другие устройства вы можете соединить любым наиболее подходящим для вас способом, но в этом случае вам придется использовать вполне определенный стандарт, поддерживающий эту топологию.
Если вам удобно, вы даже можете часть компьютеров соединить в сеть с одной топологией, а часть в сеть с другой топологией, затем соединить сети между собой, при помощи какого-либо еще способа.
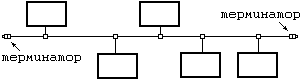
Общая шина
Все компьютеры подключаются к одному кабелю (шине данных). На концах кабеля устанавливаются терминаторы . Их наличие для сетей Ethernet обязательно. По такой топологии строятся 10 Мегабитные сети 10Base-2 и 10Base-5. В качестве кабеля используется коаксиальный кабель. Повреждение общего кабеля или любого из двух терминаторов приводит к выходу из строя участка сети между этими терминаторами (сегмента сети). Отключение любого из подключенных устройств на работу сети никакого влияния не оказывает.
Для сети 10Base-2 это будет выглядеть
или так
что абсолютно одинаково с точки зрения топологии, но может оказаться удобнее при прокладке.
В 100Мбитных сетях такая топология не применяется, а используется "Звезда".
Каждый компьютер (и т.п.) подключен отдельным проводом к отдельному порту устройства, называемого концентратором или повторителем (репитер) или хабом (Hub) .
Концентраторы могут быть как активные, так и (теоретически) пассивные. Если между устройством и концентратором происходит разрыв соединения, то вся остальная сеть продолжает работать. Правда, если этим устройством был единственный сервер, то работа будет несколько затруднена. При выходе из строя концентратора сеть перестанет работать.
Данная сетевая топология наиболее удобна при поиске повреждений сетевых элементов: кабеля, сетевых адаптеров или разъемов. При добавлении новых устройств "звезда" также удобней по сравнению с топологией общая шина . Также можно принять во внимание, что 100 и 1000 Мбитные сети строятся по топологии "Звезда".
1.2 Сетевые стандарты Ethernet & IEEE 802.3
Стандарт Ethernet был разработан в 70-х годах в исследовательском центре PARC корпорации XEROX.
В некоторых работах отмечается, что "Ethernet" - марка, зарегистрированная XEROX.
Затем он был доработан совместно DEC, Intel и XEROX (отсюда идет сокращение DIX) и впервые опубликован как " Blue Book Standart" для Ethernet1 в 1980 г.. Этот стандарт получил дальнейшее развитие и в 1985 г. вышел новый - Ethernet2 (извесный также как DIX).
IEEE 802.3 был одобрен в 1985 году для стандартизации комитетом по LAN IEEE (Institute of Electrical and Electronics Engineers ) и вышел под заголовком: "IEEE 802.3 Carrier Sense Multiple Access with Collision Detection (CSMA/CD) Access Method and Physical Layer Specifications."
Этот стандарт устанавливает общие правила по передаче данных в локальных сетях .
Ethernet и IEEE802.3 описывают схожие технологии. Обе являются CSMA/CD локальными сетями. Обе технологии являются широковещательными технологиями. Другими словами, все станции видят все фреймы (frame), даже если они предназначены не для этой станции. Каждая станция должна проверять полученный фрейм для определения, является ли она, эта станция, пунктом назначения. Если это так, то фрейм передается протоколу более высокого уровня для соответсвующей обработки.
Различие между Ethenet и IEEE 802.3 незначительное.
Обе и Ethernet и IEEE 802.3 встроены в железо (hardware).
IEEE 802.3 определяет несколько различных физических уровней, в то время как Ethernet - один.
Каждый физический уровень IEEE 802.3 имеет название , которое отражает его характеристики.
Например: 10Base5
10 - скорость локальной сети в Мегабитах в секунду
Base = baseband или Broad = broadband
5 - длина сегмента в сотнях метров ( в данном случае 500)
Физические характеристики двух стандартов
| Характеристика | Ethernet | IEEE 802.3 | ||||
| 10Base5 | 10Base2 | 1Base5 | 10BaseT | 10Broad36 | ||
| Скорость передачи | 10 | 10 | 10 | 1 | 10 | 10 |
| Метод прередачи | Baseband | Baseband | Baseband | Baseband | Baseband | Broadband |
| Максимальная длина сегмента в метрах | 500 | 500 | 185 | 250 | 100 | 3600 |
| Сетевая среда (кабель) | 50-Ом коаксиаль- ный (толстый) | 50-Ом коаксиаль- ный (толстый) | 50-Ом коаксиаль- ный (тонкий) | Неэкранирован- ная витая пара | Неэкранирован- ная витая пара (UTP) | 75-Ом коаксиаль- ный |
| Топология | Шина | Шина | Шина | Звезда | Звезда | Шина |
Unshielded twisted-pairwaire (UTP) - неэкранированная витая пара
Ethernet наиболее близок 10Base5.
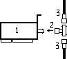
10Base2 или Тонкий Ethernet
| Основная используемая топология | общая шина |
| Используемый провод | коаксиальный кабель 50 Ом, тонкий |
| Максимальная длина сегмента | 185 метров |
| Минимальное расстояние между точками подключения | 0,5 метра |
| Максимальное количество точек подключения к сегменту | 30 |
| Максимальное количество сегментов в сети | 5 |
|
| |
|
| 1 - сетевая карта, установленная в компьютере |
|
|
10 Base-T или Ethernet на витой паре
| Основная используемая топология | звезда |
| В центре звезды расположено устройство | HUB |
| Используется провод типа | витая пара (категории 3 или лучше) |
| Тип соединителя | RJ-45 |
| Максимальное расстояние между устройствами | 100метров (возможно использование другого ограничения: максимальное затухание сигнала на пути от источника до приемника не более 11,5 дб) |
Для соединения устройств стандарт 10 Base-T предусматривает использование провода имеющего две пары: одну для передачи, другую - для приема.
Используются две возможные разводки кабеля в порту. MDI для DTE (Data Terminal Equipment) устройств (компьтеры, принтеры и т.д.) и MDI-X для хабов.
| MDI порт DTE устройства
| MDI-X порт
|
При подключении MDI порта к MDI-X порту используется прямая разводка кабеля. А при соединении одинаковых портов MDI и MDI или MDI-X и MDI-X используется "перевернутая" (crossover) разводка кабеля. При этом "передача" соответственно соединяется с "приемом".
| Для расширения сети хабы могут каскадно соединяться друг с другом, образуя древовидную топологию с единственным хабом в вершине. Максимальное количество пользователей - 1024. |
|
Репитеры
Характеристики
Тип файла документ
Документы такого типа открываются такими программами, как Microsoft Office Word на компьютерах Windows, Apple Pages на компьютерах Mac, Open Office - бесплатная альтернатива на различных платформах, в том числе Linux. Наиболее простым и современным решением будут Google документы, так как открываются онлайн без скачивания прямо в браузере на любой платформе. Существуют российские качественные аналоги, например от Яндекса.
Будьте внимательны на мобильных устройствах, так как там используются упрощённый функционал даже в официальном приложении от Microsoft, поэтому для просмотра скачивайте PDF-версию. А если нужно редактировать файл, то используйте оригинальный файл.
Файлы такого типа обычно разбиты на страницы, а текст может быть форматированным (жирный, курсив, выбор шрифта, таблицы и т.п.), а также в него можно добавлять изображения. Формат идеально подходит для рефератов, докладов и РПЗ курсовых проектов, которые необходимо распечатать. Кстати перед печатью также сохраняйте файл в PDF, так как принтер может начудить со шрифтами.















