PLITA (642003)
Текст из файла
Расчёт ребристой плиты покрытия
Нормативные и расчётные нагрузки на 1м² перекрытия
Вид нагрузки | Нормативная нагрузка кн./м² | Коэфф. надёжности по нагрузке | Расчётная нагрузка кн./м² |
| Постоянная от веса: - рулонного покрытия(6мм) - ц/п стяжки(20мм; =2000) - от утеплителя(базальтоволокнистые плиты 120мм; =250) - от пароизоляции(2 слоя пергамина на мастике 10мм) - от ребристых панелей(25мм) | 100 400 300 100 1350 | 1.2 1.3 1.2 1.2 1.1 | 120 520 360 120 1485 |
| Всего от постоянной нагрузки: | 2250 | - | 2605 |
| Временная от снега: - длительная - кратковременная | 2000 1540 660 | 1.4 1.4 1.4 | 2800 2156 924 |
| Полная: - постоянная и длительная - кратковременная | 4250 3790 660 | - - - | 5405 4761 924 |
Расчёт плиты по прочности.
Расчёт полки:
Плиту рассматриваем как многопролётную неразрезную балку.
Изгибающий момент в сечении:
а общая нагрузка на плиту:
+
=(120+520+360+120+687)+2800=4.61(кн/м²)
Определяем коэффициент
при
=1(м):
Принимаем сварную сетку С-2 с продольной арматурой Ø3 класса Вр-I, шаг 100(мм), As=0.71(см²) и поперечной Ø3 класса Вр-I, шаг 200(мм), As=0.35(см²).
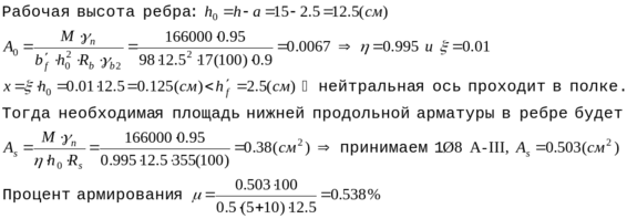
Расчёт поперечных рёбер по прочности:
Поперечные рёбра запроектированы с шагом
.
Поперечное ребро рассчитываем как балку таврового сечения с защемлённой опорой. Постоянная расчётная нагрузка
с учетом собственного веса ребра:
Принимаем полезную высоту сечения ребра
. Расчётное сечение ребра в пролёте является тавровым с полкой в сжатой зоне:
Находим коэффициент
по пролётному моменту:
Находим коэффициент
по опорному моменту:
Учитывая на опоре работу поперечных стержней сетки плиты, у которой на 1(м) имеется 5Ø3
, на продольный стержень плоского каркаса требуется
. Из конструктивных соображений принимаем верхний стержень таким же, как нижний, т.е.
Проверим необходимость постановки хомутов:
Следовательно требуется расчёт поперечной арматуры. Зададимся шагом хомутов и диаметром стержней:
; Ø5 Вр-I.
Условие прочности
обеспечивается.
Расчёт продольных рёбер по прочности
1. Предельные состояния первой группы
Плиту рассматриваем как свободно лежащую на двух опорах балку П-образного поперечного сечения, которое приводится к тавровому сечению с полкой в сжатой зоне. Находим расчётный пролёт плиты, принимая ширину опоры 10см:
Максимальный изгибающий момент:
где
- номинальная ширина панели(расстояние в осях) 3(м),
(сбор нагрузок). Ширина свеса полки в каждую сторону от ребра не должна превышать половины расстояния в свету между соседними рёбрами и 1/6 пролёта рассчитываемого элемента. При
расчётная ширина полки в сжатой зоне:
.
Для установления расчётного случая таврового сечения проверим условие, считая
Условие соблюдается, следовательно, нейтральная ось проходит в пределах сжатой полки т.е.
. Определим положение границы сжатой зоны:
Предварительные напряжения
следует назначать с учётом допустимых отклонений
значения предварительного напряжения таким образом, чтобы выполнялось условие:
, где
(т.к. механический способ натяжения арматуры).
Т.к.
то
должно быть умножено на коэффициент
Вычисляем площадь сечения растянутой арматуры:
Расчёт по наклонному сечению
Расчёт на действие поперечной силы:
Проверим необходимость постановки хомутов:
Определим длину проекции наиболее опасного наклонного сечения:
Условие выполняется.
Расчёт на действие изгибающего момента:
Т.к. у продольной арматуры отсутствует анкеровка, то
принимают сниженным.
Условие выполняется. Прочность по наклонной трещине обеспечена.
2. Предельные состояния второй группы
Определение геометрических характеристик приведённого сечения.
Статический момент площади приведённого сечения относительно нижней грани:
Расстояние от нижней грани до центра тяжести приведённого сечения:
Момент инерции приведённого сечения:
Момент сопротивления приведённого сечения относительно нижней грани:
где
- для тавровых сечений с полкой в сжатой зоне.
Расстояния от верхней и нижней ядровой точек до центра тяжести приведённого сечения, где
Определим потери предварительного напряжения арматуры.
Первые потери:
-
от деформации анкеров, расположенных у натяжных устройств
- длина натягиваемого стержня.
Потери от быстронатекающей ползучести бетона, подвергнутого тепловой обработке, при
Вторые потери:
тепловой обработке при атмосферном давлении
Общие потери предварительного напряжения арматуры:
Равнодействующая сил обжатия с учётом всех потерь и точности натяжения
, где
.
Расчёт по деформациям (определение прогибов).
Вычисляем момент, воспринимаемый сечением нормальным к продольной оси элемента, при образовании трещин:
Следовательно трещины в растянутой зоне образуются. Необходим расчёт по раскрытию трещин.
Расчёт по раскрытию трещин, нормальных к продольной оси элемента.
Предельная ширина раскрытия трещин:
Изгибающий момент от нормативных нагрузок: постоянной и длительной
; суммарной
. Приращения напряжений в растянутой арматуре от действия постоянной и длительной нагрузок:
, где
т.к. усилие обжатия Р приложено в центре тяжести площади нижней напрягаемой арматуры;
;
.
Приращения напряжений в растянутой арматуре от действия полной нагрузки:
Ширину раскрытия трещин от непродолжительного действия всей нагрузки:
Ширину раскрытия трещин от непродолжительного действия постоянной и длительной нагрузки:
Ширину раскрытия трещин от действия постоянной и длительной нагрузок:
Непродолжительная ширина раскрытия трещин:
Продолжительная ширина раскрытия трещин:
Расчёт прогиба плиты:
Прогиб определяем от нормативного значения постоянной и длительных нагрузок; предельный прогиб составляет
= 587/200 = 2.94(см). Вычисляем параметры, необходимые для определения прогиба плиты с учётом трещин в растянутой зоне. Заменяющий момент равен изгибающему моменту от постоянной и длительной нагрузок
; суммарная продольная сила равна усилию предварительного обжатия с учётом всех потерь и при
;
; эксцентриситет
; коэффициент
- при длительном действии нагрузки.
Вычислим кривизну оси при изгибе:
Вычислим прогиб плиты:
3. Расчёт плиты в стадии изготовления.
Проверка прочности:
Нагрузка от собственного веса плиты шириной 3(м):
.
,
принято конструктивно.
Проверка трещиностойкости:
Следовательно трещины образуются.
Характеристики
Тип файла документ
Документы такого типа открываются такими программами, как Microsoft Office Word на компьютерах Windows, Apple Pages на компьютерах Mac, Open Office - бесплатная альтернатива на различных платформах, в том числе Linux. Наиболее простым и современным решением будут Google документы, так как открываются онлайн без скачивания прямо в браузере на любой платформе. Существуют российские качественные аналоги, например от Яндекса.
Будьте внимательны на мобильных устройствах, так как там используются упрощённый функционал даже в официальном приложении от Microsoft, поэтому для просмотра скачивайте PDF-версию. А если нужно редактировать файл, то используйте оригинальный файл.
Файлы такого типа обычно разбиты на страницы, а текст может быть форматированным (жирный, курсив, выбор шрифта, таблицы и т.п.), а также в него можно добавлять изображения. Формат идеально подходит для рефератов, докладов и РПЗ курсовых проектов, которые необходимо распечатать. Кстати перед печатью также сохраняйте файл в PDF, так как принтер может начудить со шрифтами.
















