178612 (627873), страница 9
Текст из файла (страница 9)
Нулевое среднее относительно приближено к нулю, значит, выбранная линия не содержит систематической ошибки, модель адекватна.
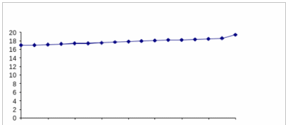
2.5 Построим прогноз на графике
Рисунок 2.4 прогноз возрастного состава населения к общей численности
Условные обозначения:
х - год;
у -уровни теоретического ряда.
На рисунке 2.4 графически изображен прогноз возрастного состава населения к общей численности на 2006 год, интервальный прогноз.
Раздел 3. Индексы
Таблица 3.1
Курсы валют с 04.04.2003 г. по 10.04.2003 г.
| Валюта | Отношение | Дата | Курс |
| NOK | руб. | 23.07.2003 | 4,09759 |
| NOK | руб. | 22.07.2003 | 4,09741 |
| NOK | руб. | 19.07.2003 | 4,08407 |
| NOK | руб. | 18.07.2003 | 4,09532 |
| NOK | руб. | 16.07.2003 | 4,13192 |
Вычислим неизвестные уровни цен по формулам:
где
- средний индекс цен;
- цена в i-м месяце;
- цена в (i-1) - м месяце.
Рассчитаем средний индекс цен применительно к условиям нашей задачи.
=
=1,00326
Подставив значения в формулу, подсчитаем курс валюты на 06.04.2003 г.:
Р= 4,08407*1,00326=4,09738, Р=4,09738*1,00326=4,11074
Остальные уровни цен рассчитываются аналогично. Результаты расчетов поместим в таблице 1.2 (она представляет собой дополненную таблицу 3.1)
Таблица 3.2 Курсы валют с 16.07.2003 г. по 23.07.2003 г.
| Валюта | Отношение | Дата | Курс |
| NOK | руб. | 23.07.2003 | 4,09759 |
| NOK | руб. | 22.07.2003 | 4,09741 |
| NOK | руб. | 21.07.2003 | 4,11074 |
| NOK | руб. | 20.07.2003 | 4,09738 |
| NOK | руб. | 19.07.2003 | 4,08407 |
| NOK | руб. | 18.07.2003 | 4,09532 |
| NOK | руб | 17.07.2003 | 4.08463 |
| NOK | руб. | 16.07.2003 | 4,13192 |
3.1 Рассчитать индивидуальные индексы потребительских цен
а) средние;
б) базисные.
Если известны данные за несколько периодов (больше двух), по ним может быть построен ряд (система) индексов: либо с постоянной для всех базой сравнения, либо с переменной. Ряд индексов, каждый из которых рассчитан по отношению к предыдущему периоду, называют цепными, а ряд индексов с постоянной базой сравнения - базисными.
Индивидуальные индексы цен рассчитываются по следующим формулам:
где
- цепной индекс цен;
- цена в i-м периоде;
- цена в предыдущем (i-1) - м периоде;
- базисный индекс цен;
- цена в базисном периоде.
Рассчитаем индивидуальные индексы для курса валюты на 06.04.2003 г. и на 07.04.2003 г.
Представим расчеты в таблице 3.3
Таблица 3.3 Индивидуальные индексы курсов валют
| Дата | Курс | Цепной индекс | Базисный индекс |
| 23.07.2003 | 4,09759 | 1,000044 | 0,991692 |
| 22.07.2003 | 4,09741 | 0,996757 | 0,991648 |
| 21.07.2003 | 4,11074 | 1,003261 | 0,994874 |
| 20.07.2003 | 4,09738 | 1,003259 | 0,991641 |
| 19.07.2003 | 4,08407 | 0,997253 | 0,997253 |
| 18.07.2003 | 4,09532 | 0,991142 | 0,991142 |
| 16.07.2003 | 4,13192 |
3.2 Построить графики по цепным и базисным индексам
Построим графики по цепным и базисным индексам.
Рисунок 3.1 Индексы: цепной и базисный
Условные обозначения:
у - значения индексов (цепного, базисного)
х- день курса валют;
1 - кривая цепного индекса;
2 - кривая базисного индекса.
Проанализировав полученные данные, можно сделать вывод о том, что курс валюты NOK по отношению к рублю постоянно изменялся. Самое большое изменение произошло 19.07, когда курс валюты по сравнению с предыдущим днем уменьшился и составил 4,08407руб. за одну единицу NOK Самое же большое изменение, когда курс валюты увеличился по сравнению с предыдущим днем, произошло 16.07. и составило 4,13192.
Заключение
Итак, в первом разделе мы произвели первичную и вторичную группировки. На основе этих группировок производились расчеты. Были рассчитаны относительные величины структуры и координации, средние: арифметическая, простая и взвешенная, причем последняя была рассчитана двумя способами, найдены также мода и медиана. Из показателей вариации были рассчитаны размах вариации, среднее линейное отклонение, среднее квадратическое отклонение, а также коэффициенты вариации по сгруппированному и несгруппированному признакам.
Были рассчитаны общая, межгрупповая, средняя из внутригрупповых дисперсии и проверено правило сложения дисперсий, которое оказалось верно. Были построены кривые распределения эмпирическая и по теоретическим частотам теоретическая. По первому признаку, средняя зарплата, наблюдалась правосторонняя асимметрия и отрицательный эксцесс. По второму признаку, стаж по специальности, наблюдалась полная симметрия и отрицательный эксцесс.
Анализируя критерии Пирсона, Романовского и Колмогорова, сделан вывод, что и в первом и во втором случаях распределение соответствует нормальному.
Была произведена аналитическая группировка по двум признакам по результатам вторичных группировок.
Был проведен корреляционно-регриссионный анализ, построено поле корреляции, рассчитаны коэффициенты регрессии и элластичности. Рассчитав эмпирическое, теоретическое корреляционное отношение, коэффициент корреляции рангов Спирмана, Кенделла, коэффициент Фехнера, установили, что между изучаемыми признаками, средней зарплатой и стажем по специальности, существует тесная прямая связь, то есть при изменении стажа изменяется и уровень средней зарплаты.
Во втором разделе, ряды динамики, были рассчитаны следующие показатели: абсолютные приросты (цепные и базисные), коэффициенты роста и прироста (цепные и базисные), темпы роста и прироста (цепные и базисные), абсолютное значение одного процента прироста. Они были оформлены в виде таблицы. Были рассчитаны средние: средние уровни, средние абсолютные приросты, приросты, средние темпы роста и прироста. Были построены графики уровней ряда, темпов роста и прироста. Произведено аналитическое выравнивание показателей ряда динамики и по нему построен прогноз. Выяснили, что модель адекватна. Прогноз был изображен на графике.
В третьем разделе, индексы, рассчитав неизвестные уровни цен, были найдены индивидуальные индексы (цепные и базисные) курса валюты NOK. Были построены графики по уровням курса валюты, цепным и базисным индексам.
Список используемой литературы
-
Методические указания к выполнению курсовой работы по дисциплине "Статистика" для студентов, КГУ, 2005.
-
Громыко Г.Л. "Теория статистики". М., 2002.
-
Елисеева И.И., Юзбашев М.Н. "Общая теория статистики". М., 1997.
-
Ефимова М.Р., Петрова Е.В., Румянцев В.Н., "Общая теория статистики", М., 1998.
-
Ряузов Н.Н. "Общая теория статистики". М., 1984.















