166085 (624935)
Текст из файла
Курсовая работа
по химии
на тему:
Химия поверхностно-активных веществ
2009
Адсорбция поверхностно-активных веществ на межфазных границах
Поверхностно-активные вещества характеризуются ярко выраженной способностью адсорбироваться на поверхностях и на межфазных границах. Термин «межфазная граница» принято относить к границе между двумя несмешивающимися фазами, термин «поверхность» указывает на то, что одной из фаз является газ, как правило, — воздух. Таким образом, существует пять различных межфазных границ:
твердое тело - пар
твердое тело - жидкость
твердое тело - твердое тело
жидкость - жидкость
Движущей силой адсорбции ПАВ на поверхностях и на межфазных границах является снижение свободной энергии границы раздела фаз. Межфазная свободная энергия, отнесенная к единице площади, равна работе, которую необходимо совершить для увеличения поверхности. Вместо термина «межфазная свободная энергия на единицу площади» часто используют термин «межфазное натяжение». Так, поверхностное натяжение воды эквивалентно удельной свободной энергии границы между водой и воздухом. Если поверхность покрыта молекулами ПАВ, поверхностное натяжение уменьшается. Чем плотнее упаковка молекул ПАВ на поверхности, тем больше снижение поверхностного натяжения.
Поверхностно-активные вещества могут адсорбироваться на любой из пяти границ раздела фаз, перечисленных выше. Примеры различных межфазных границ и системы, в которых такие границы играют важную роль, приведены в табл. 1.
| Межфазная граница | Тип дисперсной системы | Примеры |
| Твердое тело - жидкость | Суспензия | Водо-основные краски |
| Жидкость - жидкость | Эмульсия | Молоко, кремы |
| Жидкость - пар | Пена | Крем для бритья |
Во многих композиционных продуктах присутствуют одновременно несколько типов межфазных границ. Примерами могут служить водоосновные краски и красители для бумаги. С точки зрения коллоидной химии они представляют собой чрезвычайно сложные системы, в которых есть как межфазные границы твердое тело-жидкость, так и жидкость-жидкость. Кроме того, на стадии применения этих систем часто наблюдается пенообразование с возникновением границы раздела жидкость-газ. Все межфазные границы при этом стабилизированы ПАВ и общая межфазная поверхность огромна. Межфазными границами масло-вода и твердое тело- вода, существующими в одном литре краски, можно покрыть поверхность нескольких футбольных полей.
Стремление ПАВ аккумулироваться на межфазных границах является их фундаментальным свойством. В принципе, чем сильнее эта способность, тем выше эффективность ПАВ. Степень концентрирования ПАВ на поверхности зависит от строения их молекул и от природы контактирующих фаз. Поэтому не существует универсального эффективного ПАВ, пригодного для любых систем. Выбор подходящего ПАВ определяется функциями, которые оно должно выполнять в данной системе. Эффективное ПАВ должно иметь низкую растворимость в жидких фазах. Некоторые ПАВ нерастворимы в воде и в неполярных жидкостях и локализуются только на межфазных границах. С такими веществами трудно работать, но они очень эффективно снижают межфазное натяжение.
Поверхностно-активное вещество способно снижать поверхностное или межфазное натяжение до определенного предела. Обычно этот предел достигается, когда в растворе начинается мицеллообразование. Из данных, приведенных в табл. 2, видно, насколько эффективно ПАВ снижают поверхностное и межфазное натяжение. Указанные значения поверхностного и межфазного натяжения типичны для обычных мягких жидких моющих средств. Специально подбирая ПАВ, можно достичь сверхнизкого межфазного натяжения, т.е. значений порядка 10-3 мН/м или ниже. В качестве примера систем со сверхнизким межфазным натяжением можно привести трехфазную систему, состоящую из микроэмульсии в равновесии с избытком водной и масляной фаз. Микроэмульсии представляют интерес для повышения нефтеотдачи.
Таблица 2. Типичные значения поверхностного и межфазного натяжения
| Вода - воздух 10%-й водный раствор NaOH - воздух Водный раствор ПАВ - воздух Вода - алифатический углеводород Вода - ароматический углеводород Водный раствор ПАВ - углеводород | 72-73 78 40-50 28-30 20-30 1-10 |
Агрегирование ПАВ в растворе
Как отмечалось выше, фундаментальное свойство ПАВ — это способность адсорбироваться на межфазных границах. Другое важное свойство поверхностно-активных веществ заключается в том, что их молекулы склонны к образованию агрегатов — так называемых мицелл. Свободные или неассоциированные молекулы ПАВ в литературе часто называют мономерами, хотя этот термин неудачен, поскольку он преимущественно используется для обозначения блоков, образующих полимерные молекулы. Мицеллообразование, можно рассматривать как механизм, альтернативный адсорбции на межфазных границах, приводящий к устранению контакта гидрофобных групп с водой, в результате чего свободная энергия системы понижается. Это чрезвычайно важное явление, поскольку свойства ПАВ определяются тем, в какой форме — мицеллярной или молекулярной — они присутствуют в системе. Только моле-кулярно растворенные ПАВ понижают поверхностное и межфазное натяжение; кроме того, динамические явления регулируются концентрацией истинно растворенного ПАВ.
Мицеллы можно рассматривать как резервуары молекулярного ПАВ. В зависимости от размера и структуры молекулы ПАВ скорость обмена молекул ПАВ между мицеллой и раствором может варьироваться по величине в пределах нескольких порядков.
В воде мицеллы возникают уже при очень небольших концентрациях. Концентрация, при которой начинают возникать мицеллы, называется критической концентрацией мицеллообразования; это одна из важнейших характеристик ПАВ. Так, ККМ = 1 мМ означает, что концентрация молекулярно растворенного ПАВ никогда не превысит эту величину независимо от количества ПАВ, введенного в раствор.
Амфифильные свойства молекул ПАВ
Термин «амфифил» часто используется как синоним ПАВ. Этот термин происходит от греческого слова amphi, означающего «оба». Его использование связано с тем, что молекулы всех ПАВ состоят по крайней мере из двух частей, одна из которых растворима в жидкости, а вторая — нерастворима. Если жидкость — вода, говорят о гидрофильных и гидрофобных частях молекулы соответственно. Гидрофильную часть обычно называют полярной группой или «головкой», а гидрофобную часть — радикалом или «хвостом».
В мицелле гидрофобные группы находятся внутри агрегата, а полярные группы направлены в сторону растворителя. Поэтому мицелла представляет собой полярный агрегат, хорошо растворимый в воде, и сама не обладает заметной поверхностной активностью. При адсорбции ПАВ из водного раствора на гидрофобной поверхности молекула ПАВ обычно ориентируется гидрофобной частью к поверхности, а полярной группой к воде. Межфазная поверхность при этом становится гидрофильной, в результате межфазное натяжение уменьшается. Адсорбция на гидрофильных поверхностях часто приводит к возникновению более сложных агрегатов молекул ПАВ.
Гидрофобная часть молекулы ПАВ может быть линейной или разветвленной. Полярная группа, как правило, но не всегда присоединена к концу алкильной цепи, которая содержит обычно от 8 до 18 атомов углерода. Степень разветвления цепи, положение полярной группы и длина цепи — важнейшие параметры, определяющие физико-химические свойства ПАВ.
Полярная группа ПАВ может быть ионогенной или неионогенной, что в значительной мере определяет свойства ПАВ. Это позволяет классифицировать ПАВ на ионные и неионные. Размер полярной группы неионного ПАВ может варьироваться в широких пределах. У ионных ПАВ размер полярной группы более или менее постоянен. Следует подчеркнуть, что физико-химические свойства ПАВ в растворе определяются соотношением размеров гидрофобной и полярной групп, а не их абсолютными размерами.
Рис. 1. Схематическое изображение молекулы поверхностно-активного вещества
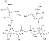
Обычно ПАВ содержит только одну полярную группу. Недавно возник заметный интерес к димерным ПАВ, содержащим два гидрофобных хвоста и две полярные группы, соединенные коротким мостиком. Такие вещества пока не нашли практического применения, однако они обладают интересными физико-химическими свойствами. Эти ПАВ эффективно снижают поверхностное натяжение и имеют очень низкие значения ККМ. Для сравнения: ККМ обычного катионного ПАВ — бромида додецилтриметиламмония — равна 16 мМ, а ККМ соответствующего димерного ПАВ с двумя атомами углерода в мостике, соединяющем мономеры, составляет 0,9 мМ. Различие в величинах ККМ обычных и димерных ПАВ может иметь большое практическое значение. Типичный пример димерного ПАВ показан на рис. 2.
Рис. 2. Димерное ПАВ
Малоэффективные поверхностно-активные вещества, способные адсорбироваться на поверхности, но не образующие мицеллы, используются в качестве добавок во многие композиции ПАВ. Такие ПАВ относят к гидротропным веществам, они разрушают упорядоченную упаковку обычных ПАВ. Например, введение гидротропного вещества может предотвратить образование высоковязких жидкокристаллических фаз, возникновение которых часто создает существенные трудности при составлении композиций ПАВ. Ксилолсульфонат и кумол-сульфонат — типичные представители гидротропных веществ, используемых в составе композиций многих моющих средств. Алкилфосфаты с короткими цепочками широко применяются в качестве гидротропов в композициях на основе длинноцепочечных этоксилированных спиртов.
Природные ПАВ
К ПАВ природного происхождения прежде всего относятся полярные липиды. Они широко распространены в живых организмах. В биологических системах поверхностно-активные вещества выполняют по сути те же функции, что и синтетические ПАВ в технических системах.
Так, например, они помогают организму преодолеть проблему растворимости малорастворимых веществ, являются эмульгаторами и диспергаторами, а также модификаторами поверхности и т. д. Можно привести много интересных примеров, характеризующих роль ПАВ в биологических системах. Так, соли желчных кислот являются чрезвычайно эффективными солюбилизаторами гидрофобных компонентов крови смеси
Рис. 3. Примеры полярных липидов
фосфолипидов упаковываются в упорядоченные бислои по типу жидких кристаллов ПАВ и из таких структур состоят клеточные мембраны. На рис. 3 приведены примеры наиболее распространенных полярных липидов. Ярким примером природного ПАВ, которое непосредственно, без химических процедур, получают из природных источников, является лецитин. Лецитин экстрагируется из источников, богатых фосфолипидами
Некоторые микроорганизмы эффективно продуцируют природные ПАВ. Можно получать с хорошими выходами как высокомолекулярные поверхностно-активные компоненты, например липополисахариды, так и низкомолекулярные полярные липиды, особенно если микроорганизмы культивируются на водонерастворимом субстрате. На рис. 4 приведена структура низкомолекулярного ацилированного углевода — гликолипида на основе трегалозы, высокая поверхностная активность которого уже доказана. Такие производные и некоторые другие поверхностно-активные вещества, производимые дрожжами, с недавнего времени вызывают большой интерес. Уже потрачено немало усилий на улучшение существующих процессов ферментации и на разработку новых способов культивирования микроорганизмов. Несмотря на достигнутый прогресс, коммерческое использование подобных ПАВ все еще ограниченно из-за их высокой стоимости.
Рис. 4. Поверхностно-активный гликолипид на основе трегалозы, получаемый в процессе ферментации
Нефтехимия и химия растительных масел как источники сырья для получения ПАВ
В последние годы наблюдается тенденция к использованию «зеленых» ПАВ, особенно в быту. Термин «природное ПАВ» служит указанием на природный источник вещества. Однако ни одно ПАВ, используемое сегодня в значительных объемах, нельзя считать природным в полном смысле. За небольшим исключением все ПАВ производятся в процессе органического синтеза, причем нередко в очень жестких условиях, когда неминуемо образуются побочные продукты. Например, моноглицериды широко распространены в природе, но ПАВ, поступающие на рынок как моноглицериды, получают в процессе промышленного гидролиза триглицеридных масел при температурах выше 200 °С, что приводит к образованию побочных продуктов — ди- и трипроизводных глицерина. Ал-килглюкозиды чрезвычайно распространены в живых организмах, но ПАВ этого класса, часто называемые АПГ, получают с помощью многостадийных химических процессов, и их, без сомнения, нельзя считать природными.
Чтобы правильно оценить происхождение ПАВ, полезно разделить их на два класса в зависимости от сырья, из которого их получают: олеохимические и нефтехимические ПАВ. Олеохимические ПАВ производят из возобновляемого сырья, обычно из растительных масел. Нефтехимические ПАВ производятся из небольших «строительных блоков», таких как этилен, получаемый при крекинге нефти. Часто сырьем для ПАВ одновременно служат растительные масла и продукты нефтехимии. Этоксилированные жирные кислоты — один из многочисленных тому примеров.
Иногда олеохимические и нефтехимические способы переработки приводят к получению идентичных продуктов. Например, нормальные спирты с углеводородными радикалами С10-С14, обычно используемые для введения гидрофобных групп при синтезе неионных ПАВ и анионных ПАВ, получают либо гидрированием метиловых эфиров соответствующих жирных кислот, либо по реакции полимеризации этилена с триэтилалюминием в качестве катализатора. В обоих случаях получают неразветвленные алифатические спирты, мало различающиеся по составу гомологов, поскольку он определяется процессом дистилляции. Оба способа производства широко распространены.
Характеристики
Тип файла документ
Документы такого типа открываются такими программами, как Microsoft Office Word на компьютерах Windows, Apple Pages на компьютерах Mac, Open Office - бесплатная альтернатива на различных платформах, в том числе Linux. Наиболее простым и современным решением будут Google документы, так как открываются онлайн без скачивания прямо в браузере на любой платформе. Существуют российские качественные аналоги, например от Яндекса.
Будьте внимательны на мобильных устройствах, так как там используются упрощённый функционал даже в официальном приложении от Microsoft, поэтому для просмотра скачивайте PDF-версию. А если нужно редактировать файл, то используйте оригинальный файл.
Файлы такого типа обычно разбиты на страницы, а текст может быть форматированным (жирный, курсив, выбор шрифта, таблицы и т.п.), а также в него можно добавлять изображения. Формат идеально подходит для рефератов, докладов и РПЗ курсовых проектов, которые необходимо распечатать. Кстати перед печатью также сохраняйте файл в PDF, так как принтер может начудить со шрифтами.
















