166085 (624935), страница 4
Текст из файла (страница 4)
Первичные амины с помощью цианоэтилирования превращают в длинноцепочечные 1,3-диамины:
Первичные или вторичные длинноцепочечные амины можно метилировать и превращать в третичные амины, например по реакции с формальдегидом в восстановительных условиях:
В качестве алкилирующего агента для превращения первичных и вторичных аминов в третичные амины типа R-CH2N2 и 2NCH2CH2OH можно также использовать этиленоксид.
Четвертичные аммонивые соединения обычно получают из третичных аминов по реакции с подходящим алкилирующим агентом, например с хлористым или бромистым метилом или диметилсульфатом, причем выбор реагента определяет противоион ПАВ:
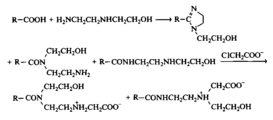
Четвертичные аммониевые ПАВ, содержащие сложноэфирные группы, получают этерификацией жирной кислоты аминоспиртом с последующим N-алкилированием, как указано выше. В качестве примера приведена реакция триэтаноламина, взятого в качестве аминоспирта, и диметилсульфата в качестве метилирующего агента:
Азотсодержащие соединения составляют основную массу катионных ПАВ. Но существуют также фосфониевые, сульфониевые и сульфоксониевыые ПАВ. Первые два типа ПАВ получают обработкой триалкилфосфина или диалкилсульфида соответственно алкилхлоридом, как показано ниже для синтеза фосфониего ПАВ:
Сульфоксониевые ПАВ получают окислением пероксидом водорода сульфониевой соли. Промышленное использование неазотных катионных ПАВ невелико, поскольку эти вещества редко обладают преимуществами по сравнению с более дешевыми азотсодержащими ПАВ. Фосфониевые ПАВ с одной достаточно длинной алкильной цепью и тремя метальными группами нашли применение в качестве биоцидов.
Большинство поверхностей — металлы, минералы, пластики, волокна, клеточные мембраны и т. д. — заряжены отрицательно. Главное использование катионных ПАВ связано с их способностью адсорбироваться на отрицательно заряженных поверхностях. Некоторые примеры приведены в табл. 5, а наиболее важные характеристики катионных ПАВ — в табл. 6.
Таблица 5. Применение катионных ПАВ, обусловленное их адсорбцией на поверхностях
| Поверхность | Применение |
| Сталь | Антикоррозионные агенты |
| Минералы | Флотационные собиратели |
| Неорганические пигменты | Диспергаторы |
| Пластики | Антистатические агенты |
| Волокна | Антистатические агенты, мягчители |
| Волосы | Кондиционеры |
| Удобрения | Для снижения слеживаемости |
| Стенки бактериальных клеток | Бактерициды |
Таблица 6. Основные характеристики катионных ПАВ
| 1. Катионные ПАВ представляют собой третий из наиболее распространенных классов ПАВ. 2. Они, как правило, несовместимы с анионными ПАВ. 3. Устойчивые к гидролизу катионные ПАВ более токсичны для водной среды по сравнению с ПАВ других классов. 4. Катионные ПАВ сильно адсорбируются практически на любых поверхностях, и их основное использование связано с возможностью модифицировать поверхность in situ. |
Цвиттер-ионные ПАВ
Цвиттер-ионные ПАВ содержат в молекулах две противоположно заряженные группы. Положительный заряд почти всегда обеспечивается аммониевой группой, а отрицательно заряженные группы могут быть разные; чаще всего отрицательный заряд обеспечивает карбоксилат-ион. Такие ПАВ нередко относят к амфотерным, но, как отмечалось выше, эти термины не идентичны. Заряды амфотерного ПАВ изменяются в зависимости от рН, при этом при переходе от кислых к щелочным рН изменяется тип ПАВ от катионного через цвиттер-ионное до анионного. Ни кислотные, ни основные группы не несут постоянного заряда и цвиттер-ионом такое ПАВ становится только в определенном интервале рН.
Изменение заряда с изменением рН амфотерного ПАВ, естественно, влияет на такие его свойства, как пенообразующая и смачивающая способности, моющее действие, т. е. главные свойства ПАВ оказываются зависимыми от рН. В изоэлектрической точке физико-химические свойства таких ПАВ аналогичны свойствам неионных ПАВ. Ниже и выше изоэлектрической точки происходит постепенный сдвиг к катионному или анионному характеру ПАВ соответственно. ПАВ с сульфатными или сульфонатными группами, обеспечивающими отрицательный заряд молекул, остаются цвиттер-ионными до очень низких значений рН вследствие очень низких значений рКа моноалкилсерной и алкилсуль-фоновой кислот.
Типичными представителями цвиттер-ионных ПАВ являются N-алкилпро-изводные простых аминокислот, бетаина 2NCH2COOH), аминопропионовой кислоты). Такие ПАВ получают не из аминокислот, а по реакции длинноцепочечных аминов с хлорацетатом натрия или с производными акриловой кислоты, при этом образуются структуры с одним или двумя атомами углерода соответственно между азотом и карбоксилатной группой. В качестве примера ниже приведена схема реакции получения типичного ПАВ — производного бетаина из алкилдиметил-амина и монохлорацетата натрия:
Производные амидобетаина получают аналогично, исходя из амидоамина.
Другой тип цвиттер-ионных ПАВ, обычно называемых имидазолинами, синтезируют по реакции жирной кислоты с аминоэтилэтаноламином с последующей обработкой хлорацетатом. Номенклатура ПАВ этого типа оказалась немного запутанной, поскольку полагали, что конечный продукт содержит имидазольное кольцо, но позже было установлено, что пятичленное кольцо разрывается на второй стадии синтеза. Типичная последовательность реакций такова:
Цивиттер-ионные ПАВ характеризуются очень хорошими дерматологическими свойствами, не раздражают глаза и поэтому часто используются в составе шампуней и косметических средств. Поскольку суммарный заряд молекул таких ПАВ равен нулю, они, как и неионные ПАВ, не теряют своих свойств в композициях с высоким содержанием электролита. Традиционно цвиттер-ионные ПАВ используются в составе щелочных чистящих средств. На рис. 11 даны примеры типичных цвиттерионных ПАВ, а в табл. 7 обобщена основная информация о ПАВ этого класса. Как уже упоминалось, аминоксидные ПАВ, или, правильнее, N-оксиды третичных аминов, относят иногда к цвиттер-ионным, иногда к неионным, а иногда к катионным ПАВ. Формально они имеют разделенные заряды на атомах азота и кислорода и обычно ведут себя как неэлектролиты, но при низких рН или в присутствии анионного ПАВ они принимают протон с образованием сопряженной катионной кислоты. 1:1-Валентная соль образуется между анионным ПАВ и протонированным аминоксидом; такие соли обладают высокой поверхностной активностью. Оксиды аминов получают окислением пероксидом водорода соответствующего третичного амина.
Рис. 11. Структуры некоторых типичных цвиттерионных ПАВ
| 1. Это самый небольшой класс ПАВ. 2. Они совместимы со всеми другими типами ПАВ. 3. Нечувствительны к жесткой воде. 4. Стабильны в кислой и щелочной средах. В частности, бетаины сохраняют поверхностную активность в сильнощелочной среде. 5. В большинстве случаев не оказывают раздражающего действия на кожу и глаза, поэтому входят в составы шампуней и других средств личной гигиены. |
Дерматологическое действие ПАВ
Дерматологическое воздействие ПАВ порождает серьезные проблемы и является объектом многих современных исследований. Основные дерматологические проблемы в рабочих условиях связаны с контактом незащищенной кожи с растворами ПАВ, которые используются в качестве разнообразных чистящих средств, а также жидкостей для резки, масляных эмульсий для прокатки и т.д. Обычно эффект сводится к раздражению кожи различной тяжести, реже возникают аллергические реакции. Раздражение кожи вызывается непосредственным воздействием ПАВ, а аллергические реакции активируются побочными продуктами, присутствующими в композициях ПАВ. Хорошо известным примером тяжелой аллергической реакции является так называемая «маргариновая болезнь», обнаруженная в Нидерландах в 1960-х гг. Было установлено, что эту болезнь вызывает побочный продукт, обнаруженный в новом ПАВ, которое добавляли в маргариновые продукты для уменьшения разбрызгивания при жарке. Это ПАВ позволяет сохранять капельки воды в тонкодисперсном состоянии. Сенсибилизирующим агентом в составе ПАВ оказалось вещество с ярко выраженными электрофильными свойствами. При реакции с нуклеофильными группами белков происходит их денатурация, и организм воспринимает это вещество как чужеродный антиген. ПАВ, использованное в производстве маргарина, содержало заметное количество непрореагировавшего промежуточного продукта, в котором при попадании в организм, по-видимому, происходило раскрытие цикла при взаимодействии с аминными или тиоловыми группами белков.
Физиологическое действие ПАВ на кожу исследуется различными дерматологическими и биофизическими методами, начиная с поверхности кожи и рогового слоя с его защитными функциями до более глубокого слоя базальных клеток. Индивидуальная чувствительность или восприимчивость кожи регистрируется по осязательным ощущениям и опыту. К числу ПАВ, мягких по отношению к коже, относятся ПАВ на основе многоатомных спиртов, цвиттер-ионные ПАВ и изетионаты. Эти ПАВ часто используют в косметических средствах.
В гомологических рядах ПАВ обычно наблюдается максимум раздражающего действия на кожу при определенной длине гидрофобного радикала. Например, при сравнительном изучении алкилглюкозидов, содержащих 8,10, 12,14 и 16 атомов углерода в алкильных радикалах, максимальное воздействие на кожу обнаружено для С12-производных. Тот же максимальный эффект обнаружен при изучении биоцид ной активности ПАВ. По-видимому, эти данные отражают тот факт, что биологические реакции, вызываемые действием ПАВ на мукозную мембрану или бактериальные поверхности соответственно, обусловлены высокой поверхностной активностью и высокой концентрацией молекулярно растворенного ПАВ. Так как увеличение длины цепи гидрофобного «хвоста» ПАВ приводит к возрастанию его поверхностной активности и к уменьшению ККМ, т. е. к уменьшению молекулярно растворенного ПАВ, при определенной длине углеводородной цепи в гомологическом ряду появляется экстремум.
















