165930 (624908)
Текст из файла
Федеральное агентство по образованию
Государственное образовательное учреждение
высшего профессионального образования
«САМАРСКИЙ ГОСУДАРСТВЕННЫЙ ТЕХНИЧЕСКИЙ УНИВЕРСИТЕТ»
Инженерно-технологический факультет
Кафедра органической химии
Синтез м-Нитробензойной кислоты
Курсовая работа
Выполнил студент
3 курса, 3 группы
Кириллов Евгений Владимирович
Научный руководитель
Д.х.н., профессор Моисеев И.К.
САМАРА 2007
СОДЕРЖАНИЕ
Содержание
1. Введение
2. Обзор литературы
3. Обсуждение результатов
4. Экспериментальная часть
4.1. Реагенты и оборудование
4.2. Методика эксперимента
5. Выводы
6. Библиография
1. Введение
Ароматическими карбоновыми кислотами называются производные бензола, содержащие карбоксильные группы, непосредственно связанные с углеродными атомами бензольного ядра. Кислоты, содержащие карбоксильные группы в боковой цепи, рассматриваются как жирноароматические.
Ароматические кислоты могут быть разделены по количеству карбоксильных групп на одно-, двух- и более основные. Названия кислот, у которых карбоксильная группа непосредственно связана с ядром, производятся от ароматических углеводородов. Названия кислот с карбоксилом в боковой цепи производятся обычно от наименований соответствующих кислот жирного ряда. Наибольшее значение имеют кислоты первого типа: например, бензойная (бензолкарбоновая) С6Н5—СООН, п-толуиловая
(п-толуолкарбоновая), фталевая (1,2-бензолдикарбоновая), изофталевая (1,3-бензолдикарбоновая), терефталевая (1,4-бензолдикарбоновая):
Из кислот второго типа отметим фенилуксусную кислоту (I), метилфенилуксусную,
или 2-фенилпропановую, кислоту (II):
Физические свойства
Монокарбоновые кислоты ряда бензола — бесцветные кристаллические вещества с температурой плавления выше 100 °С. Кислоты с пара-положением заместителей плавятся при значительно более высоких температурах, чем их изомеры. Ароматические кислоты кипят при несколько более высоких и плавятся при значительно более высоких температурах, чем кислоты жирного ряда с тем же числом углеродных атомов. Монокарбоновые кислоты довольно плохо растворяются в холодной воде и значительно лучше в горячей. Низшие кислоты летучи с парами воды.
В водных растворах монокарбоновые кислоты обнаруживают большую степень диссоциации, чем кислоты жирного ряда: константа диссоциации бензойной кислоты 6,6·10-5 , уксусной кислоты 1,8·10-5.
Отдельные представители. Применение
Бензол был открыт Фарадеем в 1825 г. и была установлена его брутто-формула-С6Н6. В 1865 г. Кекуле предложил его структурную формулу как циклогексатриена-1,3,5. Этой формулой пользуются и в настоящее время, хотя она, как позднее будет показано, несовершенна - не отвечает полностью свойствам бензола.
Наиболее характерной особенностью химического поведения бензола является удивительная инертность двойных углерод-углеродных связей в его молекуле: в отличие от рассмотренных; ранее непредельных соединений он устойчив к действию окислителей (например, перманганата калия в кислой и щелочной среде, хромового ангидрида в уксусной кислоте) и не вступает в обычные реакции электрофильного присоединения, характерные для алкенов, алкадиенов и алкинов.
Пытаясь объяснить свойства бензола особенностями строения, многие ученые вслед за Кекуле выдвигали по этому поводу свои гипотезы. Поскольку непредельность бензола явно не проявлялась, считали, что двойных связей в молекуле бензола нет. Так, Армстронг и Байер, а также Клаус предположили, что в молекуле бензола четвертые валентности всех шести атомов углерода направлены к центру и насыщают друг друга, Ладенбург - что углеродный скелет бензола представляет собой призму, Чичибабин - что в бензоле углерод трехвалентен.
Тиле, усовершенствуя формулу Кекуле, утверждал, что двойные связи в последнем не фиксированы, а постоянно перемещаются-«осциллируют», а Дьюар и Хюккель предложили структурные формулы бензола с двойными связями и малыми циклами.
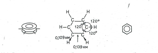
В настоящее время на основании данных многочисленных исследований можно считать твердо установленным, что шесть углеродных и шесть водородных атомов в молекуле бензола находятся в одной плоскости и что облака π-электронов атомов углерода перпендикулярны плоскости молекулы и, следовательно, параллельны друг другу и взаимодействуют между собой. Облако каждого π-электрона перекрывается облаками π-электронов соседних углеродных атомов. Реальная молекула бензола с равномерным распределением π-электронной плотности по всему кольцу может быть представлена в виде плоского шестиугольника, лежащего между двумя торами.
Отсюда следует, что формулу бензола логично изображать в виде правильного шестиугольника с кольцом внутри, подчеркивая тем самым полную делокализованность π-электронов в бензольном кольце и равноценность всех углерод-углеродных связей в нем. Справедливость последнего заключения подтверждена, в частности, результатами измерения длин С—С-связей в молекуле бензола; они одинаковы и равны 0,139 нм (С—С-связи в бензольном кольце короче ординарных (3,154 нм), но длиннее двойных (0,132 нм)). Распределение электронной плотности в молекуле бензола; длины связей, валентные углы
Бензойная кислота простейшая ароматическая кислота, C6H5COOH; бесцветные блестящие пластинки или иглы с Тпл. 121,5°С, кристаллогидрат плавится при 90 °С. Встречается в свободном состоянии в некоторых смолах, особенно в бензойной смоле и в «драконовой крови» (красная твердая смола, добываемая из одного вида пальмы). В виде бензилового эфира она входит в состав перуанского бальзама. Б. к. в виде сложных эфиров и солей содержится в различных природных эфирных маслах, например гвоздичном. В виде гиппуровой кислоты (бензоилглицин) содержится в моче травоядных животных. Впервые выделена возгонкой в начале 17 в. из бензойной смолы (росного ладана), отсюда и получила название. Б. к. хорошо растворяется в органических растворителях, в воде - плохо; легко возгоняется; перегоняется с водяным паром. Получают Б. к. окислением толуола азотной или хромовой кислотой, а также декарбоксилированием фталевой кислоты.
В медицине её применяют при кожных заболеваниях наружно как антисептическое (противомикробное) и фунгицидное (противогрибковое) средства, а натриевую соль Б. к. - как отхаркивающее средство. Кроме того, натриевую соль Б. к. используют при консервировании пищевых продуктов. Сложные эфиры Б. к. (от метилового до амилового), обладающие сильным запахом, применяют в парфюмерной промышленности. Различные производные Б. к., например хлор- и нитробензойные кислоты, широко применяют для синтеза красителей. Эталон в калориметрии; основное вещество для установки титра щелочей; для бензилирования в органическом анализе; растворитель при определении молекулярного веса; для контроля достигавшейся максимальной температуры в стерилизаторах. В продаже часто фальсифицируется мылом, сахаром и многими кислотами. Фальсифицированная Б. К. дает на нагретом стекле твердый осадок.
ТЕХНИЧЕСКИЕ ПОКАЗАТЕЛИ (СТ. ГОХП 27 - 1810)
| квалиф | осн. вещ. % | Т.пл °С | Предельно допустимое содержание примесей % | Испытания (см. СТ. ГОХП) | ||||
| хлориды | ост. прокал. | сера | тяж. мет. | |||||
| ч.д.а. | 99,9 | 122-123 | 0,02 | 0,01 | 0,002 | 0,0005 | На растворимость в аммиаке | |
| ч. | 99,5 | 122-123 | 0,05 | 0,05 | 0,005 | 0,002 | ||
Очень важным производным бензойной кислоты является ее хлорангидрид — хлористый бензоил. Это жидкость с характерным запахом и сильным лакриматорным действием. Используется как бензоилирующий агент.
Пероксид бензоила используется как инициатор для реакций полимеризации, а также как отбеливающий агент для пищевых масел, жиров, муки.
Толуиловые кислоты. Метилбензойные кислоты называют толуиловыми кислотами. Они образуются при частичном окислении о-, м- и п-ксилолов. NN-Диэтил-м-толуилмид является эффективным репеллентом — препаратом, отпугивающим насекомых:
п-трет-Бутилбензойную кислоту получают в промышленных масштабах жидкофазным окислением трет-бутилтолуола в присутствии растворимой соли кобальта в качестве катализатора. Применяется в производстве полиэфирных смол.
Фенилуксусную кислоту получают из хлористого бензила через нитрил или через магнийорганические соединения. Это кристаллическое вещество с т. пл. 76 °С. Благодаря подвижности подородных атомов метиловой группы легко вступает в реакции конденсации. Эта кислота и ее эфиры применяются в парфюмерии.
СЕРНАЯ КИСЛОТА H2SO4— сильная двухосновная кислота. Безводная 100%-ная С. к. при комнатной температуре представляет собой в сильной степени ассоциированное соединение с длинными, образованными на счет водородных связей, цепевидными молекулами. При повышении температуры эти цепочки разрушаются
Физические и химические свойства серной кислоты. Безводная С. к.— бесцветная маслянистая жидкость, застывающая в кристаллич. массу при +10,37°. При 279,6С/700 мм безводная С. к. кипит с разложением до образования азеотрошюй смеси, содержащей 98,3% H2SO4 и 1,7% Н2О (эта смесь кипит при 338,8°). С. к. смешивается с водой и SO3 в любых соотношениях. Добавление воды к 100%-иой С. к. приводит к снижению температуры плавления (ок. 120 на 1моль воды), отвечающему образованию почти 2 частиц из каждой молекулы воды.
Теплота испарения составляет 122,1 ккал/кг 100%-ной С. к., теплота плавления 26,55 ккал/кг 100%-ной С. к.
Конц. С.к. — довольно сильный окислитель, особенно при нагревании. Она окисляет HJ и частично HВr (но не HCI) до свободных галогенов, уголь до С02, серу до SO2, а также многие металлы (Сu, Hg и р.)- Золото и платина устойчивы но отношению к С. к. при любых концентрациях и температурах. С. к. с концентрацией выше 93% не действует на железо. Разб. С. к. легко растворяет железо с выделением Н2. Окислительные свойства для разб. С. к. нехарактерны. Действуя как окислитель, С. к. обычно восстанавливается до SO2. Однако наиболее сильными восстановителями она может быть восстановлена до S и даже H2S. Копц. С. к. частично восстанавливается газообразным Н2, из-за чего и не может применяться для его сушки.
С. к. дает два ряда солей: средние — сульфаты, и кислые — бисульфаты, причем последние в твердом состоянии выделены лишь для немногих наиболее активных одновалентных металлов — Na, К и др
Получение. В современной заводской практике исходным веществом для получения С. к. служит сернистый газ. Процесс его переработки в С. к. может быть выражен суммарным стехиометрическим уравнением:
SO2 + 0,5О2 + пН2О = Н2SO4 + (п-1) Н2О
В промышленности этот процесс осуществляется посредством двух различных способов — контактного и нитрозного.
Сущность контактного метода состоит в том, что газообразный SО2, проходя «месте с кислородом или воздухом через катализатор, окисляется до SO3 по реакции:
SO2+0,5О2 = SO3 + 22,97 ккал/моль
Полученный SO3 растворяется в воде с образованием С. к.
Характеристики
Тип файла документ
Документы такого типа открываются такими программами, как Microsoft Office Word на компьютерах Windows, Apple Pages на компьютерах Mac, Open Office - бесплатная альтернатива на различных платформах, в том числе Linux. Наиболее простым и современным решением будут Google документы, так как открываются онлайн без скачивания прямо в браузере на любой платформе. Существуют российские качественные аналоги, например от Яндекса.
Будьте внимательны на мобильных устройствах, так как там используются упрощённый функционал даже в официальном приложении от Microsoft, поэтому для просмотра скачивайте PDF-версию. А если нужно редактировать файл, то используйте оригинальный файл.
Файлы такого типа обычно разбиты на страницы, а текст может быть форматированным (жирный, курсив, выбор шрифта, таблицы и т.п.), а также в него можно добавлять изображения. Формат идеально подходит для рефератов, докладов и РПЗ курсовых проектов, которые необходимо распечатать. Кстати перед печатью также сохраняйте файл в PDF, так как принтер может начудить со шрифтами.















