151882 (622007), страница 4
Текст из файла (страница 4)
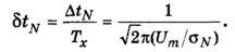
де Δu - дрейф порога спрацювання формувача імпульсів; vx - швидкість зміни вимірюваного сигналу. Якщо сигнал синусоїдний з амплітудою Um і часто тою fx, то максимальна швидкість зміни сигналу vx=2πfxUm, Якщо дрейф Δu виразити через швидкість дрейфу vd і період Тх, тобто Δu=vdTx, то вираз можна записати у такому вигляді:
Відносна похибка
Похибка, зумовлена впливом шуму із середнім квадратичним відхиленням σN на вхід формувача імпульсів,
Відносна похибка:
Отже, відносна похибка, зумовлена впливом шуму, не залежить від вимірюваної частоти, а визначається відношенням сигнал/шум.
2.4 Резонансний метод вимірювання частоти
Принцип дії аналогового резонансного частотоміра (рис.12 ґрунтується на порівнянні вимірюваної частоти fx з частотою резонансного контуру fр. Сигнал з частотою fх, яку необхідно виміряти, через взаємно індуктивні елементи подається на коливальний контур LCх. Резонансну частоту контуру можна змінювати, змінюючи ємність конденсатора Сх:
За допомогою індикатора резонансу контур налаштовується у резонанс із вимірюваною частотою fx=fр. Індуктивність L заздалегідь відома із заданою точністю, а тому шкала конденсатора градуюється безпосередньо в одиницях частоти. На високих і надвисоких частотах коливальний контур частотоміра виготовляєтеся у вигляді відрізка коаксіальної лінії або об'ємного резонатора.
Рис.12
2.5 Вимірювання частоти за допомогою осцилографа
Лінійна розгортка. У режимі лінійної розгортки сигнал із частотою, яку необхідно виміряти, подається на вхід каналу вертикального відхилення. За допомогою синхронізації досягають стійкого зображення на екрані осцилографа. Частоту вимірюють, підраховуючи візуально кількість повних коливань за одиницю часу. Період коливань вимірюють також візуально за допомогою шкали, нанесеної на екрані осцилографа.
Якщо осцилограф двоканальний або двопроменевий, то можна виміряти зсув фаз між двома коливаннями однакової частоти, подаючи їх на входи каналів вертикального відхилення.
Зсув фаз можна виміряти також і за допомогою одноканального осцилографа, якщо один сигнал подати на вхід вертикального відхилення, а другий - на вхід зовнішньої синхронізації.
Синусоїдна розгортка. Якщо сигнал з вимірюваною частотою подати на вхід каналу вертикального відхилення осцилографа, а сигнал із відомою зразковою частотою подати на вхід каналу горизонтальної розгортки, то на екрані осцилографа можна отримати так звані фігури Лісажу - складні траєкторії руху електронного променя, вигляд яких залежить від співвідношення частот fx/f0 і від кута зсуву фаз (рис.13).
Рис.13
Циклічна розгортка. У цьому режимі на вхід горизонтального й вертикального каналів подаються сигнали однієї і тієї самої зразкової частоти, відомої із заданою точністю, і зсунуті один відносно одного на π/2. На екрані осцилографа електронний промінь рухатиметься вздовж кола, причому тривалість одного оберту дорівнює періоду зразкового сигналу.
Сигнал із вимірюваною частотою fx подається на модулятор електронно-променевої трубки і таким чином модулюється яскравість зображення - у додатний півперіод зображення яскравіше, а у від'ємний - менш яскраве. Якщо fx>f0, то у зображенні кола на екрані осцилографа з'являються світлі і темні ділянки. Кількість світлих або темних ділянок дорівнює кратності n вимірюваної fx і зразкової f0 частот
n=fx/f0,звідки
fx=nf0.
Пунктирне зображення кола на екрані нерухоме тільки за умови кратності fx/f0, тому візуально домагаються кратності, змінюючи зразкову частоту f0.
III. Техніка безпеки
3.1 Класифікація приміщень за електробезпекою
Згідно правил улаштування електроустаткування ПУЕ приміщення класифікуються на:
-
сухі (відносна вологість повітря не перевищує 60 %)
-
вологі (відносна вологість повітря 60-75 %)
-
гарячі (температура повітря більша 35 С)
-
запилені (в яких в умовах виробництва виділяється пил в такій кількості, що може осідати на проводах.)
-
приміщення з хімічно-активним або органічним середовищем, в яких є агресивні пари, рідини, які утворюють відкладення або плісняву.
-
Приміщення без підвищеної безпеки, в яких створені умови, що створюють підвищену або особливу небезпеку.
-
Приміщення з підвищеною небезпекою - можливість дотику людини до струмопровідних частин.
-
Особливо небезпечні приміщення - лазні, металеві гаражі, парники.
3.2 Електрична ізоляція
Ділиться на:
-
основну
-
додаткову
-
подвійну
-
посилену
Для електротехнічних виробів, в тому числі і електромеханічних приладів встановлено 5 класів захисту:
-
клас 0 - електроприлади на номінальну напругу більшу 42 В, в яких всі частини досяжні для дотику, відокремлені основною ізоляцією від частин, що знаходяться під напругою, та в яких відсутні пристрій для заземлення.
-
Клас 01-електроприлади на номінальну напругу більшу 42 В, в яких присутній пристрій для заземлення, розташований з зовнішнього боку приладу.
-
Клас I - в пристрій для заземлення, розташований всередині приладу.
-
Клас II - електроприлади на номінальну напругу більше 42 В, в яких всі частини досяжні для дотику, відокремлені подвійною або посиленою ізоляцією від частин, що знаходяться під напругою і відсутній пристрій для заземлення.
-
Клас III - електроприлади на номінальну напругу до 42 В, у яких немає ні внутрішніх, ні зовнішніх частин, які працюють при більш високій напрузі.
Список рекомендованої літератури
-
Гурій А.М. Поровознюк Н.І. Електричні і радіотехнічні вимірювання: Посіб. для пед. працівників та учнів проф. - техн. навч. зал. - К.: Навч. Книга, 2002.
-
Клюев А. С, Пин Л.М., Коломиец Е.И. Наладка средств измерений и систем технологического контроля: Справочное пособие. - М.: Энергоиздат, 1990.
-
Телешевский Б.Е. Измерения в электро - и радиотехнике. - М.: Высш. шк., 1984.
-
Телешевский Б.Е. Лабораторные работы по электро - и радиоизмерениям. - М.: Высш. шк., 1984.
-
Шаповаленко О.Г., Бондар В.М. Основи електричних вимірювань: Підручник. - К.: Либідь, 2002.
-
Шихин А.Я., Белоусова Я.М., Пухляков Ю. X. и др. Электротехника. - М.: Высш. шк., 1989.
Размещено на Allbest.ru
















