151882 (622007), страница 3
Текст из файла (страница 3)
Більшість частотомірів, що застосовуються на електричних станціях та в енергосистемах, мають обмежену точність (клас їхньої точності 1,5; 1,0; 0,5; 0,2).
Разом з тим ці частотоміри потребують періодичної повірки, перш за все відомчої, яку з дозволу Державних метрологічних органів проводять метрологічні підрозділи підприємств і організацій, де експлуатують прилади. Повірка необхідна також після ремонту приладів.
При таких повірках необхідно забезпечити клас точності зразкового засобу вимірювання у 4.5 разів вищий за клас приладу, що повіряється. Якщо зразкових приладів необхідного класу точності немає, то використовують метод порівняння частот зразкового високоточного вимірювального генератора і джерела напруги змінної частоти, від якого живиться частотомір, що проходить повірку. Використовують ще і метод вимірювання частоти за допомогою частотомірного мосту.
Безпосереднє вмикання частотоміра на генератор зразкових частот часто буває неможливим через малу потужність таких генераторів.
Досить надійним методом порівняння двох частот є метод биття, реалізація якого можлива згідно зі схемою рис.7.
На цьому рисунку позначено:
ЗГ - генератор зразкової частоти; ГЧ - генератор змінної частоти живлення приладу; ЧМ - частотомір, що повіряється; П1, П2, П3 - підсилювачі; І - індикатор наявності коливань напруги; П - потенціометр.
Для чіткої роботи схеми необхідно, щоб підсилювачі П1 і П2 були однотипними, а величини напруг на їхніх виходах - однаковими (щоб досягти цього, у схемі є потенціометр П, за допомогою якого на вході до підсилювача П2 можна встановити яку завгодно величину напруги).
Індикаторний прилад І - це прилад для вимірювань постійного струму з нульовою позначкою посередині шкали. Він має бути здатним витримувати величину напруги змінного струму, яка виникає на виході підсилювача П3 при появі на його вході складених напруг, створених підсилювачами П1 і П2.
Рис.7 Точне вимірювання частоти методом биття
Порядок повірки частотоміра на подібній вимірювальній схемі може бути таким. Генератором зразкової частоти ЗГ встановлюють значення однієї з частот, вимірюваних частотоміром ЧМ. Генератором ГЧ встановлюють приблизно таку саму частоту (за показаннями частотоміра ЧМ), після чого звертають увагу на показання індикатора І. Якщо величини обох частот мало відрізняються між собою, то між напругами, що є на виходах підсилювачів П1 і П2, виникає биття - тобто почергове складання і віднімання миттєвих значень цих напруг.
Змінюючи величину частоти генератора ГЧ, досягають такого стану, при якому частота биття напруги стане зовсім малою (десь одне коливання за 5.10 с). У цьому разі можна вважати, що частоти напруг генераторів ЗГ і ГЧ зрівнюються.
Якщо в цей час показання покажчика частотоміра, що проходить повірку, відрізняється від частоти, генерованої генератором ЗГ, то, віднявши від показу частотоміра ЧМ (у герцах) дійсну частоту, з якою працює генератор ЗГ, можна визначити величину похибки частотоміра.
Метод биття можна застосовувати у виробничих лабораторіях при повірках частотомірів завдяки нескладності потрібного обладнання та достатньо високої точності вимірювань.
Застосовуючи зразковий кварцовий генератор з багатоступінчастим подільником частоти, можна отримати зразкову частоту з похибкою близько 0,000001 %.
Використовуючи термостатовані камертонні генератори, можна досягти точності, на порядок чи два меншої. Їх можна використовувати й без подільників частоти.
Іноді для визначення рівності вимірюваної і зразкової частот як нуль-індикатор використовують телефонну трубку. Це зовсім простий метод, який не вимагає додаткової апаратури, треба лише, щоб величини напруг зразкової і контрольованої частот були достатніми (і безпечними) для телефонної трубки. Але користуватись цим методом доцільно тільки при порівнянні підвищених і високих частот, бо людське вухо нездатне сприймати звуки з частотою, нижчою за 12.15 Гц. Наявність такої "мертвої" зони при порівнянні частот порядку 1000.5000 Гц і вище майже не впливає на точність вимірювань, але при порівнянні частот порядку 40.60 Гц вона зовсім недоречна, бо суттєво зменшує точність порівняння.
2.2 Відношення двох частот
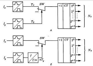
В універсальних цифрових частотомірах передбачена можливість вимірювання відношення двох частот: fx і fy. Сигнали вимірюваних частот подаються на формувачі імпульсів (рис.8), які формують імпульси з крутими фронтами для зменшення похибки від дрейфу рівнів спрацювання.
Якщо одна з частот набагато більша за іншу (fx>>fy), то імпульс тривалістю Ту з виходу формувача (рис.8, а) відкриває ключ і імпульси тривалістю Тх надходять на вхід лічильника імпульсів упродовж часу Ту. Числовий відлік лічильника імпульсів дорівнюватиме:
Якщо ж частоти fx і fy близькі за значенням, то імпульси з частотою fy після формувача (рис.8, б) подаються на подільник частоти з коефіцієнтом ділення n. Числовий відлік лічильника імпульсів у такому разі дорівнюватиме:
Рис.8
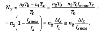
Відсотковий частотомір. Сигнал частотою fx надходить на формувач імпульсів (рис.9), який формує імпульси нормованої амплітуди з крутими фронтами. Сформовані імпульси подаються на подільник частоти з коефіцієнтом ділення n1. З вихідного сигналу подільника частоти формується імпульс тривалістю T1=n1Tx=n1/fx, Генератор стабільної частоти f0 і другий подільник частоти з коефіцієнтом ділення n2 формують другий імпульс тривалістю Т2=n2Т0=n2/f0. Обидва імпульси подаються на ключ, який влаштований так, що він відкритий упродовж часу ΔТ=Т2-Т1. За час ΔТ на вхід лічильника імпульсів через ключ проходять імпульси з періодом Т0. Покази лічильника в кінці вимірювання становлять:
Рис.9
Якщо виконати умову
де fхном - номінальне значення частоти, то
Якщо fx близька до fхном і n2=100, то Nx виражатиме наближено відхилення частоти від номінального значення у відсотках.
2.3 Похибки вимірювання частоти і інтервалів часу
Вимірювання частоти і інтервалів часу супроводжується такими складовими похибок вимірювання: похибка квантування; похибка, зумовлена нестабільністю частоти генератора кванту вальних імпульсів; похибка від нестабільності порогів спрацювання формувачів імпульсів.
Похибка квантування. Якщо генератор квантувальних імпульсів синхронізований з початком вимірюваного інтервалу часу (рис.10, а), то похибка квантування Δt виникає в кінці вимірюваного інтервалу як різниця між результатом вимірювання NxT0 і вимірюваним інтервалом Тх:
Δt=NxT0-Tx.
Оскільки вимірювана величина до вимірювання невідома, то кінець інтервалу Тх може з однаковою ймовірністю припасти на будь-який момент між сусідніми квантувальними імпульсами, тому похибку квантування Δt вважають випадковою і розподіленою за рівномірним несиметричним законом з граничним значенням Т0 (рис.10, б). Математичне сподівання похибки квантування дорівнює T0/2, а середнє квадратичне відхилення σ=Т0/√12. Синхронізувати генератор квантувальних імпульсів з початком вимірюваного інтервалу Тх часто не вдається, тому похибка квантування виникає на початку Δt1 і в кінці Δt2 вимірюваного інтервалу часу Тх (рис.11). Похибки Δt1 і Δt2 розподілені за рівномірними несиметричними законами з граничним значенням Т0. Сумарна похибка квантування Δt=Δt1+Δt2 розподілена за трикутним законом (законом Сімпсона) з граничним значенням Т0. Математичне сподівання сумарної похибки квантування дорівнює нулю, а середнє квадратичне відхилення σ=Т0/√6.
Рис.10
Рис.11
Відносна гранична похибка квантування під час вимірювання частоти за визначений інтервал часу ТN дорівнює:
Отже, відносна гранична похибка квантування збільшується із зменшенням частоти. Для розширення частотного діапазону частотомірів у зону нижніх частот вдаються до таких заходів:
-
На нижніх частотах похибку квантування можна зменшити, збільшуючи N·T0, але це веде до збільшення тривалості вимірювання, тобто до зменшення швидкодії.
-
Застосувати множення вимірюваної частоти, в результаті чого вимірювана частота переноситься у зону високих частот.
-
Перетворити Tх→Uх, а далі відбувається визначення числового значення 1/ Uх.
-
Виміряти відносне відхилення вимірюваної частоти за допомогою цифрового відсоткового частотоміра.
-
Застосувати спеціальні пристрої для вимірювання похибок дискретності Δt1 і Δt2.
-
Вимірювати період Тх з наступним перерахунком періоду в частоту fx.
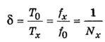
Відносна гранична похибка квантування у вимірюванні періоду дорівнює:
Таким чином, відносна гранична похибка квантування збільшується зі збільшенням вимірюваної частоти fx і зменшується зі збільшенням частоти квантувальних імпульсів f0.
Верхнє граничне значення частотного діапазону, якщо задано допустиме граничне значення похибки квантування, визначається швидкодією лічильника імпульсів, тобто максимальною частотою імпульсів f0, яку лічильник здатен підраховувати
fmах=σ·f0.
Похибка, зумовлена нестабільністю частоти генератора квантувальних імпульсів, виявляється в основному як повільний відхід частоти внаслідок старіння кварцового резонатора.
Похибка від нестабільності порогів спрацювання формувачів імпульсів зумовлена двома чинниками: зміщеннями рівнів формування в каналах і шумовими напругами, що діють на вхід формувача.
Похибка, зумовлена дрейфом порога спрацювання,
















