150115 (621218)
Текст из файла
зміст
Вступ
1. Основи статистики фононів
1.1 Фонони
1.2 Наближення Ейнштейна и Дебая
2. Нормальні процеси і процеси перебросу
3. Вплив N-процесів
4. Облік нормальних процесів
4.1 Релаксаційний метод
4.2 Варіаційний метод
4.3 Метод Гюйє і Крумхансла
Висновки
Список використаної літератури
вступ
Однією з характерних особливостей розвитку сучасного суспільства є широке використання у всіх його сферах досягнень науки і техніки. Важливий вклад у науково-технічний прогрес вносить фізика, зокрема фізика твердого тіла.
Фізика твердого тіла — це великий і важливий розділ сучасної фізики, який вивчає структуру і фізичні властивості речовин у твердому стані. Основне завдання фізики твердого тіла зводиться до встановлення зв'язку між властивостями індивідуальних атомів чи молекул і тими властивостями, які проявляються при об'єднанні цих атомів або молекул в кристали. Важко собі уявити розвиток таких напрямків науки і техніки, як фізика напівпровідників, металів, надпровідників, металургія, матеріалознавство, електроніка, мікро- та оптоелектроніка тощо без фізики твердого тіла.
Постійно створюються і впроваджуються в практику принципово нові матеріали і прогресивні технології. Це, насамперед, надчисті металеві, надпровідні, напівпровідникові матеріали, різні полімерні матеріали і вироби з них, жароміцні та хімічно стійкі замінники металів, порошкові матеріали, тугоплавкі сполуки тощо. Зростаючі потреби сучасної техніки в нових матеріалах істотно стимулюють розвиток фізики твердого тіла як науки матеріалознавчої. Досить нагадати, що завдяки розвитку фізики і хімії твердого тіла ми маємо тепер такі важливі нові матеріали, як рідкі кристали, високотемпературні надпровідники, органічні напівпровідники, провідники і надпровідники тощо.
Тому не дивно, що майже половина всіх фізиків планети працюють у різних областях фізики твердого тіла.
Якщо раніше тверді тіла застосовувалися в техніці майже виключно як конструкційний матеріал, то в міру накопичення знань про фізику твердого тіла, технічні застосування останнього стають набагато обширнішими і різноманітнішими. Зараз тверді тіла грають самостійну роль, виконуючи функції тонких фізичних приладів (оптичних, напівпровідникових, надпровідних і т. д.).
Впорядкованість будови кристалічних твердих тіл і пов'язана з цим анізотропія їх властивостей зумовили широке застосування кристалів в науці і техніці.
Кристали дозволили з'ясувати фізичну природу рентгенівських променів, вивчити хвилеві властивості електронів, дали можливість провести широкий комплекс досліджень в поляризованому світлі, допомогли розгадати багато інших загадок науки.
Вивчення властивостей твердого тіла відкриває можливості створення нових матеріалів, яких не створила природа. Сюди відносяться жароміцні або, навпаки, дуже легкоплавкі сплави, надтверді матеріали, речовини, що володіють цікавими електричними властивостями (напівпровідники), магнітними властивостями (феромагнетики і ферити), речовини, що володіють високою хімічною стійкістю, нові універсальні стеклокристалічні матеріали — ситалли, металокерамічні матеріали — кермети, що поєднують як властивості вогнетривких оксидів, так і властивості металів, полімери з наперед заданими властивостями і т.д.
1. основи статистики фононів
1.1 Фонони
Коливання N атомів кристала можна виразити через суперпозицію 3N нормальних коливань, або мод. Оскільки кожне нормальне коливання з механічної точки зору можна подати як гармонічний осцилятор, то повна енергія коливань дорівнює сумі енергій коливань 3N гармонічних осциляторів, що не взаємодіють між собою. Згідно з квантовою механікою, енергія осцилятора, що коливається з частотою ωj(
),
(1.1)
а повну енергію коливань кристала можна записати у вигляді суми
де n
— 0, 1, 2, 3, ...,
— хвильовий вектор, який може: набувати N різних значень; j — індекс вітки коливань.
Одним з основних результатів квантового підходу дослідження властивостей кристалів є концепція квазічастинок. Квазічастинки перебувають в тому об'ємі, в якому знаходиться система реальних частинок, бути поза системою вони не можуть. Рух кожної окремої квазічастинки ідентичний руху великої кількості реальних частинок системи. Як і справжні частинки, квазічастинки бувають ферміонами і бозонами.
Із (1.2) видно, що енергія збудженого кристала біля основного стану є сумою енергії основного стану і енергії газу квазічастинок. Відповідно енергія збудженого стану системи нормальних коливань кристалічної решітки дорівнює різниці її повної енергії, що виражається сумою (1.2), і енергії основного (незбудженого) стану — енергії нульових коливань
:
З електронами провідності взаємодіють тільки ці збудження, а нульові коливання утворюють постійний незмінний фон (вакуум) кристала. Проте, коли амплітуди нульових коливань атомів стають порівнянними із сталою решітки, то такі квантові кристали набувають деяких дуже цікавих властивостей; такі властивості при певних умовах мають кристали твердого гелію.
Вираз (1.3) можна розглядати, як суму енергій ħωj(
) певних квазічастинок, кількість яких дорівнює n
. Енергія ħωj(
) називається квантом енергії коливання решітки або фононом. Отже, фонон — це одиничне квантове збудження нормального коливання. За аналогією з фотоном (квантом електромагнітного поля) фонон можна розглядати як вільну квазічастинку. У цьому разі ∆ n
= +1 означає народження фонона, а n
= –1 — його знищення.
Таким чином, поки теплова енергія кристала досить мала і коливання атомів гармонічні, її можна подати у вигляді суми енергій квазічастинок — фононів, що не взаємодіють. В гармонічному наближенні фонони за багатьма своїми властивостями поводять себе, як ідеальний газ.
Фонони є акустичні і оптичні, а якщо врахувати поляризацію,— поздовжні (L) і поперечні (Т), тобто фонони бувають LA, LO, ТА і ТО. Оскільки фонон характеризується хвильовим вектором
, то для нього властивий і відповідний закон дисперсії коливань ω(
), причому в тривимірному випадку (як і в одновимірному) закон дисперсії є періодичною функцією з періодом решітки. Це означає, що існує певний зв'язок між типом кристала, його симетрією і характером коливань атомів (або симетрією фононів). У вивченні фононного спектра найбільш важливим є вид дисперсії фононів в особливих точках
-простору, тобто у високосиметричних точках, наприклад в точках |q| = 0, |
| =
тощо.
Згідно з квантовою статистикою Бозе — Ейнштейна, середнє число фононів, які мають енергію Еф = ħω, задається функцією
(1.4)
Формула (1.4) враховує, що хімічний потенціал рівноважного фононного газу дорівнює нулю, оскільки загальна кількість фононів у кристалі не зберігається.
Відповідно середню енергію фононів, які перебувають у стані з відомими ω і
, записують як
¥
©А
(1.5)
1.2 Наближення Ейнштейна і Дебая
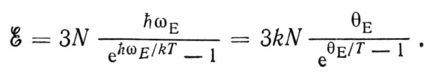
В основу першої квантової теорії твердих тіл покладено модель Ейнштейна (1907 p.). Згідно з нею атом кристала являє собою тривимірний гармонічний осцилятор, що виконує коливання з частотою ωЕ поблизу положення рівноваги незалежно від інших атомів. Згідно з цією моделлю, тверде тіло слід розглядати як сукупність 3N квантових осциляторів, що мають однакову частоту. Середня енергія кожного осцилятора визначається за формулою (1.5).
З рис. 1.1 видно, що частоти оптичних коливань кристалічної решітки мало залежать від хвильового вектора
. Це означає, що до них можна застосувати модель Ейнштейна. За частоту коливань ωЕ осциляторів беруть ω3, яка дорівнює граничному значенню частоти оптичної вітки коливань (рис. 1.1). В моделі твердого тіла Ейнштейна енергію кристала, який містить N атомів, записують так:
У виразі (1.6) введено температуру Ейнштейна
(1.7)
щ
о відповідає збудженню фононів частоти ωf, кількість яких експоненціально зменшується із зниженням температури.
Рис. 1.1
В моделі твердого тіла Ейнштейна вважається, що кожен атом коливається незалежно від інших. Щоб врахувати зв'язок між сусідніми атомами, П. Дебай (1912 р.) розглянув тверде тіло як суцільне пружне середовище. В такій моделі внутрішня енергія твердого тіла пов'язується не з коливаннями окремих атомів, а з стоячими пружними хвилями (модами). Квант коливальної енергії твердого тіла (фонон) переміщується з швидкістю звуку, оскільки власне звукові хвилі пружні. З рис. 1.1 видно, що для всіх значень хвильового числа q ωак < ωоп, Де ωак — частоти акустичних коливань, що відповідають нижній вітці (раніше позначали ω_), а ωоп — частоти оптичних коливань раніше позначали (ω+). Енергетично це означає, що при досить низьких температурах у кристалі збуджені одні тільки акустичні коливання. Через велике число атомів спектр цих коливань можна вважати практично неперервним і таким, що змінюється від ω = 0 до ω1 (рис. 1.1).
Якщо ввести характеристичну температуру (температура Дебая)
(1.8)
то при Т ≤ θd вкладом оптичних коливань в енергію кристала можна знехтувати.
Для деяких твердих тіл значення θd наведено в табл. 1.1.
Рівноважне число акустичних фононів з енергією ħω в комірці фазового простору об'ємом (2πħ)3 визначають зa формулою (1.4); число комірок фазового простору, що припадає на інтервал,
(1.9)
де V — об'єм кристала. Під фазовим простором системи розуміють 6N-вимірний простір узагальнених координат і узагальнених імпульсів системи.
Якщо вважати дисперсію акустичних частот, згідно з (1.8), лінійною функцією q і замінити три акустичні вітки коливань однією (що еквівалентно припущенню, за яким швидкість поширення трьох акустичних хвиль однакова), то (1.9) можна звести до вигляду
Характеристики
Тип файла документ
Документы такого типа открываются такими программами, как Microsoft Office Word на компьютерах Windows, Apple Pages на компьютерах Mac, Open Office - бесплатная альтернатива на различных платформах, в том числе Linux. Наиболее простым и современным решением будут Google документы, так как открываются онлайн без скачивания прямо в браузере на любой платформе. Существуют российские качественные аналоги, например от Яндекса.
Будьте внимательны на мобильных устройствах, так как там используются упрощённый функционал даже в официальном приложении от Microsoft, поэтому для просмотра скачивайте PDF-версию. А если нужно редактировать файл, то используйте оригинальный файл.
Файлы такого типа обычно разбиты на страницы, а текст может быть форматированным (жирный, курсив, выбор шрифта, таблицы и т.п.), а также в него можно добавлять изображения. Формат идеально подходит для рефератов, докладов и РПЗ курсовых проектов, которые необходимо распечатать. Кстати перед печатью также сохраняйте файл в PDF, так как принтер может начудить со шрифтами.















