150115 (621218), страница 2
Текст из файла (страница 2)
Тут множник 3 відповідає трьом акустичним модам (одній поздовжній і двом поперечним), а v — середня швидкість поширення звуку.
Таблиця 1.1
Температури плавлення, Дебая, Фермі і теплоємність
деяких твердих тіл
| Кристал | Густина 1), 103 кг/м3 | Тпл | θD, К | θF, К | Ср, Дж/ (моль•К) |
| Ne | 1,503 (10 К) | 25,4 | 63 | — | 20,79 |
| Ar | 1,656 (40 К) | 83,9 | 85 | — | 20,79 |
| C (алмаз) | 3,516 | сублімується | 1860 | — | 6,12 |
| Ge | 5,324 | 1231 | 366 | — | 23,4 |
| Na | 0,966 | 370,9 | 150 | — | 28,12 |
| K | 0,862 | 336,3 | 10 | — | 29,51 |
| Cu | 8,933 | 1356 | 344,4 | 8,12•104 | 24,47 |
| Au | 19,281 | 1336 | 161,6 | 6,39•104 | 25,38 |
| NaCl | 2,167 | 1074 | 321,9 | — | 50,79 |
| KBr | 2,75 | 1003 | 152,8 | — | 51,51 |
1) Дані для 293 К
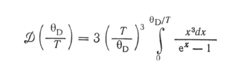
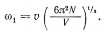
Вираз (1.10) можна спростити, якщо врахувати умову, що загальне число коливань в трьох акустичних вітках дорівнює 3N, тобто числу ступенів вільності кристала, що містить N атомів:
= 3N. Звідси максимальна частота, що обмежує спектр нормальних акустичних коливань,
(1.11)
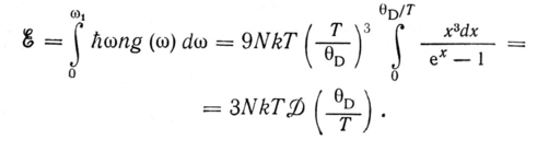
З урахуванням (1.4), (1.10) і (1.11) загальне число фононів в об'ємі V кристала і в інтервалі [ω, ω + dω] (що містить N атомів)
Відповідно повна енергія акустичних фононів в об'ємі
(1.12)
При одержанні (1.12) використано вираз (1.8) для температури Дебая, покладено х = ħω/kТ і введено функцію Дебая
(1.13)
При високих температурах суттєвим стає вплив оптичних коливань на значення фононної енергії кристала.
2. Нормальні процеси і процеси перебросу
Оскільки ħω – це квант енергії моди з частотою ω, то вираз
ω1 + ω2 = ω3 (2.1.а)
представляє собою закон збереження енергії для трифонного процесу. Мода, строго кажучи, не володіє механічним імпульсом як матеріальна частинка, проте величина ħq багато в чому схожа з імпульсом. Вираз
q1 + q2 = q3 + g (2.1.б)
при g = 0 якраз відповідає закону збереження імпульсу. Взаємодія, при якому g = 0, називається нормальним процесом, а взаємодію, при якій g ≠ 0, Пайерлс назвав процесом перебросу. На такі процеси ми посилатимемося як на N- і U-процеси відповідно.
Відмінність між N- і U-процесами можна проілюструвати за допомогою фігур, що зображають плоский поперечний перетин зони Бріллюена.
На рис. 2.1.а показаний вектор q3, що представляє суму векторів q1, і q2, які проведені з центру зони. На рис. 2.1.б і 2.1.в початкові вектори вибрані так, що їх сума, позначена через q'3 виходить за межі зони.
В одновимірному випадку лінійного ланцюжка було показано, що моди із значеннями q, що відрізняються на величину 2π/а, відповідають одним і тим же рухам атомів.
Аналогічно в тривимірному випадку атоми рухаються однаково, якщо значення q у мод відрізняються на вектор оберненої решітки; мода q'3 ідентична моді q3, що отримується збільшенням або відніманням до q'3 величин 2π/а (для випадку простої кубічної решітки).
У U-процесах, таким чином, векторні суми в різних частинах виразу (2.1.б) повинні відрізнятися на вектор g, якщо всі фонони представлені векторами, які лежать усередині першої зони Бріллюена.
Рис. 2.1. Двовимірне зображення трьох фононних процесів.
а – результуючий вектор q, лежить в межах зони Бріллюена – нормальний процес;
б – результуючий вектор q'3 виходить за межі зони Бріллюена – процес перекидання;
в – для прямокутної зони Бріллюена мінімальне значення q'3, при якому відбувається U-процес, залежить від орієнтації вектора q3.
Теплова енергія переноситься у напрямі групової швидкості фонона. У разі N-процесу напрям потоку енергії в моді q3. очевидно, співпадає з напрямом, в якому ефективно переноситься енергія модами q1 і q2. Насправді, якщо взаємодія між фононами здійснюється тільки шляхом N-процесів, то кристал має нескінченну теплопровідність. Після U-процесу теплова енергія передається в напрямі, абсолютно відмінному від напряму групової швидкості в моді q3. Такі істотні зміни q завжди приводять до відновлення рівноважного розподілу фононів.
3. Вплив N-процесів
Перш ніж обговорювати слабкий вплив N-процесів на теплопровідність, покажемо, що самі по собі N-процеси не приводять до кінцевої теплопровідності.
Спершу можна пояснити це твердження, провівши аналогію з перебігом газу в трубі. При зіткненнях молекул між собою виконуються закони збереження енергії та імпульсу, і тому ці зіткнення аналогічні N-процесам між фононами. Коли газ при нормальному тиску тече по трубі, його молекули постійно стикаються одна з одною і встановлюється добре відомий розподіл швидкостей, відповідний певній швидкості дрейфу. У реальній ситуації цей розподіл змінюється уздовж поперечного перетину труби, оскільки швидкість дрейфу міняється залежно відстані від осі труби. Якщо стінки труби знаходяться нескінченно далеко, або коли вони абсолютно гладкі, так що при зіткненнях молекули випробовують дзеркальне відображення, або якщо газ міститься в ящику, що проходить по трубі без тертя, то, хоча молекули як і раніше стикаються між собою, опір перебігу газу в трубі відсутній. За цих умов молекули мають певний розподіл швидкостей, який відрізняється від рівноважного розподілу Максвела – Больцмана, відповідного нульовому потоку, але яке не змінюється унаслідок молекулярних зіткнень.
Таким же чином, якщо тепло передається уподовж нескінченно великого ідеального кристала або якщо стінки кристала відображають фонони дзеркально, то N-процеси, що протікають із збереженням енергії та «імпульсу», не змінюють розподілу, який відповідає деякому потоку тепла. Цей розподіл відмінний від рівноважного розподілу Планка. Оскільки є розподіл фононів, що відповідає ненульовому потоку тепла, яке не змінюється внаслідок N-процесів, то N-процеси самі по собі не приводять до появи теплоопору.
Можна більш строго довести неефективність N-процесів за допомогою рис. 2.1.а, якщо припустити, що всі фонони мають однакові швидкості, паралельні q. Тоді ω = qυ і
У N-процесі бере участь по одному фонону з мод q1 і q2, так що
замінюється на q1 + q2. Після процесу
відповідає q3. Зміна h у такому випадку буде рівна
Потік тепла, отже, не змінюється при N-процесі.
Т
акий простий доказ справедливий у відсутність дисперсії, але насправді результат виявляється абсолютно загальним. Один із способів показати це – досліджувати вплив N-процесів на «зміщений» фононний розподіл, що задається формулою
(3.1)
У формулі (3.1) вектор u направлений так само, як і потік тепла, і представляє собою швидкість дрейфу. Розподіл відповідає рівноважному, але в системі координат, яка рухається з швидкістю u. Такий розподіл для одновимірного випадку показаний на рис. 3.1, так що з його асиметричного вигляду ясно, що існує потік тепла в праву сторону.
Вираз для швидкості зміни N(q) внаслідок N-процесів, отримане в теорії збурень, містить вірогідність процесу, при якому фонон цієї моди з'являється як кінцевий продукт взаємодії, а також вірогідність процесу, при якому відбувається зникнення фонона цієї моди і в результаті з'являються два інших фонона. Якщо розглянути процес, при якому q1 + q2 → q3, і відповідний зворотний процес, то швидкість зміни N(q1) визначається різницею між виразом від прямих процесів
і виразом від зворотних процесів
(такі вагові множники з'являються завжди в системах, що підкоряються статистиці Бозе – Ейнштейна).
Рис. 3.1. Одновимірний асиметричний розподіл фононів,













