150115 (621218), страница 4
Текст из файла (страница 4)
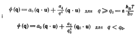
(4.2.1)
де функція
(q) повинна бути вибрана так, щоб мінімізувати цей опір.
Раніше було показано, що можна вибрати такий простий вид функції
(q), при якому перший або другий член в чисельнику звертається в нуль. Проте тепер при будь-якому виді
(q) один із членів у виразі (4.2.1) істотно відрізнятиметься від нуля. Дуже важко знайти точний вираз для
(q), який привів би до мінімального можливого значення W. Тому Шерд і Займан узяли правдоподібну комбінацію двох виразів для
(q). Оскільки швидкість релаксації при розсіянні на точкових дефектах стрімко збільшується із зростанням q, вони припустили, що починаючи з деякого значення q розподіл фононів визначається дефектами та N-процесами, що вносять внесок в
(q) незалежно один від одного. Для малих q точкові дефекти самі по собі приводять до сильного відхилення від рівноважного розподілу, причому передбачалося, що їх внесок в
(q) відповідає граничному значенню. Пробна функція, таким чином, була вибрана різною для двох інтервалів q.
Величина ε вважалася залежною від концентрації дефектів, але не залежною від температури. Шляхом варіювання коефіцієнтів а0 і а4, а також величини ε знаходилося мінімальне значення теплового опору, який визначається виразом (4.2.1).
Можна очікувати, що інтервал значень q, в якому на фононний розподіл істотно впливають точкові дефекти, збільшується при зростанні швидкості релаксації за рахунок розсіяння на точкових дефектах. При цьому значення q0 і ε повинні зменшуватися. Обчислення Шерда і Займана показали, що для малих концентрацій ізотопічних «домішок» у фториді літію (теорія була спочатку розвинена для пояснення експериментів на таких кристалах) ε ≈ 3, але для кристалів із значним розсіянням на точкових дефектах ε < 0,5.
У своїй першій роботі по застосуванню простого релаксаційного методу Клеменс враховував N-процеси, припускаючи, що вони усувають розбіжність ефективного часу релаксації при малих q; час релаксації для фононів при q < kвT/ħυ рівний часу релаксації при q = kвT/ħυ = q0. Теплопровідність визначається виразами з урахуванням цієї зміни, так що інтеграл розбивається на дві частини: для значень q від 0 до q0 час релаксації постійний, але від q0 до qмакс він залежить від q звичайним способом.
Хоча може здатися, що процедура «обрізання», введена Клеменсом, неістотно відрізняється від методу Шерда і Займана, чисельні результати для багатьох випадків досить різні. Якщо переважають N-процеси, то рівноважний розподіл фононів порушується в широкій області q і перший член в чисельнику виразу (4.2.1) стає великим. У межі, коли розподіл фононів головним чином визначається N-процесами, тепловий опір, обумовлений точковими дефектами, в 55 разів більше, ніж той, що дається формулою Клеменса, яка не враховує впливу N-процесів на розподіл фононів при q > kвT/ħυ. При концентрації точкових дефектів, відповідній значенню ε = 3, тепловий опір в 20 разів більше значення, яке обчислюється формулою Клеменса. З іншого боку, коли точкові дефекти значно важливіші і визначають розподіл навіть при значеннях q < ½ kвT/ħυ, є широка область фононів, для якої внеском першого члена у виразі (4.2.1) можна знехтувати, і тоді опір тільки трохи більший половини значення Клеменса.
2) N-процеси домінують за наявності резистивних процесів
У цьому граничному випадку передбачається, що розподіл фононів встановлюється тільки за рахунок N-процесів, а розсіяння на дефектах не міняє цього розподілу. У варіаційний вираз N-процеси, таким чином, не дають внеску. Для даного виду
(q) знаменник виразу можна записати в простій формі. Через те що
і
Знаменник має вигляд
де величина |u| прийнята рівною 1, оскільки u2 міститься і в чисельнику, і в знаменнику. Коли має місце ізотропне розсіяння і вірогідність P (q, q') залежить тільки від відносної орієнтації q та q', чисельник також набуває простій вигляд, і, замінюючи суму інтегруванням, його можна записати у такому вигляді
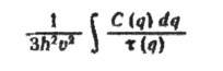
Тепловий опір тоді визначається формулою
яка співпадає з виразом Каллуея в тій же межі переважання N-процесів.
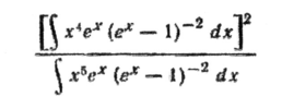
Слід відмітити, що якщо τ(q) ~ q-4, як у разі точкових дефектів, то й вираз для теплопровідності залишається кінцевим, оскільки інтеграл має
Вигляд
і сходиться на обох межах. Якщо розсіяння менш сильно залежить від q, наприклад τ(q) ~ q-1, то простий релаксаційний метод дає кінцеву теплопровідність; збільшення часу релаксації із зменшенням q не врівноважує зменшення внеску цих мод в теплопровідність, яка визначається енергією фононів і щільністю станів, пропорційною q2. Вираз для ϰ, отриманий простим релаксаційним методом, містить тоді
тоді як варіаційний вираз або формула Каллуея при домінуванні N-процесів містить
Всі ці інтеграли досягають граничних значень при дуже малих х, і відношення χрел/χNдом стає рівним 1,3. Як видно, резистивне розсіяння все ще грає важливу роль для малих значень q, але внесок від домінуючих N-процесів сильно не збільшує теплового опору.
3.3 Метод Гюйе і Крумхансла
Серед методів, заснованих на використанні рівняння Больцмана для фононів, заслуговує уваги робота Гюйе і Крумхансла по гідродинаміці фононів. Вона є порівняно раннім дослідженням загальних властивостей фононних систем. Передбачається, що розподіл фононів залежить від часу і координат. Зміна розподілу по ширині кристала, а також і уздовж його довжини при постійному температурному градієнті приводить до пуазейльовського протікання, тоді як зміна розподілу з часом дозволяє отримати другий звук, який є хвилевим процесом розповсюдження зміни N.
Розгляд ведеться з використанням операторної форми для рівняння Больцмана, і загальні результати виражаються через оператори зіткнень, причому розрізняються оператори для нормального розсіяння N* і для резистивного розсіяння R*. Вирішення рівняння Больцмана і, отже, виразу для потоку тепла і теплопровідності записуються через цих операторів, тому необхідно тільки виразити останні через швидкості релаксації
і
, щоб довести відповіді до числових результатів.
За умови N* > R*, відповідному
>>
, теплопровідність виходить та ж, що і визначувана другим членом виразу Каллуея; отже, вона співпадає з величиною, знайденою варіаційним методом при переважанні N-процесів. За умови R* > N*, відповідному
>>
, виходить той же вираз для теплопровідності, що і при простому релаксаційному методі; тут вона також співпадає з першим членом у виразі Каллуея.
Гюйе і Крумхансл приводять вираз, справедливий для всього інтервалу відносних значень
і
:
(4.3.1)
де
а
– таке ж середнє для [τR(х)]-1. Величина S рівна
/
і називається чинником перемикання. Якщо
<<
, тo величина S велика і в дужках виразу (3.3.1) найбільш важливий член
. Peзистивні процеси тоді переважають, і теплопровідність виходить така ж, як при використанні простого релаксаційного методу. У разі τR >> τN величина S мала і головну роль грає член
-1. Нормальні процеси визначають розподіли фононів, і вираз для теплопровідності співпадає з формулою Займана і Каллуея для цього граничного випадку, а тепловий опір аддитивний.
У проміжній області відносних значень τR і τN швидкості розсіяння, що отримуються при аналізі експериментів за допомогою виразів Каллуея і Гюйе – Крумхансла, дуже близькі, але погодження дещо гірше, якщо
≈
-1.
висновки
Одним з ефектів, що обумовлений ангармонічним характером коливань атомів, є тепловий опір твердих тіл. Він не міг б виникнути, якби атоми здійснювали строго гармонійні коливання, що розповсюджуються в решітках у вигляді системи пружних хвиль, що не взаємодіють між собою. Відсутність взаємодії між хвилями дозволяла б їм розповсюджуватися в кристалі не розсіваючись, тобто не зустрічаючи ніякого опору, подібно до розповсюдження світла в порожнечі.
Якби в такому кристалі можна було створити різницю температур, то атоми гарячого кінця, що коливаються з великими амплітудами, передавали б свою енергію сусіднім атомам і фронт теплової хвилі розповсюджувався б уздовж кристала із швидкістю звуку. Оскільки ця хвиля не зустрічала б ніякого опору, то навіть при нескінченно малій різниці температур тепловий потік міг би досягати якої завгодно великої величини; теплопровідність такого кристала була б нескінченно великою.
У реальних кристалах при не дуже низьких температурах коливання атомів носять ангармонічний характер. Поява ангармонічності призводить до того, що нормальні коливання решіток втрачають незалежний характер і при зустрічах взаємодіють один з одним, обмінюючись енергією і змінюючи напрям свого розповсюдження (розсіваючись один на одному). Саме внаслідок протікання таких процесів взаємодії пружних хвиль стає можливою передача енергії від коливань однієї частоти до коливань іншої частоти і встановлення в кристалі теплової рівноваги.
Опис процесу розсіяння нормальних коливань один на одному зручно вести на мові фононів, розглядаючи термічно збуджений кристал як ящик, заповнений фононами. У гармонійному наближенні, в якому нормальні коливання решіток є незалежними, фонони утворюють ідеальний газ (газ невзаємодіючих фононів). Перехід до ангармонічних коливань еквівалентний введенню взаємодії між фононами, в результаті якої можуть відбуватися процеси розщеплювання фонона на два і більш і утворення одного фонона з двох. Такі процеси прийнято називати фонон-фононним розсіянням.
Всі процеси розсіяння, внаслідок якого розподіл фононів прагне до рівноважного, прямо впливають на теплопровідність. Для більшості процесів інтенсивність розсіяння залежить від частоти фононів, і N-процеси грають важливу роль, перерозподіляючи енергію між різними модами і тим самим перешкоджаючи сильному відхиленню від рівноважної населеності в кожній моді. Взагалі кажучи, важко виділити внесок від N-процесів, і необхідний досить докладний аналіз експериментальних результатів, щоб зрозуміти, як позначаються N-процеси на теплопровідності. Проте у ряді випадків їх вплив дуже істотний.
список використаної літератури
-
Берман Р. Теплопроводность твердых тел. – М.: Высшая школа, 1979.
-
Бушманов Б.Н., Хромов Ю.А. Физика твердого тела. – Учебн. пособие для втузов. – М.: Высшая школа, 1975. – 224 с.
-
Епифанов Г.И. Физика твердого тела. Учеб. пособие для втузов. – Изд. 2-е, перераб. и доп. – М.: Высшая школа, 1979. – 288 с.
-
Жданов Г.С. Физика твердого тела. – М.: МГУ, 1971.
-
Займан Дж. Принципы теории тевердого тела. – М.: «Мир», 1976.
-
Киттель Ч. Введение в физику твердого тела. – М.: Физматгиз, 1973.
-
Китель Ч. Элементарная физика твердого тела. – М.: «Наука», 1985.
-
Курик М.В., Цмоць В.М. Фізика твердого тіла. – К.: Вища школа. Головне видавництво, 1985. – 246 с.
-
Мартон К., Смит. Основы физики металлов. – М.: Металлургиздат, 1972.
-
Най Дж. Физические свойства кристаллов. – М., ИЛ, 1986.
-
Полежаев Ю.В. Теплопроводность. Физич. словарь. Т. 5. – 1987.
-
Спроул Р. Современная физика. – М.: Физматгиз, 1981.
-
Твердое тело. Структура и свойства. – М.: «Знание», «Физики и физике», 1972.
-
Уэрт Ч., Томсон Р. Физика твердого тела. – М.: «Мир», 1986.















