150115 (621218), страница 3
Текст из файла (страница 3)
на який не впливають N-процеси.
Розподіл відповідає потоку тепла вправо. Воно описується формулою (2.1) при u = 0,1 ω/q, Т = 100К. По ординаті відкладено число фононів на одиничний інтервал q.
Якщо підставити формулу (3.1) для N(q) в ці два вирази і взяти їх різницю, то просте обчислення приводить до результату:
він визначає швидкість зміни N(q1). Якщо умови (2.1) справедливі при g = 0, тобто мають місце тільки N-процеси, то видно, що швидкість зміни N(q1) перетворюється в нуль. Для всіх пар значень q2 і q3, які можуть брати участь в N-процесах, виходить той же результат, як при процесах q1 → q2 + q3, що впливають на число фононів q1. Зміщений фононний розподіл, що визначається формулою (3.1) і відповідає ненульовому потоку тепла, таким чином, не змінюється внаслідок N-процесів.
Той же результат можна отримати і за допомогою варіаційного принципу. Для трифононних N-процесів чисельник перетвориться на вигляд:
(3.2)
Якщо записати
(3.3)
де u' – довільний вектор, то чисельник міститиме вираз (q1 + q2 – q3) • u', яке обертається на нуль, якщо q1 + q2 = q3. При такій пробній функції тепловий опір обертається на нуль, що, звичайно, відповідає мінімуму. Таким чином, за допомогою варіаційного принципу знову знаходимо, що у випадку тільки N-процесів теплопровідність нескінченна.
Легко показати, що для малих відхилень від рівноваги вираз для N(q), отримуване за допомогою формули (3.3), співпадає з формулою (3.1). З формули (2.1) маємо
д
ля випадку, коли мало, можна написати
Підставляючи , знаходимо
Обидва ці вирази співпадають, якщо ħu = u'. Значення u і u' довільні й визначаються величиною потоку тепла; для заданого потоку тепла відхилення від рівноважного розподілу співпадають в обох випадках.
Не слід думати, проте, що оскільки N-процеси самі по собі не приводять до появи теплового опору, то ними можна зовсім нехтувати. Вони можуть істотно впливати на теплопровідність, якщо інтенсивності інших процесів розсіяння залежать від частоти; у такій ситуації N-процеси заважають модам, які розсіюються внаслідок цих процесів, «зноситися» потоком тепла. Багато зусиль було витрачено для того, щоб пояснити, як N-процеси спільно з процесами, які приводять до опору, визначають теплопровідність.
4. ОБЛІК НОРМАЛЬНИХ ПРОЦЕСІВ
4.1 Релаксаційний метод
У простій формі релаксаційного методу передбачається, що кожен механізм розсіяння характеризується часом релаксації, який для даної моди не залежить від населеності фононів у всіх інших модах. Якщо є декілька механізмів розсіяння, то швидкості
,
, ... складаються і сумарний час релаксації τ(х), визначається виразом
Цей вираз стає, звичайно, складнішим, якщо не користуватися спрощуючими припущеннями теорії Дебая про відсутність дисперсії і квадратичний закон для щільності мод: f(ω) ~ ω2.
Оскільки N-процеси самі по собі не приводять до встановлення рівноважного розподілу фононів, то вони не можуть входити в суму для τ(х) на тих же підставах, що і процеси, що ведуть до встановлення рівноваги (резистивне розсіяння). Проте ними не можна нехтувати, оскільки, перерозподіляючи енергію між модами, вони роблять відчутним для всіх мод наявність резистивних процесів розсіяння, залежних від частоти.
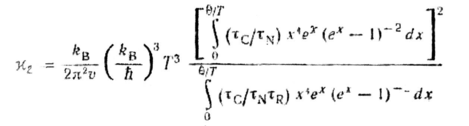
Для аналізу експериментальних даних по теплопровідності широко використовується розгляд Каллуея. Він припустив, що N-процеси переводять будь-який розподіл фононів, що відповідає деякому потоку тепла, в розподіл, визначуваний формулою (3.1), відповідний тому ж потоку тепла і далі вже не змінний внаслідок N-процесів. Час релаксації для таких процесів є τN (для простоти залежність часу релаксації від q, поляризації і температури не указується). Повна швидкість зміни N(q) дається тоді виразом
де у величину τR вносять внесок тільки процеси, що приводять до встановлення рівноважного розподілу N0(q). У моделі Дебая Каллуей, ввівши комбінований час релаксації
, отримав наступний вираз для теплопровідності:
(4.1.1)
де
(4.1.1.а)
(4.1.1.б)
Цей результат, як видно, знаходиться відповідно до твердження про те, що нормальні процеси впливають на теплопровідність, але трохи інакше, ніж чисто резистивні процеси. У формулу для ϰ1 нормальні процеси входять на тих же підставах, як і інші процеси, оскільки між ними не робиться ніякої відмінності у виразі для τС. Тому зазвичай вважається, що ϰ1 дає занижену оцінку теплопровідності, проте є другий член ϰ2, який декілька заповнює її «втрату».
Для пояснення експериментальних результатів часто необхідно користуватися повною формулою (4.1.1); обчислення, проте, дуже громіздкі, і корисно розглянути загальні результати, які виходять в трьох граничних випадках.
1) Випадок переважання резистивного розсіяння
Для кристала з великою кількістю дефектів всі моди сильно розсіваються унаслідок резистивних процесів; тоді для всіх мод τN >> τR , отже, τC ≈ τR. У такому разі ϰ2 << ϰ1 (якісно це можна зрозуміти, припустивши, що всі часи релаксації не залежать від частоти, тому при порівнянні ϰ1 та ϰ2 інтеграли скорочуються і ми маємо ϰ2/ ϰ1 = τR/τN << 1). Пізніше буде видно, що це порівняльно простий вираз придатний для аналізу експериментальних даних по теплопровідності не дуже ідеальних кристалів.
2) Випадок переважання N-процесів за наявності резистивного розсіяння
В цьому випадку час релаксації τC головним чином визначається N-процесами; тоді τR >> τN і τC ≈ τN. Звідси легко побачити, що ϰ2 >> ϰ1 (якісно це можна зрозуміти, припустивши незалежність часів релаксації від частоти, і отримати ϰ/ϰ1 = τR/τN >> 1). Для коефіцієнта теплопровідності тоді маємо
Перш за все дивно, що формула (4.1.2), яка визначає теплопровідність у разі переважання N-процесів, не містить τN. Проте N-процеси впливають на розподіл фононів і приводять його до форми (3.1). Коли N-процеси грають домінуючу роль, розподіл фононів стає «зміщеним» і не залежить від інтенсивності N-процесів. Тепловий опір виникає внаслідок резистивних процесів, що діють на цей розподіл.
Інший цікавий аспект формули (4.1.2) видно, якщо з її допомогою записати тепловий опір:
Для певного кристала при заданій температурі знаменник виразу (4.1.3) постійний. Оскільки
– сума швидкостей розсіяння для всіх типів резистивних процесів, то видно, що
, де Wi – тепловий опір, відповідний кожному резистивному процесу i, що діє окремо, але за умови переважання N-процесів. У загальному випадку тепловий опір неаддитивний, оскільки у формулі для ϰ1 швидкості релаксації складаються в знаменнику інтеграла (комбінований релаксаційний час міститься в чисельнику), а, крім того (за винятком розглянутого тут граничного випадку), формула для ϰ2 дуже складна і не приводить до такого простого результату.
П
редставляючи функції від ϰ, що входять в (4.1.3), через С(ϰ) і повну теплоємність С і проводячи прості арифметичні дії, запишемо вираз (4.1.3) у вигляді
(4.1.4.а)
Слід порівняти вираз (4.1.4.а) з виразом для теплопровідності, отриманим релаксаційним методом у відсутність N-процесів. В цьому випадку час релаксації кожної моди множиться на її внесок в теплоємність, а потім інтегрується по всіх модах для отримання теплопровідності. Якщо ж переважають N-процеси, то швидкість релаксації кожної моди множиться на її внесок в теплоємність і після інтеграції виходить повний тепловий опір. В останньому випадку квадрат теплоємності в знаменнику виразу (4.1.4.а) приводить до теплового опору, зворотного теплоємності, і до теплопровідності, пропорційній першому ступеню теплоємності.
Оскільки υτ = l. можна у вираз (4.1.4.а) ввести середню довжину вільного пробігу:
(4.1.4.б)
Варіаційний метод у разі переважання N-процесів дає той же результат, тобто вирази (4.1.4.а) і (4.1.4.б).
Існує серія експериментів, в яких досліджувався вплив дефектів, причому для пояснення їх можна прямо застосувати розглянуту тут теорію.
У одному випадку метод Каллуея не знаходить застосування. Якщо резистивне розсіяння має місце тільки на межах кристала, а N-процеси відбуваються достатньо часто, то у виразі (4.1.4.а) не можна представляти значення υ/D для
(D – відповідний лінійний розмір кристала). Якщо проте це зробити, то отримаємо
Останній вираз представляє якраз опір внаслідок розсіяння на межах у відсутність N-процесів, а отже, виходить, що N-процеси в даному випадку не грають ніякої ролі. Насправді для цієї спеціальної комбінації розсіяння теплопровідність перевищує величину теплопровідності, отриману при розсіянні на межах у відсутність N-процесів, в число разів, рівне швидкості релаксації для N-процесів.
3) Випадок наявності тільки N-процесів
Оскільки на практиці досяжні тільки два попередні граничні випадки, тут ми покажемо, що в даному випадку результат виходить правдоподібним. Припустимо, що резистивні процеси відсутні зовсім, тому τ → ∞ і τС = τN. Знаменник ϰ2 тоді обертається на нуль, і ϰ2 → ∞, тобто отримуємо нескінченну теплопровідність, що і потрібно було довести.
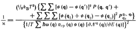
3.2 Варіаційний метод
Якщо розсіяння відбувається як внаслідок резистивних процесів, так і внаслідок N-процесів, чисельник варіаційного виразу для теплового опору складається з сум або інтегралів, відповідних кожному механізму розсіяння; для двох випадків маємо два вирази. Хоча при тих обставинах, яким відповідають чисельники цих виразів, можна точно отримати 1/ϰ = О, проте не можна написати простий вираз для теплового опору в загальному випадку, коли діють спільно декілька типів резестивного розсіяння, а також існують (або не існують) N-процеси. Ідея розгляду буде продемонстрована на прикладі методу Шерда і Займана для обчислення теплопровідності при розсіянні на точкових дефектах і наявності N-процесів. Розгляд приводить до тих же результатів, що і метод Каллуея.
1) Резистивні процеси і N-процеси однаково важливі
Для ілюстрації варіаційного розгляду в цьому загальному випадку передбачається, що резистивне розсіяння відбувається тільки на точкових дефектах; тим самим зменшується число членів, які потрібно враховувати. Це припущення було використане Шердом і Займаном для пояснення експериментальних результатів по розсіянню фононів ізотопічними «домішками».
Для випадку, коли пружне розсіяння на точкових дефектах відбувається одночасно з N-процесами, варіаційний вираз для теплового опору має вигляд















