50453 (610132)
Текст из файла
Размещено на http://www.allbest.ru/
КУРСОВОЙ ПРОЕКТ
по дисциплине
«Программирование на языке высокого уровня»
на тему:
«Создание программы для определения вершин пирамиды с выпуклым основанием по данным точкам»
Введение
Целью данного проекта – является закрепление материала, изложенного в курсе «Программирование на языке высокого уровня» на основе какой-либо обобщающей задачи. В качестве таковой была выбрана задача определения пирамиды с выпуклым основанием по данным N точкам.
Данная задача предполагает укрепление знаний в линейной алгебре и закрепление их в виде решения поставленной задачи на языке высокого уровня(Pascal)
Постановка Задачи
Разработать подпрограмму для определения вершин пирамиды с выпуклым основанием по данным точкам.
Создание демонстрационной программы для показа найденного решения. А так же создание библиотеки для работы с векторами в пространстве.
Теоретические сведения
Векторы
Вектором называется направленный отрезок.
У вектора есть начало и есть конец. Обозначается вектор строчными латинскими буквами a, b, c, ... или указанием его начала и конца, на первом месте всегда указывается начало. На чертежах вектор отмечается стрелкой. Иногда слово «вектор» не пишут, а ставят стрелочку над буквенным обозначением.
Вектор AB, AB, a
Вектор AB и вектор CD называются одинаково направленными, если полупрямые AB и CD одинаково направлены
Вектор AB и вектор CD называются противоположно направленными, если полупрямые AB и CD противоположно направлены.
a и b одинаково направленные.
a и c противоположно направленные.
Абсолютной величиной вектора называется длина отрезка, изображающего вектор. Обозначается как |a| .
Вектором в пространстве называется направленный отрезок.
Координатами вектора с началом в точке A1(x1; y1; z1) и концом в точке A2(x2; y2; z2) называются числа x2-x1, y2-y1, z2-z1. Вектор обозначается в пространстве так:
Есть вектора a. Пусть A (x; y) – начло вектора, а A` (x`; y`) – конец вектора. Координатами вектора a называются числа a1=x-x`, a2=y-y`. Для обозначения того, что вектор a имеет координаты a1 и a2, используют запись a (a1; a2) или (a1; a2).
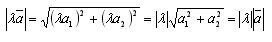
Абсолютная величина вектора a (a1; a2) равна
Если начало вектора совпадает с его концом, то это нулевой вектор , обозначается (0).
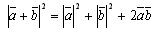
Сложение векторов
Суммой векторов a(a1; a2) и b(b1; b2) называется вектор c(a1+b1; a2+b2).
Для любых векторов a(a1; a2), b(b1; b2), c(с1; с2) справедливы равенства:
Теорема Каковы бы ни были три точки A, B и C, имеет место векторное равенство
Доказательство.
Пусть A(x1; y1), B(x2; y2), C(x3; y3) – данные три точки.
Вектор AB имеет координаты (x2 – x1; y2 – y1), вектор BC имеет координаты (x3 – x2; y3 – y2). Следовательно, вектор AB + BCимеет координаты (x3 – x1;y3 – y1). А вектор AC имеет координаты (x3 – x1;y3 – y1). Значит, AC = AB+ BC. Теорема доказана.
Сложение векторов. Правило параллелограмма
Правилом параллелограмма сложения векторов называется следующий способ:
Пусть есть векторы AB и AC у которых начало вектора совпадает, а концы не совпадают
Достроим данный угол до параллелограмма, так что AC = BD и AB = CD.
Тогда AB + BD = AD, а так как BD = AC, то AB + AC = AD
Сложение векторов. Правило треугольника
Правилом треугольника сложения векторов называется следующий способ:
Пусть есть произвольные векторы a и b. Надо от конца вектора a отложить вектор b`, равный вектору b. Тогда вектор, начало которого совпадает с началом вектора a, а конец совпадет с концом вектора b`, будет суммой a + b.
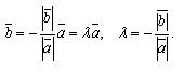
Свойство умножения вектора на число
Теорема
Абсолютная величина вектора λa равна |λ| |a|. Направление вектора λa при a≠ 0 совпадает с направлением вектора a, если λ>0, и противоположно направлению вектора a, если λ<0.
Доказательство.
Построим векторы OA и OB равные a и λa соответственно (O – начало координат). Пусть a1 и a2 – координаты вектора a. Тогда координатами точки A будут числа a1 и a2 координатами точки B – числа λa1 и λa2. Уравнение прямой OA имеет вид: αx + βy = 0.
Так как уравнению удовлетворяют координаты точки A (a1; a2), то ему удовлетворяют и координаты точки B (λa1; λa2). Отсюда следует, что точка B лежит на прямой OA. Координаты c1 и c2 любой точки C, лежащей на луче OA, имеют те же знаки, что и координаты a1 и a2 точки A, и координаты любой точки, которая лежит на луче, дополнительном к OA, имеют противоположные знаки.
Поэтому, если λ > 0, то точка B лежит на луче OA, а следовательно, векторы a и λa одинаково направлены. Если λ < 0, то точка B лежит на дополнительном луче и векторы a и λa противоположно направлены.
Абсолютная величина вектора λa равна:
Теорема доказана.
Теорема
Равные векторы имеют равные соответствующие координаты.
Доказательство
Рассмотрим два случая: 1) векторы не лежат на одной прямой.
Пусть есть вектор a с началом в точке A (x; y) и концом в точке A` (x`; y`). При параллельном переносе получаем вектор b, у которого тогда начало будет в точке B(x+c; y+d), а конец в точке B`(x`+c; y`+d). Отсюда видно, что оба вектора будут иметь одни и тебе координаты (x-x`; y-y`).
2) векторы лежат на одной прямой.
Пусть есть прямая l на которой лежат равные векторы AA` и BB`. A(x; y), A`(x`; y`), B(x1;y1) и B(x1`; y1`). Проведем прямую l1 параллельную l и отложим на ней вектор CD равный AA` и BB`, C (x0; y0) и D (x0`; y0`). Так как AA` = CD, из предыдущего пункта x-x`=x0-x0` и y-y`=y0-y0`. С другой стороны BB` = CD и x1-x1`=x0-x0`, y1-y1`=y0-y0`. Сравнивая равенства получаем x-x`=x1-x1` и y-y`=y1-y1`. Теорема доказана.
Произведение вектора a(a1; a2) на число λ называется вектор (λa1; λa2), т.е. (a1; a2) λ = (λa1; λa2).
Для любого вектора a и чисел λ, μ
Для любого вектора a и b и числа λ
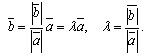
Коллинеарный вектор
Два ненулевых вектора называются коллинеарными, если они лежат на одной прямой или на параллельных прямых. Коллинеарные векторы либо одинаково направлены, либо противоположно направлены.
Коллинеарный вектор. Свойства
Теорема
Если есть два отличных от нуля коллинеарных вектора, то существует число λ такое, что
Доказательство.
Пусть a и b одинаково направлены.
- это векторы, которые одинаково направлены и имеют одну и ту же абсолютную величину |b|. Значит, они равны:
Когда векторы a и b противоположно направлены аналогично заключаем, что
Теорема доказана.
Теорема
Любой вектор с можно представить в виде
Скалярным произведением векторов a (a1; a2) и a (b1; b2) называется число a1b1+a2b2.
Для любых векторов a (a1; a2), b (b1; b2), c (с1; с2)
Углом между ненулевыми векторами AB и AC называется угол ABC. Углом между любыми двумя ненулевыми векторами a и b называется угол между равными им векторами с общим началом.
Скалярное произведение. Свойство
Теорема
Скалярное произведение векторов равно произведению их абсолютных величин на косинус угла между ними.
Доказательство.
Пусть a и b – данные векторы и φ – угол между ними. Имеем:
или
Скалярное произведение ab таким образом, выражается через длины векторов a, b и a + b т. е. систему координат можно выбрать любую, а величина скалярного произведения не изменится. Выберем систему координат xy так, чтобы начало координат совпало с началом вектора a, а сам вектор лежал на положительной полуоси оси Ox. Тогда координатами вектора a будут числа |a| и 0, а координатами вектора a – |a| cos φ и |a| sin φ . По определению
Теорема доказана.
Из теоремы следует, что если векторы перпендикулярны, то их скалярное произведение равно нулю.
Плоскость, многоугольники
Плоскость
Теорема
Через прямую и не лежащую на ней точку можно провести плоскость, и при том только одну.
Доказательство
Пусть AB – данная прямая и С – не лежащая на ней точка. Проведем через точки A и С прямую. Прямые AB и AC различны, так как точка С не лежит на прямой AB. Проведем через прямые AB и AC плоскость α. Она проходит через прямую AB и точку С.
Докажем, что плоскость α, проходящая через прямую AB и точку С, единственна.
Допустим, существует другая, плоскость α.`, проходящая через прямую AB и точку С. По аксиоме о том, что если две различные плоскости имеют общую точку, то они пересекаются по прямой, проходящей через эту точку, плоскости α и α` пересекаются по прямой. Эта прямая должна содержать точки A, B, C. Но они не лежат на одной прямой. Что противоречит предположению. Теорема доказана.
Выпуклый многоугольник
Ломаная называется замкнутой, если ее концы соединены отрезком.
Если все звенья простой замкнутой ломаной не лежат на одной прямой, то это многоугольник. Тогда точки ломанной называются вершинами многоугольника, а звенья – сторонами многоугольника.
Многоугольник с n вершинами, называется n-угольником.
Многоугольник называется выпуклым, если он лежит в одной полуплоскости относительно любой прямой, содержащей его сторону.A1A2A3A4A5A6A7 – выпуклый многоугольник.
B1B2B3B4B5 – невыпуклый многоугольник.
Выпуклые многоугольники. Свойство
Теорема.
Сумма углов выпуклого n-угольника равна 180°*(n-2).
Доказательство.
Нужно заметить, n ≥ 3.
Для n = 3 многоугольник превращается в треугольник и теорема справедлива.
Для n > 3 проведем n-3 диагонали: A2An, A3An, …, An-1An. Получим n-2 треугольника: Δ A1A2An, Δ A2A3An, …, An-2An-1An. Сумма углов всех треугольников равна сумме углов многоугольника. Так как сумма углов треугольнике равна 180 ° и число треугольников равно n – 2, то сумма всех углов многоугольника равна 180° * (n - 2). Теорема доказана.
ОПИСАНИЕ ОБЩЕГО АЛГОРИТМА
Пункт1.Пользователь вводит N точек.
0>Характеристики
Тип файла документ
Документы такого типа открываются такими программами, как Microsoft Office Word на компьютерах Windows, Apple Pages на компьютерах Mac, Open Office - бесплатная альтернатива на различных платформах, в том числе Linux. Наиболее простым и современным решением будут Google документы, так как открываются онлайн без скачивания прямо в браузере на любой платформе. Существуют российские качественные аналоги, например от Яндекса.
Будьте внимательны на мобильных устройствах, так как там используются упрощённый функционал даже в официальном приложении от Microsoft, поэтому для просмотра скачивайте PDF-версию. А если нужно редактировать файл, то используйте оригинальный файл.
Файлы такого типа обычно разбиты на страницы, а текст может быть форматированным (жирный, курсив, выбор шрифта, таблицы и т.п.), а также в него можно добавлять изображения. Формат идеально подходит для рефератов, докладов и РПЗ курсовых проектов, которые необходимо распечатать. Кстати перед печатью также сохраняйте файл в PDF, так как принтер может начудить со шрифтами.
















