151064 (598906), страница 5
Текст из файла (страница 5)
В случае неоднородного поля:
, и энергия электрического поля в объеме V:
Энергия заряженного конденсатора
Энергия электрического поля плоского конденсатора, как следует из (12), равна
,
здесь V=Sd - объем конденсатора.
Из (7) для однородного поля следует, что
здесь разность потенциалов φ1 - φ2 обозначена буквой U. В результате для энергии электрического поля получим:
.
Эта формула верна для конденсаторов любой формы. Таким образом, энергия заряженного конденсатора:
здесь
С - емкость конденсатора, U - разность потенциалов на его обкладках.
Электрическое поле в диэлектрике
Диэлектрик
Заряды, входящие в состав молекул диэлектрика, прочно связаны друг с другом и под действием внешнего поля могут лишь немного смещаться в противоположные стороны.
Два типа диэлектриков - полярные и неполярные
Полярные - центры "+" заряда и центры "-" заряда смещены, например, в молекуле воды H2O.
Модель полярного диэлектрика жесткий диполь:
Дипольный момент молекулы:
.
Неполярные диэлектрики - центры распределения "+" и "-" зарядов совпадают, молекула (атом) симметричны. Например, атом водорода. У него в отсутствии поля центр распределения отрицательного заряда совпадает с положением положительного заряда. При включении поля положительный заряд смещается в направлении поля, отрицательный - против поля:
Дипольный момент этого диполя пропорционален электрическому полю
.
Поляризованность диэлектрика (вектор поляризации) - это дипольный момент единицы объема:
- дипольный момент одной молекулы.
У диэлектриков любого типа
α - диэлектрическая восприимчивость (безразмерная величина).
Пластина диэлектрика в плоском конденсаторе
На следующих рисунках изображен плоский конденсатор без диэлектрика (рис. а) и с диэлектриком (рис. б). В конденсаторе без диэлектрика поле E0 создается свободными зарядами, т. е. зарядами, находящимися на пластинах конденсатора. В конденсаторе с диэлектриком поле E в объеме, занятом диэлектриком, является разностью двух полей: поля свободных зарядов (E0) и поля связанных зарядов (E'):
Поле в диэлектрике
Выразим σ' через вектор поляризации
(13.2)
- дипольный момент пластины диэлектрика,
- объем пластины.
Тогда
С другой стороны (13.2),
В результате
откуда: поле в однородном и изотропном диэлектрике
в 1 + α раз меньше, чем поле в вакууме Е0.
Обозначим
В однородном изотропном диэлектрике, свойства которого не зависят от направления в пространстве (изотропность), электрическое поле ослабляется в ε раз:
Эта формула справедлива для аморфных, некристаллических диэлектриков. В кристаллах ситуация значительно сложнее.
Постоянный электрический ток
Электрический ток - это упорядоченное движение электрических зарядов, в металле - электронов.
Ток, не изменяющийся со временем, называют постоянным.
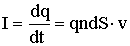
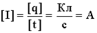
Сила тока
За время dt переносится заряд dq.
Единица силы тока - ампер.
Плотность тока
Связь плотности тока и скорости упорядоченного движения зарядов
Сила тока:
.
Плотность тока (2):
Вектор
направлен как и вектор
.
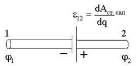
ЭДС источника
Для поддержания постоянного замкнутого тока при наличии сил, тормозящих движение носителей, необходимо компенсировать носителям заряда потери энергии, т.е. совершать над ними работу.
Работа электростатического поля (6.2) по замкнутой траектории:
φ1 = φ2, если траектория замкнута.
Следовательно, эту работу должны совершать силы неэлектрического происхождения, сторонние силы.
ЭДС - это
где q - заряд, над которым сторонние силы совершили работу Aст.сил.
Единица ЭДС - такая же, как и единица потенциала - вольт.
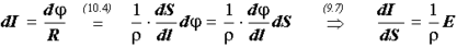
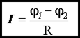
Закон Ома для участка цепи
R - сопротивление проводника.
Единица сопротивления - Ом.
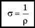
Для однородного проводника длиной l и сечением S:
ρ - удельное сопротивление (из таблиц).
Закон Ома в дифференциальной форме
Закон Ома (4) для элементарного объема проводника.
См. (7)
Используя (2) получим:
Закон Джоуля-Ленца в дифференциальной форме
Количество тепла, выделяемое в элементарном объеме с сопротивлением R при прохождении тока I в течении времени dt:
См. (2), (4), (5).
Закон Ома для неоднородного участка цепи
Неоднородный участок - участок, содержащий ЭДС.
dA12 переходит в джоулево тепло I2Rdt (6):
Закон Ома для неоднородного участка цепи:
МАГНЕТИЗМ
Магнитное поле в вакууме
Движущийся заряд - источник магнитного поля, индикатор магнитного поля - другой движущийся заряд
Проводник с током создает только магнитное поле, другой проводник с током реагирует только на магнитное поле
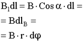
Рамка с током как регистратор магнитного поля. Вектор магнитной индукции
Вращающий момент (1)
Направление вектора
совпадает с направлением положительной нормали
к рамке.
Вектор
связан с направлением тока I правилом правого винта.
Линии магнитной индукции:
а) замкнуты, т.к. в природе нет магнитных зарядов;
б) вектор В направлен по касательной к линии магнитной индукции;
в) густота линий магнитной индукции пропорциональна модулю вектора
(сравните с 3.8).
Закон Био-Савара-Лапласа
Направление
плоскости , в которой лежит
и
и определяется правилом правого винта: винт установить
плоскости
и
и вращать от
к
, поступательное движение винта покажет направление
- магнитного поля, созданного элементом
проводника с током I.
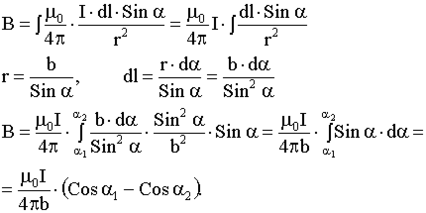
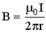
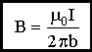
Применение закона Био-Савара-Лапласа для нахождения магнитного поля прямого тока
Независимо от положения
на проводнике все
направлены в одну сторону - от нас. Значит,
- без векторов!
Из 4:
Для бесконечного проводника α1 = 0, α2 = π, Сos α1 - Сos α2 = 2
Теорема о циркуляции вектора В
Циркуляция вектора В по произвольному контуру равна алгебраической сумме токов, охватываемых контуром, помноженной на μ0.
Циркуляция вектора
- это интеграл вида:
Циркуляция для плоского контура, охватывающего бесконечный прямой проводник с током
Ток за контуром
Формулировка теоремы о циркуляции
Пусть контур произвольной формы охватывает произвольное число токов. В этом случае теорема о циркуляции утверждает, что циркуляция вектора
по некоторому (произвольному!) контуру равна алгебраической сумме токов, охватываемых контуром, умноженной на μ, т.е.
















