151064 (598906), страница 4
Текст из файла (страница 4)
Здесь
- вектор нормали к поверхности S.
Поток вектора
через бесконечно малую площадку в неоднородном поле
Поток вектора
через произвольную поверхность в неоднородном поле
Поток пропорционален числу силовых линий
Ф пропорционален числу линий напряженности, проходящих через площадь S (3.3) и (3.8)
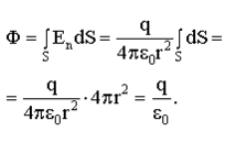
Поток вектора
через сферу (для поля точечного заряда).
Заряд - в центре сферы
На поверхности сферы поле постоянно по величине (3.7):
В любой точке сферы поле направлено перпендикулярно ее поверхности, т.е.
Мы получили, что:
Заряд в произвольном месте внутри сферы
Поток Ф пропорционален числу силовых линий, проходящих через сферу, а их число не изменяется при изменении положения заряда внутри сферы, т.е. поток тоже будет постоянным:
Поток вектора
поля точечного заряда через "измятую" сферу - произвольную поверхность
Число проходящих через "измятую" сферу силовых линий не изменилось, т.е.
Эта формула верна для потока вектора Е поля точечного заряда, расположенного ВНУТРИ замкнутой поверхности произвольной формы.
"Измятая" сфера:
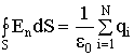
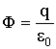
Поток вектора Е поля системы зарядов, находящихся внутри замкнутой поверхности
Поток вектора Е для поля, созданного зарядами, находящимися вне замкнутой поверхности
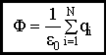
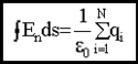
Формулировка теоремы Гаусса
Из (4.1.3)
, тогда теорема Гаусса запишется так:
Применение теоремы Гаусса для вычисления полей
Теорема Гаусса:
S - любая замкнутая поверхность,
- сумма зарядов внутри S. Применяя теорему Гаусса, мы должны:
а) САМИ выбрать конкретную гауссову поверхность S, такую, чтобы интеграл по этой поверхности легко считался. Затем найти
;
б) посчитать сумму зарядов внутри выбранной нами S;
в) приравнять результат полученный в пункте а), к результату, полученному в пункте б), деленному на ε0.
Поле равномерно заряженной бесконечной плоскости
а) выбор гауссовой поверхности: куда может быть направлено
- только по нормали к плоскости! Значит, S надо выбрать так, чтобы вектор
был либо параллелен ей (Еn=0), либо перпендикулярен (Еn=E).
Этим условиям удовлетворяет, например, "гауссов ящик", изображенный на рисунке.
б) считаем Σqi внутри "гауссова ящика": очевидно,
в) приравниваем результат, полученный в пункте а), к результату пункта б), деленному на ε0:
Поле равномерно заряженной бесконечной плоскости однородно.
Поле плоского конденсатора
Поле однородно заряженного бесконечного цилиндра
Применяя теорему Гаусса, получим:
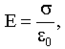
Поле однородно заряженной сферы
Поле объемного заряженного шара
- объемная плотность заряда q- суммарный заряд шара
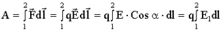
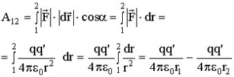
Работа электростатического поля
Из (5.3.2), (5.3.3):
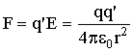
Работа электрического поля точечного заряда
Пусть Е создается точечным зарядом q, тогда из (3.7)
из (5.3.3):
Потенциал - энергетическая характеристика поля
Потенциал электростатического поля в точке r равен отношению потенциальной энергии пробного точечного заряда q', помещенного в данную точку, к величине этого заряда q'.
φ - не зависит от q'!
Единица потенциала - 1 вольт (1 В)
Разность потенциалов, связь с работой
φ1 - φ2 - разность потенциалов,
.
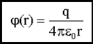
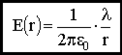
Потенциал поля точечного заряда
Из (5.1)
Из (.6.2)
Значит, потенциал поля, создаваемого точечным зарядом q:
здесь мы полагаем, что на бесконечности потенциал φ равен нулю.
Потенциал поля системы точечных зарядов
В общем случае:
здесь qi - алгебраические величины.
Электрон-вольт - внесистемная единица работы
Проводник в электрическом поле
Проводник. Заряды в проводнике способны перемещаться по его объему под действием сколь угодно малой силы (свободные заряды).
Чаще всего эти заряды - электроны, у них:
Масса электрона очень мала, поэтому электроны перемещаются очень быстро.
Так, при Е = 1 В/м расстояние S = 1 м электрон пройдет в вакууме за
В проводнике, из-за столкновений с ионами, средняя дрейфовая скорость электронов порядка 1мм/с, но скорость распространения электрического поля с=3·108 м/с.
Условия равновесия зарядов на проводнике
(объем проводника эквипотенциален)
На поверхности проводника на заряд может действовать сила, направленная по нормали к поверхности, т.е.
- на поверхности, сама поверхность (7), (.8) - эквипотенциальная.
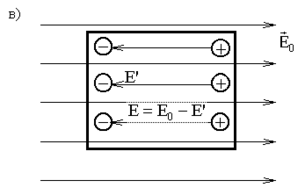
Проводник во внешнем электрическом поле
Мысленный опыт:
|
| Через очень малое время часть электронов сместится к левой грани параллелепипеда, на правой - положительные ионы. Перераспределившиеся заряды создают поле E', направленное навстречу E0. Когда величина E' сравняется с Е0, тогда результирующее поле в проводнике E = E0 - E' = 0, перераспределение электронов закончится. |
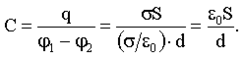
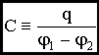
Электроемкость уединенного проводника
| Заряд q1 создаёт на уединённом проводнике потенциал φ1. | Заряд q2= 2q1 создаёт на том же проводнике потенциал φ2= 2φ1. |
Значит,
Таким образом:
С - электроемкость уединенного проводника.
Единица емкости - фарада, Ф.
Электроемкость конденсатора
Конденсатор - это два проводника, обычно плоской цилиндрической или сферической формы, расположенные на небольшом расстоянии друг от друга. Проводники, обкладки конденсатора, заряжают разноименными зарядами, равными по абсолютной величине:
.
Емкость конденсатора:
Электроемкость плоского конденсатора
Плоский конденсатор - это две плоские пластины расположенные на небольшом расстоянии друг от друга.
Поле плоского конденсатора было рассмотрено в разделе (4.4.2)
Из (11):
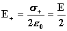
Энергия электрического поля
Напряженность поля пластины q+:
(4.4.2).
Работа по перемещению пластины q- (5.3.1):
См. (3.5)
Поле
в объеме ΔV исчезло, значит работа A12 совершена за счет убыли энергии поля:
.
В единице объема поля запасена энергия:
где
Плотность энергии электрического поля в вакууме
















