151064 (598906), страница 3
Текст из файла (страница 3)
. (1.28)
Изменение импульса служит мерой величины силы, действующей на тело в течение конечного промежутка времени. Численно величина импульса
. (1.29)
Рассмотрим тело или систему тел в отсутствие внешних сил. Система тел, на которую не действуют внешние силы (или векторная сумма этих сил равна нулю), является замкнутой. В этом случае F=0; как видно из уравнений (1.26) или (1.27),
, т.е. величина , (1.30)
остается постоянной во все время движения. Полученный результат представляет собой закон сохранения импульса, который имеет место как для одного тела, так и для системы тел в отсутствие внешних сил.
В отсутствие внешних сил сохраняется еще одна скалярная величина. Если умножить уравнение (1.26) одновременно слева и справа на вектор скорости, в левой части окажется производная от полного дифференциала, и уравнение примет вид
. (1.31)
Пусть F = 0. Тогда постоянной во время движения является величина
. (1.32)
Она называется кинетической энергией частицы. При отсутствии внешних сил, т. е. в замкнутой системе, сохраняется кинетическая энергия как в случае одного тела, так и для системы тел. Когда на частицу действует внешняя сила F, кинетическая энергия не остается постоянной. В этом случае согласно (1.31) приращение кинетической энергии за время dt равно скалярному произведению
. Величина dA =
— это работа, совершаемая силой F на пути dr .
Проинтегрируем соотношение (1. 31) вдоль некоторой траектории от точки 1 до точки 2:
.
Левая часть представляет собой приращение кинетической энергии на пути между точками 1 и 2, а величина
(1.33)
есть работа силы на пути 1—2.
Таким образом, работа сил, действующих на частицу, расходуется на изменение ее кинетической энергии:
. (1.34)
Соответственно, изменение кинетической энергии частицы служит мерой работы, произведенной над частицей.
Если частица в каждой точке пространства подвержена действию других тел, то говорят, что эта частица находится в поле сил. В случае силового поля действие силы распределено по всему пространству. Рассмотрим такое поле сил, действие которого на частицу зависит только от положения частицы в пространстве. Такое поле можно описать с помощью некоторой скалярной функции φ(r), зависящей, а соответствии со сказанным, только от координат. Это случай специального, но часто встречаемого в природе потенциального поля, а функция φ(r), характеризующая поле, является потенциалом поля. Сила связана с потенциалом в каждой точке соотношением
, (1.35)
где постоянная определяется свойствами частицы, взаимодействующей с полем сил.
Подставим соотношение (1.35) в (1.33) и опять проинтегрируем вдоль траектории от точки 1 до точки 2. Получим
T2 - T1 +const(φ2 - φ1) = О,
т.е. величина T2 +const·φ2 = T1 +const·φ1
остается постоянной при движении вдоль траектории. Таким образом, для частицы в потенциальном поле внешней силы сохраняется, т. е. является интегралом движения, величина
E = T+const·φ(r). (1.36)
Величина U = const·φ(r) называется потенциальной энергией частицы в поле φ(r), а выражение (1.36) представляет собой полную механическую энергию частицы
E = T + U. (1.37)
ЭЛЕКТРИЧЕСТВО
Постоянное электрическое поле
Электрический заряд
Электрический заряд – определение:
Электрический заряд - характеристика частиц, определяющая интенсивность их электромагнитного взаимодействия.
Два вида зарядов
Существует два вида электрических зарядов, условно называемых положительными и отрицательными.
Взаимодействие зарядов разных знаков
Элементарные частицы - носители заряда
Носителями заряда являются элементарные частицы, заряд элементарных частиц, если они заряжены, одинаков по абсолютной величине e = 1.6·10-19 Кл.
Электрон имеет отрицательный заряд (-е), протон - положительный (+е), заряд нейтрона равен нулю. Из этих частиц построены атомы любого вещества.
Суммарный заряд атома равен нулю.
Закон сохранения заряда утверждает
В электрически изолированной системе суммарный заряд не может изменяться.
Релятивистская инвариантность заряда означает, что его величина, измеренная в различных инерциальных системах отсчета, оказывается одинаковой.
Или: Величина заряда не зависит от скорости, с которой он движется.
Взаимодействие точечных зарядов
Точечный заряд - модель заряженного тела, сохраняющая три его свойства: положение в пространстве, заряд и массу.
Или: точечный заряд - это заряженное тело, размерами которого можно пренебречь.
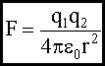
Закон Кулона Взаимодействие двух точечных неподвижных зарядов в вакууме описывается законом Кулона:
В системе СИ
ε0 = 8.85 ·10-12 Ф/м.
Закон Кулона в системе СИ
Единица заряда в системе СИ - кулон Один кулон (1 Кл) определяется через единицу силы тока, см. (10.1).
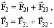
Принцип суперпозиции утверждает, что сила взаимодействия двух зарядов не изменится, если к ним добавить еще какие либо заряды. Для зарядов на рисунке это значит, что
и
не зависят от присутствия заряда q3,
и
не зависят от присутствия заряда q2, аналогично -
и
не завися от заряда q1.
Электрическое поле
Заряд - источник поля. Всякий покоящийся заряд создает в пространстве вокруг себя только электрическое поле. Движущийся - еще и магнитное.
Заряд - индикатор поля. О наличии электрического поля судят по силе, действующей на неподвижный положительный точечный заряд, помещенный в это поле (пробный заряд).
Напряженность - силовая характеристика электрического поля. Если на неподвижный точечный заряд qпр. действует сила, то значит, в точке нахождения этого заряда существует электрическое поле, напряженность которого определяется так:
Единица напряженности в системе СИ имеет название вольт на метр (В/м), при такой напряженности на заряд в 1 Кл действует сила в 1 Н. Происхождение размерности В/м .
Знаем напряженность - найдем силу
Если в каждой точке пространства нам известна напряженность электрического поля
, то мы можем найти силу, действующую на точечный заряд, помещенный в точку r (3.3)
Принцип суперпозиции электрических полей
Напряженность поля точечного заряда
Решение:
а) поместим в точку
пробный заряд qпр и найдем по закону Кулона (2.2) силу, действующую на пробный заряд:
;
б) воспользуемся определением напряженности электрического поля (3.3):
Для модуля напряженности:
.
Ответ: напряженность поля, созданного в точке
точечным зарядом q, прямо пропорциональна величине этого заряда (создающего поле, заряда - источника поля) и обратно пропорциональна квадрату расстояния от заряда - источника поля до точки, где ищется поле.
!!! Пробный заряд в ответ не входит!
Линии напряженности
Для графического изображения электрического поля используются линии напряженности (силовые линии). Их строят по следующим правилам:
| Линии напряженности | начинаются на положительных зарядах, заканчиваются на отрицательных или уходят в бесконечность. | |
| Вектор напряженности | направлен по касательной к линии напряженности в каждой точке. | |
| Густота линий | пропорциональна модулю напряженности электрического поля. | |
3.9 Линии напряженности точечных зарядов
Теорема Гаусса
Поток вектора напряжeнности электрического поля
Поток вектора
для однородного поля
















