151064 (598906), страница 6
Текст из файла (страница 6)
Например:
Ток I4 в сумму не входит!
Применение теоремы о циркуляции для вычисления магнитного поля бесконечно длинного соленоида
Соленоид - провод, навитый на цилиндрический каркас. На один метр длины - n витков.
Выберем такой контур, как на рисунке, т.к. из соображений симметрии вектор
может быть направлен только вдоль оси соленоида.
Тогда
1) В интервалах от точки 2 до точки 3 и от точки 4 до точки 1
стороне контура, значит Вl = 0.
2) Тогда:
3) Можно показать, что вне бесконечного соленоида B=0, т.е.
Значит:
,
т.к. внутри соленоида B = Bl = const, то
По теореме о циркуляции (5.4)
Откуда магнитное поле бесконечного соленоида:
Направлено
вдоль оси соленоида, в соответствии с правилом правого винта.
Магнитное поле тороида
Магнитное поле тороида:
При r/R ≈ 1, B = μ0nI, (сравните с 5.5).
Закон Ампера
Сила Лоренца - это сила, действующая со стороны магнитного поля на движущийся в нем заряд
См. (2), (2.1)
n-концентрация носителей.
Сила Ампера (6) есть сумма сил Лоренца.
Сила Лоренца
Направление силы Лоренца для положительного заряда совпадает с направлением векторного произведения
, для отрицательного - противоположно ему.
Движение заряженной частицы в однородном магнитном поле
Линии индукции направлены за чертеж, В = const.
Ускорение, по (6)
Из (10.1)
Частица движется по окружности такого радиуса:
.
Время одного оборота:
.
Т не зависит от v!
Поток вектора магнитной индукции (магнитный поток)
Повторить (4.1)
Поток вектора
через бесконечно малую поверхность в неоднородном поле
Поток вектора
через произвольную поверхность в неоднородном поле
Явление электромагнитной индукции состоит в том, что любое изменение магнитного потока Ф, пронизывающего замкнутый контур, вызывает появление индукционного тока в контуре.
Закон Фарадея - Ленца
Закон Фарадея-Ленца утверждает, что
ЭДС индукции равна скорости изменения магнитного потока, взятой с обратным знаком.
Знак минус напоминает о правиле Ленца:
индукционный ток имеет такое направление, чтобы создаваемое им магнитное поле препятствовало изменению магнитного потока.
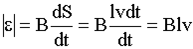
Электронный механизм ЭДС индукции
На рисунке изображена рамка с подвижной стороной. Магнитное поле
направлено от нас.
Тянем подвижную сторону со скоростью
. На заряд +q действует сила Лоренца
перемещающая заряд на расстояние l и совершающая работу (5.3.1):
ЭДС ε (3):
Найдем e по закону Фарадея (10.1):
Подвижная сторона рамки "заметает" за время dt площадь dS = lvdt, тогда
Результат тот же, значит:
Электронный механизм возникновения ЭДС индукции - это работа компоненты силы Лоренца.
Самоиндукция
Контур с током I по (4) создает В ~ I, по (9.3) - магнитный поток Ф через контур пропорционален току I.
Можно записать связь между потоком и током:
здесь L - индуктивность контура, [L] = Гн (генри).
Если I ≠ const, I = I(t), то Ф = Ф(t), и возникает ЭДС индукции, по (10.1)
,
если L = const, то
Магнитное поле в веществе
Магнитная проницаемость - это отношение магнитной индукции B в веществе к магнитной индукции в вакууме B0.
Классификация магнетиков
Диамагнетики - по закону Фарадея-Ленца при внесении в магнитное поле
любого вещества в атомах вещества возникают внутренние токи, создающие магнитное поле
, направленное навстречу внешнему полю
. В результате поле в веществе ослабляется. Если в веществе кроме этого отсутствуют другие магнитные эффекты, то оно будет диамагнетиком. Диамагнетизм проявляется у вещества, атомы которых не имеют собственного магнитного момента (8.1.1.),
Парамагнетизм проявляется у веществ, атомы которых имеют собственный магнитный момент. Магнитные моменты
атомов выстраиваются по полю
.
Ферромагнетизм - объясняется самопроизвольным упорядочением спиновых магнитных моментов электронов в пределах областей спонтанного намагничивания (доменов).
В пределах одного домена магнитные моменты электронов ориентированы в одном направлении. Магнитные моменты разных доменов в отсутствии внешнего поля ориентированы по разному, так, чтобы энергия созданного ими поля была минимальная:
При включении внешнего поля расширяются за счет соседей те домены, которые ориентированы по полю:
Затем переориентируются оставшиеся домены, и ферромагнетик намагничивается до насыщения:
В результате этого зависимость поля в ферромагнетике
от переменного внешнего поля
имеет вид петли гистерезиса, которую изображают в осях B-H.
Вектор
называется вектором напряженности магнитного поля. Он носит вспомогательный характер, силовой характеристикой магнитного поля является вектор магнитной индукции
Связь между векторами
и
записывается следующим образом:
















