151204 (594647), страница 8
Текст из файла (страница 8)
Рис.6.2 Схема расположения ЭП
Определяем активную расчётную нагрузку:
Определяем Км = 1,0 для Ки = 0,17 и nэ>100
Определяем суммарную расчётную нагрузку:
6.4 Расчёт сети с напряжением U<1000В
6.4.1 Выбор схемы и её конструктивного исполнения
Цех питается от комплектной трансформаторной подстанции Чирчикского завода с мощностью трансформаторов 1000 кВа. Распределительные сети подключаются к питающей магистрали через распределительные шкафы.
Оборудование располагается неравномерно по площади цеха. Эти электроприемники запитываются от силовых шкафов, которые объединяются по цепочной схеме и подключаются непосредственно к ТП.
Так как подстанция двухтрансформаторная, то для взаимного резервирования устанавливаем перемычку с автоматическим выключателем.
6.4.2 Расчёт электрических нагрузок
Силовой шкаф СШ1
Таблица 6.4. Расчёт силового шкафа СШ1
| № ЭП | Наименование | Кол-во N | Установленная мощность | Ки |
| Средние нагрузки | |||
|
|
|
|
| ||||||
| 1-2 | Вибрационная машина | 2 | 3,9 | 7,8 | 0,16 | 0,55/1,51 | 1,22 | 1,88 | |
| 3 | Молот | 1 | 15 | 15 | 0,2 | 0,65/1,16 | 3,0 | 3,5 | |
| 4-5 | Машина для разъёма | 2 | 1,7 | 3,4 | 0,2 | 0,65/1,16 | 0,68 | 0,79 | |
|
| 5 | 26,2 | 4,93 | 6,17 | |||||
Определяем групповой коэффициент использования для приемников с неравномерным графиком нагрузок:
Эффективное число электроприемников определяем по точной формуле:
Так как nэ=3<4, то определяем активную расчетную нагрузку приемников с переменным графиком нагрузок:
Определяем суммарную расчетную нагрузку:
Расчетный ток равен:
Выбираем силовой шкаф защищенного исполнения марки ШРС1-20У3, с номинальным током 250А, с числом отходящих линий и номинальными токами предохранителей типа НПН равным 5х60. Размеры шкафа 1600x500x380 [9].
Силовой шкаф СШ2
Таблица 6.5. Расчёт силового шкафа СШ2
| № ЭП | Наименование | Кол-во N | Установленная мощность | Ки |
| Средние нагрузки | |||||||
|
|
|
|
| ||||||||||
| 6-8 | Молот | 3 | 6,7 | 20,1 | 0,2 | 0,65/1,16 | 4,01 | 4,66 | |||||
| 9 | Литейная машина | 1 | 17 | 17 | 0,17 | 0,65/1,16 | 3,35 | ||||||
|
| 4 | 37,1 | 6,9 | 8,01 | |||||||||
Определяем групповой коэффициент использования для приемников с неравномерным графиком нагрузок:
Определяем активную расчетную нагрузку:
для приёмников с переменным графиком нагрузок
Определяем суммарную расчетную нагрузку:
Расчётный ток равен:
Выбираем силовой шкаф защищенного исполнения марки ШРС1-20У3, с номинальным током 250А, с числом отходящих линий и номинальными токами предохранителей типа НПН равным 5х60. Размеры шкафа 1600x500x380 [9].
Силовой шкаф СШ3
Таблица 6.6. Расчёт силового шкафа СШ3
| № ЭП | Наименование | Кол-во N | Установленная мощность | Ки |
| Средние нагрузки | ||
|
|
|
|
| |||||
| 10,11 | Приточный вентилятор | 2 | 19 | 38 | 0,6 | 0,8/0,75 | 22,8 | 17,1 |
| 12,13 | Литейная машина | 2 | 17 | 34 | 0,17 | 0,65/1,16 | 5,78 | 6,70 |
| 14 | Машина для разъёма | 1 | 17 | 17 | 0,2 | 0,65/1,16 | 0,34 | 0,39 |
| 15 | Молот | 1 | 6,7 | 6,7 | 0,2 | 0,65/1,16 | 3,0 | 3,48 |
| 16 | Литейная машина | 1 | 20 | 20 | 0,17 | 0,65/1,16 | 3,40 | 3,94 |
|
| 7 | 108,7 | 35,3 | 31,6 | ||||
Определяем групповой коэффициент использования для приемников с неравномерным графиком нагрузок:
Определяем эффективное число электроприемников:
приёмников nэ = 6
Для nэ = 6 Ки = 0,33
Определяем величину коэффициента максимума:
Км = 1,81 по зависимости Км = f (nэ, Ки) [11]
Определяем активную расчетную нагрузку:
Определяем Км = 1,1 для Ки = 0,33 и nэ <10
Определяем реактивную расчетную нагрузку:
Расчётный ток равен:
Выбираем силовой шкаф защищенного исполнения марки ШРС1-24У3, с номинальным током 400А, с числом отходящих линий и номинальными токами предохранителей типа НПН равным 5х60. Размеры шкафа 1600x700x580 [9]. Силовой шкаф СШ4
Таблица 6.7. Расчёт силового шкафа СШ4
| № ЭП | Наименование | Кол-во N | Установленная мощность | Ки |
| Средние нагрузки | ||
|
|
|
|
| |||||
| 17-18 | Молот | 2 | 15 | 30 | 0,5 | 0,65/1,16 | 6,0 | 6,96 |
| 19-20 | Круглошлифо-вальный станок | 2 | 4,9 | 9,8 | 0,17 | 0,65/1,16 | 1,67 | 1,93 |
| 21 | Литейная машина | 1 | 20 | 20 | 0,17 | 0,65/1,16 | 3,4 | 3,94 |
|
| 5 | 59,8 | 11,1 | 12,8 | ||||
Определяем групповой коэффициент использования для приемников с неравномерным графиком нагрузок:
Определяем эффективное число электроприемников:
приёмников nэ = 6
Для nэ = 4, Ки = 0,186
Определяем величину коэффициента максимума:
Км = 2,6 по зависимости Км = f (nэ, Ки) [11]
Определяем активную расчетную нагрузку:
Определяем Км = 1,1 для Ки = 0,186 и nэ <10
Определяем реактивную расчетную нагрузку:
Расчётный ток равен:
Выбираем силовой шкаф защищенного исполнения марки ШРС1-20У3, с номинальным током 250А, с числом отходящих линий и номинальными токами предохранителей типа НПН равным 5х60. Размеры шкафа 1600x500x380 [9].
Силовой шкаф СШ5
Таблица 6.8. Расчёт силового шкафа СШ5
| № ЭП | Наименование | Кол-во N | Установленная мощность | Ки |
| Средние нагрузки | ||||||
|
|
|
|
| |||||||||
| 22 | Станок | 1 | 5,0 | 50 | 0,16 | 0,55/0,61 | 0,80 | 1,21 | ||||
| 23 | Машина контактного нагрева ПВ=15%, | 1 | 53 | 53 | 0,2 | 0,65/1,16 | 10,6 | 18,3 | ||||
| 24 | Ковочная машина | 1 | 22 | 22 | 0,2 | 0,65/1,16 | 4,40 | 5,10 | ||||
|
| 3 | 59,8 | 15,8 | 24,6 | ||||||||
Определяем групповой коэффициент использования для приемников с неравномерным графиком нагрузок:
Определяем эффективное число электроприемников:
приёмников nэ = 2
nэ = 2<4 тогда:
Определяем активную расчетную нагрузку:
для приёмников с переменным графиком нагрузок
Определяем суммарную расчетную нагрузку:
Расчётный ток равен:
Выбираем силовой шкаф защищенного исполнения марки ШРС1-27У3, с номинальным током 400А, с числом отходящих линий и номинальными токами предохранителей типа НПН и ПН-2 равным 5х100+2х250. Размеры шкафа 1600x700x580 [9]
Силовой шкаф СШ6.
Таблица 6.9. Расчёт силового шкафа СШ6
| № ЭП | Наименование | Кол-во N | Установленная мощность | Ки |
| Средние нагрузки | |||||
|
|
|
|
| ||||||||
| 25 | Вентилятор | 1 | 5,5 | 5,5 | 0,6 | 0,8/0,75 | 3,3 | 2,48 | |||
| 28 | Машина контактного нагрева ПВ=40%, | 1 | 76 | 76 | 0,2 | 0,6/1,33 | 15,2 | 20,2 | |||
| 26-27 | Ковочная машина | 2 | 55 | 110 | 0,2 | 0,65/1,16 | 22 | 25,6 | |||
| 29 | Кран 5т, ПВ=25% Р1=7кВт,Р2=7кВт, Р3=13кВт | 1 | 10 | 10 | 0,05 | 0,5/1,173 | 0,5 | 0,87 | |||
|
| 5 | 201,5 | 41 | 49,2 | |||||||
Определяем групповой коэффициент использования для приемников с неравномерным графиком нагрузок:
Определяем эффективное число электроприемников:
приёмников nэ = 2, nэ = 3<4 тогда определяем активную расчетную нагрузку:
,
для приёмников с переменным графиком нагрузок:
Определяем суммарную расчетную нагрузку:
Расчётный ток равен:
Выбираем силовой шкаф защищенного исполнения марки ШРС1-27У3, с номинальным током 400А, с числом отходящих линий и номинальными токами предохранителей типа НПН и ПН-2 равным 5х100+2х250. Размеры шкафа 1600x700x580 [9]. Силовой шкаф СШ7.
Таблица 6.10. Расчёт силового шкафа СШ7
| № ЭП | Наименование | Кол-во N | Установленная мощность | Ки |
| Средние нагрузки | ||||||
|
|
|
|
| |||||||||
| 30-31 | Ковочная машина | 2 | 55 | 110 | 0,2 | 0,65/1,16 | 22 | 25,5 | ||||
| 32 | Ковочная машина | 1 | 22 | 22 | 0,2 | 0,65/1,16 | 4,40 | 5,10 | ||||
| 33 | Машина контактного нагрева ПВ=40%, | 1 | 76 | 76 | 0,2 | 0,6/1,33 | 15,2 | 20,2 | ||||
| 34-35 | Кран 5т, ПВ=25% Р1=7кВт,Р2=7кВт, Р3=13кВт | 2 | 10 | 20 | 0,05 | 0,5/1,73 | 1 | 1,73 | ||||
| 36 | Насос | 1 | 7,5 | 7,5 | 0,7 | 0,85/0,62 | 5,25 | 3,26 | ||||
|
| 7 | 235 | 47,9 | 55,8 | ||||||||
Определяем групповой коэффициент использования для приемников с неравномерным графиком нагрузок:
Определяем эффективное число электроприемников:
приёмников nэ = 4
Для nэ = 4 Ки = 0,2. Определяем величину коэффициента максимума:
Км = 2,64 по зависимости Км = f (nэ, Ки) [11]
Определяем активную расчетную нагрузку:
Определяем Км = 1,1 для Ки = 0,2 и nэ <10
Определяем реактивную расчетную нагрузку:
Расчётный ток равен:
Выбираем силовой шкаф защищенного исполнения марки ШРС1-24У3, с номинальным током 400А, с числом отходящих линий и номинальными токами предохранителей типа НПН равным 5х60. Размеры шкафа 1600x700x580 [9]
Силовой шкаф СШ8.
Таблица 6.11. Расчёт силового шкафа СШ8
| № ЭП | Наименование | Кол-во N | Установленная мощность | Ки |
| Средние нагрузки | |||||
|
|
|
|
| ||||||||
| 37 | Ковочная машина | 1 | 30 | 30 | 0,2 | 0,65/1,36 | 6 | 6,96 | |||
| 40-41 | Вентилятор | 2 | 5,5 | 11 | 0,6 | 0,8/0,75 | 15,2 | 20,2 | |||
| 39 | Кран 5т, ПВ=25% Р1=7кВт,Р2=7кВт, Р3=13кВт | 1 | 10 | 10 | 0,05 | 0,5/1,73 | 0,5 | 0,69 | |||
| 38 | Насос | 1 | 7,5 | 7,5 | 0,7 | 0,85/0,6 | 5,25 | 3,26 | |||
|
| 5 | 58,5 | 18,4 | 89,6 | |||||||
Определяем групповой коэффициент использования для приемников с неравномерным графиком нагрузок:
Определяем эффективное число электроприемников:
приёмников nэ = 2, nэ = 3<4 тогда:
Определяем активную расчетную нагрузку:
для приёмников с переменным графиком нагрузок
Определяем суммарную расчетную нагрузку:
Расчётный ток равен:
Выбираем силовой шкаф защищенного исполнения марки ШРС1-27У3, с номинальным током 400А, с числом отходящих линий и номинальными токами предохранителей типа НПН и ПН-2 равным 5х100+2х250. Размеры шкафа 1600x500x380 [9]
Силовой шкаф СШ9.
Так как приёмники имеют постоянные графики, то расчётные нагрузки равны сменным.
Определяем полную расчётную мощность:
Расчётный ток равен:
Выбираем силовой шкаф защищенного исполнения марки ШРС1-27У3, с номинальным током 400А, с числом отходящих линий и номинальными токами предохранителей типа НПН и ПН-2 равным 4х60+4х100. Размеры шкафа 1600x700x580 [9]
Таблица 6.12. Расчёт силового шкафа СШ9
| № ЭП | Наименование | Кол-во N | Установленная мощность | Ки |
| Средние нагрузки | ||
|
|
|
|
| |||||
| 42 | Муфельная печь | 1 | 10 | 10 | 0,75 | 1/0 | 7,5 | 0 |
| 43 | Соляная печь | 1 | 30 | 30 | 0,75 | 0,95/0,32 | 22,5 | 72 |
| 44 | Электрическая печь | 1 | 60 | 60 | 0,75 | 0,95/0,32 | 45,0 | 14,4 |
| 45 | Ванна | 1 | 5 | 5 | 0,75 | 0,95/0,32 | 3,75 | 1,2 |
| 46 | Компрессор | 1 | 5 | 5 | 0,75 | 0,95/0,32 | 3,75 | 1,2 |
| 47 | Насос | 1 | 35 | 35 | 0,75 | 0,95/0,32 | 26,3 | 8,4 |
|
| 6 | 145 | 109 | 32,4 | ||||
Силовой шкаф СШ10.
Таблица 6.13. Расчёт силового шкафа СШ9
| № ЭП | Наименование | Кол-во N | Установленная мощность | Ки |
| Средние нагрузки | ||
|
|
|
|
| |||||
| 48 | Соляная печь | 1 | 45 | 45 | 0,75 | 0,95/0,3 | 33,8 | 10,8 |
| 50-51 | Электрическая печь | 2 | 45 | 90 | 0,75 | 0,95/0,3 | 67,5 | 21,6 |
| 49 | Электрическая печь | 1 | 60 | 60 | 0,75 | 0,95/0,3 | 45,0 | 14,4 |
| 53 | Вентилятор | 1 | 2,6 | 2,6 | 0,6 | 0,8/0,75 | 2,08 | 1,56 |
| 52 | Термообработка | 1 | 9,0 | 9,0 | 0,75 | 0,95/032 | 6,75 | 2,16 |
|
| 6 | 206,6 | 155 | 50,5 | ||||
Так как приёмники имеют постоянные графики, то расчётные нагрузки равны сменным.
Определяем полную расчётную мощность:
Расчётный ток равен:
Выбираем силовой шкаф защищенного исполнения марки ШРС1-27У3, с номинальным током 400А, с числом отходящих линий и номинальными токами предохранителей типа НПН и ПН-2 равным 4х60+4х100. Размеры шкафа 1600x700x580 [9]. Расчет троллей. Кран мостовой (на плане 54-55)
Кран 10т.3 двигателя (20; 27; 5кВт) ПВ = 15%,
Номинальная мощность крана
Потребная мощность:
Расчетная мощность равна:
,
где Кс = 0,62 для троллей с одним краном. Для крановых двигателей
. Расчётный ток равен:
По расчетному току из рекомендуемого профиля принимаем угловую сталь 50x50x5 с Iд =350 А. Проверка по потере напряжения. Определяем пиковый ток:
Кп = 4-5 для двигателей с короткозамкнутым ротором
Потеря напряжения составят:
Проходит по допустимой потере напряжения
Проходит по допустимой потере напряжения
6.5 Выбор проводников и аппаратов защиты термическог цеха
6.5.1 Выбор аппарата а1, защищающего магистральный шинопровод ШМА1
Расчетный ток магистрали равен Iр = 492,9А, допустимый ток магистрали равен Iн = 1250А, ток динамической стойкости Iдин = 90 кА. Двухтрансформаторные КТП - 1000 Чирчикского завода комплектуются вводными шкафами НН типа ШНВ - 1М с выключателями типа Э-16В
Условие выбора установки теплового раcцепителя Iнтр > Iн
Рассматриваем автоматический выключатель типа Э-16В Iн = 1600А, Iнтр= 1600А, I0= 4800А [4]
Определяем пиковый ток Iпик = 86,6+ (492,9 - 64) = 515,5А
Определяем ток трехфазного КЗ в точке К-1
Рис.6.1 Схема замещения для КЗ в точке К – 1
Сопротивление системы:
где Uн =0,4 кВ - напряжение сети НН; Uвн = 10,5 кВ - напряжение сети ВН
= 6,72 кА - ток короткого замыкания на шинах 10кВ ГПП
Сопротивление трансформатора:
, Uк% = 5,5% - напряжение КЗ [11]
,
где Ркз = 12,2 кВт - мощность потерь КЗ [12]
,
Переходное сопротивление трансформатора: Rпер = 15Ом
Суммарные сопротивления равны:
Ток трёхфазного короткого замыкания в точке К - 1 равен:
Для оценки динамической стойкости определяется ударный ток КЗ
Действующее значение полного тока КЗ в первый полупериод равно:
Проверка по динамической стойкости.
Iдин=84кА>Iу=13,6 кА, условие выполняется, т.е. аппарат проходит по динамической стойкости.
Так как значение ударного тока у источника меньше, чем ток динамической стойкости у всех установленных аппаратов, то для остальных аппаратов защиты и элементов сети проверку на динамическую стойкость не делаем. Определение тока однофазного КЗ в точке К-2 для проверки чувствительности защиты.
Сопротивление трансформатора при однофазном КЗ:
Сопротивление магистрали:
, где
[12]
Ток однофазного КЗ в точке К - 2 равен:
Для помещений с нормальной окружающей средой.
Аппарат проходит по чувствительности.
Для защиты второй секции магистрали принимаем такой же защитный аппарат.
6.5.2 Выбор аппарата а2, защищающего троллею с мостовым краном (54 на плане)
Расчетный ток троллеи равен Iр = 40,1 А. Для подключения троллейной линии используем силовой ящик ЯБПУ1М с Iн=100А. Ящик комплектуется выключателем А3715Б с Iд=160 А,
Iнт = 63А, I0 = 1600А [12]
Проверим выбранный выключатель:
Uа>Uс; 440В > 380В.
Iн (т) >Iр= 1,15Ip= 1,15
40,1 = 46,1 А; 63А>46,1А.
I0>1,25Iпик
где Кпуск = 5 - кратность пускового тока; Р1 = 20кВт, P2 = 21кВт - номинальные мощности двух наиболее мощных двигателей
- коэффициент мощности
Выбранный выключатель удовлетворяет всем условиям. Определение тока однофазного КЗ в точке К-15 для проверки чувствительности защиты. Троллея питается непосредственно от ШМА.
z = 40 МОм, Zшма = 3 МОм
Сопротивление троллеи равно:
Ток однофазного КЗ в точке К - 15 равен:
для помещении с нормальной окружающей средой аппарат проходит по чувствительности.
Остальные аппараты защиты выбираются аналогично. Выбранные кабели питающей сети и аппараты защиты представлены в таблице 6.14. При этом считаем, что на станках стоят асинхронные двигатели с фазным ротором, кратность пускового тока которых равна 2.5
Учитываем, что 2КТП-1000 Чирчикского завода комплектуются следующими шкафами: вводной шкаф НН ШНВ (выключатели Э-16В, Э-06В), шкаф отходящих линий ШНЛ-1М (выключатели Э-06В). секционный шкаф ШНС (выключатели Э-16В, Э-06В).
Таблица 6.14. Выбор аппаратов питающей сети
| Обозначения на схеме | Защищаемый участок | Марка и сечение провода |
|
| Тип аппарата |
|
|
| А1 | ШМА | ШМА1-125О | 493 | 5200 | Э-16В | 1600 | 1600 |
| АЗ | Троллея к.5 4 | 50x50x5 | 40,1 | 5100 | А3715Б | 160 | 63 |
| А8 | ШМА-СШ4 | Кабель АВРГ 3x25+1x16 | 46,3 | 5100 | А3735Б | 400 | 250 |
| А5 | ШМА-СШ1 | АВРГ 3x70+1x35 | 40,4 | 5200 | А3735Б | 400 | 250 |
| А4 | Троллея к.55 | 50x50x5 | 40,1 | 3657 | А3715Б | 160 | 63 |
| А10 | ШМА-СШ10 | 2хАВРГ 3x150+1x50 | 307 | 3467 | А3735Б | 400 | 320 |
| А14 | ШМА-СШ5 | АВРГ 3x120+1x35 | 123,7 | 2366 | А3715Б | 160 | 160 |
| А12 | ШМА-СШ7 | АВРГ 3x120+1x50 | 189 | 3500 | А3735Б | 400 | з? о |
| А13 | ШМА-СШ6 | 2хАВРГ 3x95+1x50 | 312 | 3288 | А3735Б | 400 | 320 |
| А11 | ШМА-СШ8 | АВРГ 3x50+1x25 | 90,5 | 3457 | А3735Б | 400 | 250 |
| А15 | ШОС | АВРГ 3x50+1x25 | 75 | 3457 | А3735Б | 400 | 250 |
| А9 | ШМА-СШ9 | АВРГ 3x120+1x50 | 164 | 3512 | А3735Б | 400 | 320 |
| А6 | ШМА-СШ2 | АВРГ 3x70+1x35 | 57 | 5200 | А3735Б | 400 | 250 |
| А7 | ШМА-СШЗ | АВРГ 3x120+1x35 | 105 | 5200 | А3715Б | 160 | 160 |
6.5.3 Расчёт защиты распределительных сетей на участке термической обработки
Расчет защиты присоединений к СШ9:
Муфельная печь (на плане 42). Iн = 14,4 А
Iв>Iн, принимаем предохранитель типа НПН - 60 с током плавкой вставки равным Iв = 15А
Сечение провода выбираем по номинальному току с учетом, что в одной трубе прокладывается четыре провода (Зф+N) одинакового сечения. Принимаем провод марки АПВ в трубах сечением 2,5
, с допустимым током Iд= 19 А. Согласование с сетью К3 =1,25 [4]
- условие выполняется
Определение тока однофазного КЗ на зажимах электроприемника для проверки чувствительности защиты.
Сопротивление трансформатора:
Сопротивление петли фаза-ноль для ШМА:
Сопротивление питающего кабеля:
[4]
Сопротивление петли фаза-ноль для кабеля с учётом трубы:
[12]
Ток однофазного КЗ равен:
,
для помещений с нормальной окружающей средой.
Аппарат проходит по чувствительности.
Расчет защиты остальных присоединений для СШ9 и СИШ 10 сводим в таблицы 6.15 и 6.16.
Таблица 6.15. Расчёт защиты СШ 9
| Защищаемое присоединение |
|
| Марка и сечение кабеля |
| Тип защитного аппарата |
|
|
| Муфельная печь (42) | 14,4 | 14,4 | АПВ4х2.5т20х1.6 | 1107 | НПН-60 | 60 | 15 |
| Соляная печь (43) | 43,3 | 43,3 | АПВ4х16т26х1.8 | 2222 | ПН-2 | 100 | 50 |
| Эл. печь (44) | 86,6 | 86,6 | АПВ4х50т32х2 | 2657 | ПН-2 | ||
| Ванна (45) | 7,2 | 7,2 | АПВ4х2.5т20х1.6 | 1005 | НПН-60 | 60 | 15 |
| Компрессор (46) | 7,2 | 29 | АПВ4х2.5т20х1.6 | 1920 | НПН-60 | 60 | 20 |
| Насос (47) | 50,5 | 130 | АПВ4х16т26х1.8 | 3160 | ПН-2 | 100 | 100 |
Таблица 6.15. Расчёт защиты СШ 9
| Защищаемое присоединение |
|
| Марка и сечение кабеля |
| Тип защитного аппарата |
|
|
| Соляная печь (48) | 52 | 52 | АПВ4х16т26х1.8 | 2026 | ПН-2 | 100 | 60 |
| Эл. печь (50 | 52 | 52 | АПВ4х16т26х1.8 | 2196 | НПН-60 | 60 | 60 |
| Эл. печь (51) | 52 | 52 | АПВ4х16т26х1.8 | 1950 | НПН-60 | 60 | 60 |
| Эл. печь (49) | 86.6 | 86.6 | АПВ 4x50 т32х2 | 3082 | ПН-2 | 100 | 100 |
| Вентилятор (53) | 3.8 | 15 | АПВ4х2.5т20х1.6 | 446 | НПН-60 | 60 | 15 |
| Термобарокамера (52) | 13 | 13 | АПВ4х2.5т20х3.6 | 1834 | НПН-60 | 60 | 15 |
7. Грозозащита объектов
7.1 Принцип действия молниеотводов
Защита от прямых ударов молнии осуществляется с помощью молниеотводов. Молниеотвод представляет собой возвышающееся над защищаемым объектом устройство, через которое ток молнии, минуя защищаемый объект, отводится в землю. Молниеотвод состоит из молниеприемника, непосредственно воспринимающего на себя удар молнии, токоотвода и заземлителя.
Защитное действие молниеотводов основано на том, что во время лидерной стадии на вершине молниеотвода скапливаются заряды и наибольшие напряженности электрического поля создаются на пути между развивающимся лидером и вершиной молниеотводов. Возникновение и развитие с молниеотвода встречного лидера еще более усиливает напряженности поля на этом пути, что окончательно предопределяет удар в молниеотвод. Защищаемый объект, более низкий, чем молниеотвод, будучи расположен поблизости от него, оказывается заэкранированным молниеотводом и встречным лидером и поэтому практически не может быть поражен молнией.
Защитное действие молниеотвода характеризуется его зоной защиты, т.е. пространством вблизи молниеотвода, вероятность попадания молнии в которое не превышает определенного достаточно малого значения.
Молниеотводы по типу молниеприемников разделяются на стержневые и тросовые. Стержневые молниеотводы выполняются в виде вертикально установленных стержней (мачт), соединенных с заземлителем, а тросовые - в виде горизонтально подвешенных проводов. По опорам, к которым крепится трос, прокладываются токоотводы, соединяющие трос с заземлителем.
Открытые распределительные устройства подстанций защищаются стержневыми молниеотводами, а линии электропередачи - тросовыми. Для защиты шинных мостов и гибких связей большой протяженности также могут применяться тросовые молниеотводы.
Необходимым условием надежной защиты является хорошее заземление молниеотвода, так как при ударе молнии в молниеотвод с большим сопротивлением заземления на нем создается высокое напряжение, способное вызвать пробой с молниеотвода на защищаемый объект.
В последнее время интенсивно ведутся исследования по повышению эффективности молниеотводов (Г.Н. Александров - ЛПИ). В частности, на крупномасштабной модели с воздушным промежутком длиной 10' м экспериментально показано, что лазерная искра влияет на ориентировку лидера так же, как и эквивалентный ей по длине металлический заземленный стержень.
За рубежом настойчиво рекламируются так называемые радиоактивные молниеотводы - стержневые молниеотводы, молниеприемники которых снабжены источниками радиоактивного излучения. Предполагается, что за счет этого излучения над молниеотводом образуется столб ионизированного воздуха, как бы увеличивающего высоту молниеотвода. Однако при применяемых радиоактивных соединениях высота ионизированного столба воздуха, имеющего достаточную проводимость, не превышает 10-15 см. Количество мощных частиц, проникающих на высоту в несколько десятков сантиметров, невелико, и они не могут создать проводящий канал.
7.2 Зоны защиты молникотводов
В настоящее время в связи с потребностями практики нормированы зоны защиты молниеотводов высотой до 150 м. Зона защиты одиночного стержневого молниеотвода высотой h<150 м представляет собой круговой конус (рис.3.1) с вершиной на высоте ho
Рис.7.1. Сечение зоны защиты стержневого молниеотвода
Граница зоны защиты находится по формулам (все размеры - в метрах):
Вероятность прорыва молнии через границу зоны не превышает 0,005. Если допустить вероятность прорыва молнии 0,05, то зона защиты расширяется. В ряде случаев такая зона удовлетворяет потребностям практики, так как для объектов высотой до 30 м число разрядов обычно меньше 0,1 в год. Поэтому при вероятности прорыва 0,05 защищаемый объект в среднем будет поражаться не чаще, чем 1 раз за 200 лет эксплуатации. Зона защиты одиночного молниеотвода при вероятности прорыва 0,05 описывается формулами:
,
Зона защиты двух стержневых молниеотводов, находящихся вблизи друг от друга [на расстоянии, меньшем (3-5) h], расширяется по сравнению с зонами отдельных молниеотводов. Возникает дополнительный объем зоны защиты, обусловленный совместным действием двух молниеотводов. Зоны защиты двойного стержневого молниеотвода описываются формулами:
а) при вероятности прорыва Рпр=0,005
Рис.7.2. Зона защиты двойного стержневого молниеотвода:
а - сечение вертикальной плоскостью, проходящей через оси
молниеотводов; б - сечение горизонтальной плоскостью на высоте hx.
где r0 - зона защиты одиночного молниеотвода на уровне земли
(hX=0).
Если расстояние 1 между молниеотводами превышает 3h (РПР=0,005)
или 5h (РПР = 0,05), каждый из молниеотводов следует рассматривать как одиночный.
Несколько близко расположенных молниеотводов (например, три и более) образуют "многократный" молниеотвод. Его зона защиты определяется зонами защиты ближайших молниеотводов. При этом принимается, что внутренняя зона имеет вероятность прорыва такую же, как и зоны взятых попарно молниеотводов.
Для защиты протяженных объектов тросовые молниеотводы натягивают над защищаемым объектом и заземляют на опорах. Зона защиты одиночного тросового молниеотвода определяется по формулам
7.3 Заземление молниеотводов
Для устройства заземлений применяются вертикальные и горизонтальные электроды (заземлители). Для горизонтальных заземлителей используется полосовая сталь шириной 20-40 мм и толщиной не менее 4 мм, а также сталь круглого сечения диаметром не менее 6 мм. В качестве вертикальных заземлителей применяются стальные трубы, стержни и профильная сталь. На подстанциях заземлитель представляет собой сложную систему, состоящую обычно из горизонтальных полос, объединяющих вертикальные электроды и образующих сетку на площади, занимаемой подстанцией. На линиях электропередачи в качестве заземлителя опор могут использоваться их железобетонные фундаменты.
Заземлитель характеризуется значением сопротивления, которое окружающая земля оказывает стекающему с него току. Сопротивление заземлителя зависит от его геометрических размеров и удельного сопротивления грунта р, в котором он находится.
Для расчета сопротивления заземления одиночного стержневого молниеотвода или линейной опоры используются следующие формулы сопротивление вертикальной трубы или стержня:
где 1 - длина трубы или полосы; t-глубина залегания полосы, верхнего конца вертикального электрода или нижнего конца фундамента; b - ширина полосы или фундамента; d - диаметр трубы или стержня.
Расчетное значение ρ определяется по данным измерений как
(3.10)
где К - сезонный коэффициент; ρИЗМ - измеренное значение
удельного сопротивления грунта. Если измерение проводилось при средней влажности грунта, то К=1,4. При повышенной влажности земли перед измерением берется К=2,6.
Быстрое же нарастание тока молнии на фронте импульса создает падение напряжения на индуктивности протяженного заземлителя, что ограничивает отвод тока с удаленных его частей. При этом сопротивление заземления, наоборот, увеличивается.
В результате влияния того или иного фактора (образования зоны искрения или падения напряжения на индуктивности) сопротивление заземлителя при прохождении тока молнии - так называемое импульсное сопротивление RИ - отличается от стационарного сопротивления заземления, измеренного при переменном напряжении и сравнительно небольшом токе.
Отношение импульсного и стационарного сопротивлений заземления называется импульсным коэффициентом
Пусть ток I стекает с вертикального заземлителя в виде стержня при t=0. На границе искровой зоны, представляющей собой цилиндрическую поверхность радиусом гиз, напряженность электрического поля
Рис.3.3 Искровая зона вокруг вертикального электрода
Сосредоточенные заземлители имеют тем меньшее Rh, чем больше ток молнии, проходящий через заземлитель, и выше удельное сопротивление грунта.
Анализ протяженного горизонтального заземлителя без учета искровых процессов, который здесь не приводится из-за его громоздкости, приводит к следующему выражению для импульсного коэффициента:
где
индуктивность единицы длины
горизонтального заземлителя, мкГн/м; τФ - длительность фронта тока молнии, макс.
Импульсный коэффициент протяженного горизонтального заземлителя больше единицы, и чем больше его длина и меньше длительность фронта импульсного тока, тем выше значение аи.
Следует иметь в виду, что у поверхности протяженного заземлителя имеют место искровые процессы, однако они ослабевают по мере удаления от начала заземлителя, поскольку уменьшаются его потенциал и плотность стекающего тока. Искровые процессы в земле существенно влияют на импульсное сопротивление протяженного заземлителя. При малых длинах его, когда плотности тока велики, искровые процессы могут привести к уменьшению импульсного коэффициента до
.
Если заземлитель состоит из п труб или полос, то его импульсное сопротивление равно
где ηИ - импульсный коэффициент использования заземлителя, учитывающий ухудшение условий растекания тока молнии вследствие взаимного экранирования электродов.
Сопротивление заземлителя подстанции в виде сетки, которая состоит из вертикальных электродов, объединенных горизонтальными полосами, рассчитывается по эмпирической формуле:
где L - суммарная длина всех горизонтальных заземляющих электродов (полос); пи 1 - число и длина вертикальных электродов; S - площадь, занятая заземлителем;
ρ - расчетное значение удельного сопротивления грунта А - коэффициент, определяемый по значению
7.4 Условия безопасного прохождения тока молнии по молниеотводу
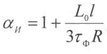
При прохождении тока молнии по молниеотводу создается падение напряжения на сопротивлении заземлителя молниеотвода и на индуктивности токоотвода. При косоугольной форме фронта тока молнии и крутизне фронта а максимальный потенциал в точке молниеотвода, расположенной на расстоянии 1 от заземлителя, наступает в момент максимума тока молнии
где Lo - индуктивность единицы длины токоотвода. Для металлических молниеотводов решетчатой конструкции, а также для отдельно проложенных токоотводящих спусков L0=l,7 мкГн/м.
Учитывая достаточно малое число ударов молнии в такие объекты, как, например, подстанции, в данном случае в качестве расчетных значений принимают IМ = 60 к А и а=30 кА/мкс.
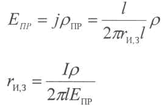
Расстояние по воздуху 1В при расчетных параметрах тока молнии и допустимой напряженности электрического поля в воздухе £8=500 кВ/м определяется по формуле:
1в=0,12RИ + 0,11
Расстояние в земле 13 между заземлителем отдельно стоящего молниеотвода и ближайшей к нему точкой защищаемого устройства в земле при допустимой напряженности поля в земле ЕЗ = 300 кВ/м рассчитывается как
lB = 0,2RИ
При этом 1В должно быть не менее 5 м, а lЭ - не менее 3 м.
На подстанциях при установке молниеотводов на порталах помимо соблюдения безопасных расстояний по воздуху и в земле необходимо согласовать импульсные разрядные напряжения изоляторов и напряжения,
возникающие в точках их присоединения к порталу при ударах молнии в молниеотвод.
7.5 Конструктивные исполнения молниеотводов
В качестве несущих устройств для крепления токоведущих частей молниеотводов должны использоваться, там, где это возможно, конструкции самих защищаемых объектов. Например, на подстанциях молниеприемники могут устанавливаться, как уже отмечалось, на металлических порталах, предназначенных для подвески ошиновки, а сами порталы могут использоваться в качестве токоотводов, соединяющих молниеприемники с заземлителем.
Для отдельно стоящих молниеотводов в качестве несущих элементов используются железобетонные или деревянные стойки (при высоте до 20 м). Для токоотвода используется металлическая арматура железобетонных стоек, по деревянным стойкам прокладывается специальный токоведущий спуск к заземлителю. При высоте более 20 м применяют стальные решетчатые конструкции. Рекомендуется молниеотводы выполнять в виде свободно стоящих конструкций без растяжек.
Молниеприемники должны выдерживать термические и электрические воздействия тока молнии. Рекомендуется применять стальные молниеприемники сечением 50 - 100 мм2 для стержневых и однопроволочных тросовых молниеприемников. Поперечное сечение стальных многопроволочных тросов должно быть не менее 35 мм2. Молниеприемники и токоотводы предохраняются от коррозии покраской. Многопроволочные стальные тросы должны быть оцинкованы. Соединения частей токоотводов между собой, а также с молниеприемниками и заземлителями производятся в основном с помощью сварки.
7.6 Расчёт молниезащиты гппп
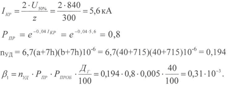
Габаритные размеры подстанции 50x50 м2, высота защищаемого оборудования 20 м, грозовая активность, характеризующаяся числом грозовых часов в году - ДГ = 40 ч/год, измеренное сопротивление грунта ρизм=45Ом-м.
Для защиты подстанции используются стержневые молниеотводы высотой 35 м. Принимаю для защиты подстанции 4 молниеотвода, их размещение приведено на рис.7.4, 7.5
Рис.7.4. Горизонтальная зона защиты молниеотводами
Рис.7.5. Вертикальная зона защиты молниеотводами
Расстояние между молниеотводами L принято 25 м, от периметра ГПП до молниеотводов dx =15 м. Высота защищаемого оборудования hx = 20 м.
Принята вероятность прорыва молнии через границу зоны Р = 0,005. Верхняя граница защищаемой зоны:
При L hmin = h0 = 29,8 м, dx = rx = 20 м. Заземляющее устройство круглый год должно иметь сопротивление не более 0,5 Ом [3, п.1.7 51]. Для заземления молниеотводов приняты вертикальные и горизонтальные заземлители. В качестве вертикальных заземлителей приняты стальные стержни диаметром 16 мм и длиной 6м. Горизонтальные заземлители представляют собой стальные полосы прямоугольного сечения 48 мм2. Расчётное сопротивление грунта: ρ = К·ρизм =1,15·50 = 57,5 Омм, где значение К определено для суглинистой почвы III климатической зоны. Суммарная длина горизонтальных заземлителей: LГ=9·50 + 9·50 = 900 м. Рис.7.6. Схема заземлителя Определим сопротивление заземлителя Рассчитанное сопротивление проходит по условию минимального сопротивления заземлителей. Для оценки эффективности защиты определяется пятидесятипроцентное значение разрядного напряжения Uso%5 по длине гирлянды изоляторов. Выбор числа изоляторов и его типа. Принимаю среднеэксплуатационную нагрузку F = 120 кН. Необходимо, чтобы изолятор имел пятикратный запас прочности: FH3 = 5F = 5120 = 600 кН. По [11] выбираю изолятор ПС 12-А, его характеристики: Строительная длина Н = 140 мм диаметр Д = 260 мм длина пути утечки LУ1=325 мм Коэффициент, учитывающий изменение длины пути утечки изолятора при неравномерном загрязнении и увлажнении в процессе эксплуатации: Число изоляторов увеличивается на 1, Т.о. общее число изоляторов составляет 7 шт.д.ля длины гирлянды изоляторов LГ = nН = 70,14 = 0,98 м U50= 840 кВ. Произведем оценку молниезащиты предприятия. Определим вероятность перекрытия изоляции вследствие прорыва молнии в зону защиты. Определим вероятность обратных перекрытий при ударах в молниеотвод: Для того чтобы правильно выбрать вид электропроводки, марку провода способ его прокладки, электроустановку соответствующего исполнения, необходимо знать, в каких условиях они будут работать. Исполнение электроустановки отражает степень защиты персонала от поражения электрическим током и защиту оборудования от внешних воздействий. По этим признакам классифицируются помещения и электротехнические изделия [7] В электроустановках все работы необходимо производить при обязательном соблюдении следующих условий. работу можно выполнять только с разрешения уполномоченного на это официального лица в соответствии с заданием, оформленным в виде наряда или распоряжения; работу должны вести, как правило, не меньше чем два лица; должны быть выполнены организационные и технические мероприятия, обеспечивающие персоналу безопасные условия работ. Организационные мероприятия имеют целью обеспечить безупречную организацию выполнения работ в электроустановках для исключения несчастных случаев с людьми при высокой производительности труда и хорошем качестве работ. Такими мероприятиями являются: а) выдача нарядов и распоряжений на производство работ; б) допуск бригады к работе; в) надзор за бригадой во время работы; г) оформление перерывов в работе и окончания работ. Технические мероприятия имеют целью обеспечить безопасность безопасность персонала при выполнении работ с полным или частичным снятие напряжения с электроустановки. Такими мероприятиями являются: а) производство необходимых отключений и принятие мер для предотвращения ошибочного или самопроизвольного включения коммутационной аппаратуры (блокирование, механический запор приводов, снятие предохранителей и т.п.); б) вывешивание переносных плакатов по технике безопасности и при необходимости установка временных ограждений; в) проверка отсутствия напряжения на токоведущих частях установки, предназначенной для работы; г) наложение временных заземлений [7] По условиям окружающей среды производственные помещения подразделяются на категории, характеристика которых приведена в таблице 8.1. По степени опасности поражения электрическим током производственные помещения подразделяются на три группы: без повышенной опасности, помещения с повышенной опасностью, особо опасные. Помещения без повышенной опасности характеризуются отсутствием признаков, как повышенной опасности, так и особой опасности. Помещения с повышенной опасностью характеризуются следующими признаками: наличие сырости (относительная влажность длительно превышает 75%) или проводящей пыли; полы токопроводящие (металлические, земляные, железобетонные, кирпичные и т.п.); высокая температура (35 гр. С и выше); возможность одновременного прикосновения человека к имеющим соединения с землей металлоконструкциям зданий и сооружений аппаратов с одной стороны, и к металлическим корпусам электроустановок с другой. Наличие одного из перечисленных признаков является достаточным, чтобы производственное помещение по степени опасности поражение электрическим током отнести к рассмотренной группе. Помещения особо опасные характеризуются следующими признаками: особой сыростью; химически активной или органической средой, наличием двух или более признаков повышенной опасности. Наличие одного из перечисленных признаков является достаточным, чтобы производственное помещение по степени опасности поражения электрическим током отнести к особо опасным Таблица 8.1. Краткая характеристика потребителей и их наименование № Наименование цеха Категория надежности Характер среды 1 2 3 4 1 Механический III, II Нормальная 2 Инструментальный III, II Нормальная 3 Энергоцех II Жаркая 4 Гальванический I, II Химически активная 5 Штамповочный II Нормальная 6 Эл. монтажный II Нормальная 7 Компрессорный II Нормальная 8 Термический II Нормальная Цеха расположены в одноэтажном здании, которое выполнено из кирпича, степы оштукатурены, побелены, потолок перекрыт пустотелыми плитами, пол бетонный, имеются двери, окна одностворчатые. Силовой оборудование рассчитано на напряжение 380/220 В а так же в УГП 12В. Исполнение - открытое, защищённое. Классификация степени защиты от поражения электрическим током [3]: "0" - электробезопасность (ЭБ) достигается основной изоляцией, открытые токоведущие части не соединены с землей, при пробое изоляции защита обеспечивается окружающей средой; "1" - ЭБ достигается основной изоляцией и соединением ОПЧ с заземлителями, при пробое - соответствующая защита; "2" - двойная или усиленная защита "3" - электрооборудование не имеет внутренние или внешние токоведущие части напряжением более 50 В. Электробезопасность достигается тремя уровнями защиты: защита от прямого прикосновения (в проекте: применение основной изоляции, прокладка кабелей в трубах в подливке пола, спуски от распределительных шинопроводов в трубах или металлорукавах за ЭП, на лотках в недоступном для прямого прикосновения месте) защита при повреждении и косвенном прикосновении (в проекте: предотвращение механического повреждения оболочки кабеля за счет (применения труб и металлорукавов; использование РEN - проводников для перевода пробоя изоляции в однофазное замыкание; выравнивание потенциалов при использовании чугунных плит пола для снижения напряжения шага); дополнительная защита от прямых и косвенных прикосновений Электрооборудование на данном предприятии относится к I классу, так как это оборудование, в котором защита от поражения электрическим током обеспечивается основной изоляцией и соединением открытых проводящих основной изоляции должна срабатывать соответствующая защита. Например, защита от сверхтоков, построенная на использовании автоматических выключателей, и (или) защита от токов короткого замыкания на землю, основанная на применении устройств защитного отключения. В этом случае открытые проводящие части ЭО будут находиться под напряжением в течение времени, которое необходимо для срабатывания соответствующей защиты [ГОСТ Р 50571.3]. Для электроснабжения потребителей выбрана система ТМ-С - нейтраль источника заземлена, функции нулевого рабочего N и защитного проводника РЕ объединены в одном РЕЫ проводнике. Данная система является наиболее распространенной. Особенность системы в том, что пробой изоляции на корпус электрооборудования воспринимается защитой на головном участке сети как короткое однофазное замыкание, успешно отключаемое как условие проверки чувствительности защиты. При наличии в сети повторных заземлителей в случае пробоя на корпус (рисунок 8.1) напряжение на корпусах станков включенных по схеме за поврежденным двигателем будет отлично от нуля, это может быть опасно. Однако при быстром отключении КЗ автоматом риск сведен к минимуму, кроме того, при наличии связи металлического пола с корпусами ЭП напряжение прикосновения практически равно нулю, причем не только на поврежденном двигателе, но и на всех остальных. Поскольку металлические плиты пола положены встык, то при обеспечении надежного электрического контакта дополнительно обеспечивается нулевое напряжение шага. При прикосновении человека к фазному проводу УЗО почувствует ток утечки через тело человека и отключит линию. Степень защиты оболочек оборудования значительно снижает вероятность случайного прикосновения к токоведущим частям. В соответствии с требованиями ГОСТ 12.1 039-82 пожарная безопасность электроустановок достигается системами предотвращения пожара и пожарной защиты, которые должны обеспечивать; предотвращение образования горючей среды (использование материалов пониженной горючести и т.д.); предотвращение образования в горючей среде или внесения в нее источников зажигания (соответствие исполнения, применения и режима эксплуатации электроустановок классу пожаро- и взрывоопасных помещений, регламентация допустимых температур нагрева токоведущих и несущих частей электроустановок); предотвращение распространения пожара за пределы очага возгорания (устройство противопожарных преград, устройства аварийного отключения, наличие аварийного слива масла, устройство маслоприемников, применение средств пожаротушения, пожарной сигнализации и извещения о пожаре); предотвращение выхода из строя электроустановок при пожаре (применение конструкций соответствующей огнестойкости, использования соответствующих средств пожаротушения); предотвращение гибели людей при пожаре (эвакуация людей, применение средств индивидуальной защиты и т.д.). При тушении пожаров в электроустановках возникает опасность поражения электрическим током. Необходимо отключить напряжение, прежде чем приступать к тушению пожара. Поражение электрическим током может наступить в результате ГОСТ 12.2 037-78: непосредственного прикосновения к токоведущим частям, находящимся под напряжением; прохождения тока утечки через тело человека; попадание под шаговое напряжение. Наибольшая вероятность поражения возникает в случае, при котором струя огнетушащего состава достигает частей электроустановки, находящейся под напряжением. Одним из решений является применение токонепроводящих огнетушащих составов. Кроме того, возгорание возможно в труднодоступных для тушения частях установки. [7] Молниеотвод представляет собой правильно выполненный путь для безопасного отвода молнии от защищаемого объекта, создающий защитную зону и исключающий возможность поражения людей и разрушения [3]. Наибольшее распространение получили стержневые и тросовые молниеотводы. Для защиты открытых распределительных устройств применяются стержневые молниеотводы, состоящие из молниеприемника, токоотвода и заземлителя, с наилучшим способом соединения - сваркой. Для защиты главной понизительной подстанции 110/10 завода применяют четыре стержневых молниеотвода с заземлителем, имеющим в любую погоду сопротивление 0,5 Ом [3]. Расчет эффективности защиты показал, что в среднем молния прорывается через защиту раз в 19,6 года. С другой стороны, благодаря явлению электромагнитной индукции, значительные потенциалы могут наводиться на объектах и без прямых ударов молний. Если такой объект надежно заземлен, то никакой опасности искрения не возникает. В случае, когда прямой удар молнии в здание не повлечет за собой взрыв или пожар для токоотвода используют все имеющиеся в здании металлические массы. С этой целью все металлические части зданий соединяют в одно целое и надежно заземляют. При таком способе защиты крыша здания выступает в роли молниеприемника [7]. Работы в зоне влияния электрического и магнитного полей. В ОРУ и на ВЛ напряжением 330 кВ и выше должка быть обеспечена защита работающих от биологически активного электрического поля, способного оказывать отрицательное воздействие на организм человека и вызывать появление электрических разрядов при прикосновении к заземленным или изолированным от земли электропроводящим объектам. В электроустановках всех напряжений должна быть обеспечена защита работающих от биологически активного магнитного поля, способного оказывать отрицательное воздействие на организм человека. Биологически активными являются электрическое и магнитное поля, напряженность которых превышает допустимое значение. Предельно допустимый уровень напряженности воздействующего электрического поля (ЭП) составляет 25 кВ/м. Пребывание в ЭП с уровнем напряженности, превышающим 25кВ/м, без применения индивидуальных средств защиты не допускается При уровнях напряженности ЭП свыше 20 до 25-кВ/м время пребывания персонала в ЭП не должно превышать 10 минут. При уровне напряженности ЭП свыше 5 до 20 кВ/м допустимое время пребывания персонала рассчитывается по формуле где Е - уровень напряженности воздействующего ЭП Т - допустимое время пребывания персонала (ч). При уровне напряженности ЭП, не превышающем 5 кВ/м, пребывание персонала к ЭП допускается я течение всего рабочего дня (8 ч). Допустимое время пребывания в электрическом поле может быть реализовано одноразово или дробно в течение рабочего дня. В остальное рабочее время необходимо использовать средства защиты или находиться в электрическом поле напряженностью до 5 кВ/м. Допустима напряженность (Н) или индукция (В) магнитного поля для условий общего (на все тело) и локального (на конечности) воздействия в зависимости от продолжительности пребывания в магнитном поле определяется в соответствии с таблицей 8.2 Таблица 8.2. Допустимые уровни магнитного поля Время пребывания, ч Допустимые уровни магнитного поля Н (А/м) /В (мкТл) при воздействии общем локальном 1 1600/2000 6400/8000 2 800/100 3200/4000 4 400/500 1600/2000 8 80/100 800/1000 При необходимости пребывания персонала в зонах с различной напряженностью магнитного поля общее время выполнения работ в этих зонах не должно превышать предельно допустимое для зоны с максимальной напряженностью. Допустимое время пребывания в магнитном поле может быть реализовано одноразово или дробно в течение рабочего. При изменении режима труда и отдыха (сменная работа) пределы допустимый уровень магнитного поля не должен превышать установленный для 8-часового рабочего дня. Контроль уровней электрического и магнитного полей должен производиться при: приемке в эксплуатацию новых и расширении действующих электроустановок, оборудовании помещений для постоянного или временного пребывания персонала, находящихся вблизи электроустановок (только для магнитного поля); аттестации рабочих мест Уровни электрического и магнитного полей должны определяться во всей зоне, где может находиться персонал в процессе выполнения работ, на маршрутах следования к рабочим местам и осмотра оборудования. Измерения напряженности электрического поля должны производиться: при работах без подъема на оборудование и конструкции - на высоте 1, м от поверхности земли, плит кабельного канала (лотка), площадки обслуживания оборудования или пола помещения: при работах с подъемом на оборудование и конструкции - на высоте 0,5, 1,0 и 1,8 м от пола площадки рабочего места (например, пола люльки подъемника) и на расстоянии 0,5 м от заземленных токоведущих частей оборудования. Напряженность (индукция) магнитного поля измеряется в производственных помещениях с постоянным пребыванием персонала, расположенных на расстоянии менее 20 м от токоведущих частей электроустановок, в том числе отделенных от них стеной. В качестве средств защиты от воздействия электрического поля должны применяться: в ОРУ - стационарные экранирующие устройства по ГОСТ 12.4 154 и/ экранирующие комплекты по ГОСТ 12.4 172, сертифицированные Госстандарта России; на ВЛ. - экранирующие комплекты (те же; что в ОРУ). В заземленных кабинах и кузовах машин, механизмов, передвижных мастерских и лабораторий, а также в зданиях из железобетона, в кирпичных зданиях с железобетонными перекрытиями, металлическим каркасом или заземленной металлической кровлей электрическое поле отсутствует, и применение средств защиты не требуется. При работе на участках отключенных токоведущих частей электроустановок для снятия наведенного потенциала они должны быть заземлены. Прикасаться к отключенным, но не заземленным токоведущим частям без средств защиты не допускается. Ремонтные приспособления и оснастка, которые могут оказаться изолированными от земли, также должны быть заземлены. Машины и механизмы на пневмоколесном ходу, находящиеся в зоне влияния электрического поля, должны быть заземлены. При их передвижении в этой зоне для снятия наведенного потенциала следует применять металлическую цепь, присоединенную к шасси или кузову и касающуюся земли. Не разрешается заправка машин и механизмов горючими и смазочными материалами в зоне влияния электрического поля. В качестве мер защиты от воздействия магнитного поля должны применяться стационарные или переносные магнитные экраны. Рабочие места и маршруты передвижения персонала следует располагать на расстояниях от источников магнитного поля, при которых обеспечивается выполнение требований указанных выше. Зоны электроустановок с уровнями магнитных и электрических полей, превышающими предельно допустимые, где по условиям эксплуатации не требуется даже кратковременное пребывание персонала, должны ограждаться и обозначаться соответствующими предупредительными надписями или плакатами [7] В данном дипломном проекте был проведен расчет электроснабжения завода дорожных машин. В расчет вошли такие разделы как: внешнее и внутреннее снабжение предприятия, выбор числа и мощности ГГШ, выбор оборудования. Подробно произведен расчет электроснабжения цеха, который также включил в себя рад таких вопросов, как: выбор питающей сети цеха, расчет электрического освещения цеха, расчет троллейных линий, защита распределительных сетей цеха. В заключительной части дипломного проекта рассмотрен вопрос по организационным мероприятиям, обеспечивающим безопасность труда на проектируемом заводе. Мукосеев Ю.Л. "Электроснабжение промышленных предприятий" - М.: "Энергия" 1973г. Кнорринг Г.М. "Справочная книга для проектирования электрического освещения" - Л.: "Энергия" 1976г. Федоров А.А. "Справочник по электроснабжению и электрооборудованию" Т.1 "Электроснабжение", Т2 "Электрооборудование" Артёмов А.И. "Цеховые трансформаторные подстанции". М: Моск. энерг. инст., 1988г. Липкин Б.Ю. "Электроснабжение промышленных предприятий и установок" - М: "Высшая школа" 1981г. "Качество электроэнергии на промышленных предприятиях" И. В. Жежеленко и др. Киев: Техника, 1981г.60с. "Правила устройства энергоустановок" - М.: "Энергопромиздат." 1986г. Рожков Л.Д. Козулин В.С. "Электрооборудование станций и подстанций" - М.: "Энергопромиздат." 1986г. Федорова А.А., Старкова Л.Е. Учебное пособие для курсового дипломного проектирования по электроснабжению промышленных предприятий, М.: Энергопромиздат. 1987. "Справочник по проектированию электроэнергетических систем". Под редакцией Шапиро И.М. Энергопромиздат. 1985г.
8. Мероприятия по обеспечению требований безопасности и экологичности при электроснабжении промышленного предприятия
8.1 Условия производства работ
8.2 Классификация производственных помещений по условиям окружающей среды и степени опасности поражения электрическим током
8.3 Мероприятия по обеспечению безопасной работы с электрооборудованием. Классификация защиты от поражения электрическим током
8.4 Анализ опасности поражения в выбранной сети
8.5 Обеспечение пожарной безопасности электроустановок при эксплуатации. особенности тушения пожара в электроустановках
8.6 Молниезащита установок и сетей
8.7 Защита от воздействия поля промышленной частоты
Заключение
Список используемой литературы
















