151204 (594647), страница 5
Текст из файла (страница 5)
Апериодический ток короткого замыкания:
[8. табл.3.8]
tотк = 0,2 [8. рис.3.62], определяется по расчётным зонам токов короткого замыкания (Та = 0,02 с)
Ударный ток короткого замыкания:
Рис 5.1 Расчётная схема Рис.5.2 Схема замещения
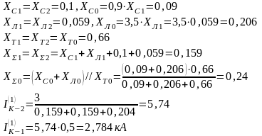
Двухфазное замыкание в точке К-2:
Однофазное замыкание в точке К-2:
Для определения однофазного тока короткого замыкания составляются схемы замещения трех последовательностей - прямой, обратной и нулевой
Рассматриваются короткие замыкания в точке короткого замыкания К-3:
Трёхфазное КЗ:
Периодический ток короткого замыкания:
Апериодический ток короткого замыкания:
Та = 0,03 для системы связкой со сборными шинами 6-10 кВ, где рассматривается короткое замыкание через трансформаторы мощностью 32 МВА [8 табл.3.8]
Ударный ток короткого замыкания:
Двухфазное короткое замыкание в точке К-3:
Рассматривается короткое однофазное замыкание в точке К-1:
Распределение тока однофазного КЗ по ветвям:
Со стороны системы:
Итог расчёта сводится в таблицу 5.2
Таблица 5.2. Расчёт токов короткого замыкания
|
|
|
| |||||||||||||||||
| 110 кВ | 10 кВ | 110 кВ | 10 кВ | 110 кВ | 10 кВ | ||||||||||||||
|
| - | - | 3,144 | - | 0,61 | 6,72 | |||||||||||||
|
| - | - | 2,722 | - | 0,529 | 5,82 | |||||||||||||
|
| От системы | 5,35 | 5, 19 | - | - | 2,874 | - | - | - | - | - | - | |||||||
| От линии | 0,16 | - | - | - | - | ||||||||||||||
5.3 Выбор аппаратов ГПП на напряжении 110 кВ
Выбор выключателей осуществляется по следующим условиям: по напряжению установки Uном>Uуст по длительному току: Iном>Iнорм; Iном>Iмах. по отключающей способности
а) проверка на симметричный ток отключения Iотк ном >Iпо
б) проверка отключения апериодической составляющей тока КЗ:
, где
- нормированное значение содержания апериодической составляющей в отключающем токе.
По включающей способности:
а) Iномвкл>Iпо
б) iвклQ>iуд проверка на термическую стойкость
где ВК - тепловой импульс тока КЗ
Проверка на электродинамическую стойкость:
а) Iдин
Iпо
б) iдин
iуд
предварительно выбирается выключатель ВМТ-110Б-20/1000 УХЛ-1 проверка условий выбора выключателя сведена в таблицу 5.3.
5.3.1 Выбор разъединителей
Выбор разъединителей осуществляется по следующим условиям: по и напряжению установки: Uном>Uуст по длительному току: Iном>Iнорм; Iном>Iмах
на электродинамическую стойкость:
а) Iдин>Iпо
б) Iдин>Iуд
проверка на термическую стойкость
Предварительно выбран разъединитель РДНЗ-П0/1000У1. Проверка условий выбора разъединителя сведена в таблицу 5.3
Таблица 5.3. Выбор выключателей и разъединителей 110 кВ
| Расчетные значения | ВМТ-ПОБ-20/1000УХЛ1 | РДНЗ-110/1000У1 | ||||
|
| 110 |
| 110 |
| 110 | |
|
| 117,56 |
| 1000 |
| 1000 | |
|
| 3,144 |
| 20 | - | - | |
|
| 52 | |||||
|
| 52 | |||||
|
| 2,5 |
| 7.1 | - | - | |
|
| 7,145 |
| 52 |
| 80 | |
|
| 6,8 |
| 1200 |
| 3969 | |
Выбранные выключатели и разъединители проходят по условиям проверки.
5.4 Выбор аппаратов ГПП на напряжение 10 кВ
5.4.1 Выбор выключателей
Условия выбора выключателей остаются те же. В КРУН серии К-59 устанавливаются выключатели типа ВВЭ-10. В таблице 5.5 приведены результаты проверки условий выбора для вводных выключателей. Остальные выключатели выбираются аналогично
Предварительно выбран выключатель ВВЭ-10-20/1600УЗ
Таблица 5.5. Выбор выключателей 10 кВ
| Расчетные значения | ВВЭ-10-20/1600УЗ | ||
|
| 10 |
| 10 |
|
| 1293 |
| 1600 |
|
| 6,72 |
| 20 |
|
| 20 | ||
|
| 20 | ||
|
| 2,5 |
| 52 |
|
| 16,34 |
| 52 |
|
| 7,916 |
| 60 |
Выбранный выключатель удовлетворяет всем условиям выбора.
5.4.2 Контрольно-измерительные приборы на подстанции
В цепях на ГПП требуется устанавливать следующие контрольно-измерительные приборы.
В цепи вводного выключателя: трансформаторы тока и напряжения для подключения амперметра, ваттметра, счетчики активной и реактивной энергии.
На сборных шинах: трансформатор напряжения для подключения вольтметра для измерения междуфазного напряжения, вольтметр с переключением для измерения трех фазных напряжений и счетчики активной и реактивной энергии.
Трансформатор тока в цепи секционного выключателя для подключения амперметра.
Трансформаторы тока на линиях 10 кВ к потребителям для подключения счетчиков активной и реактивной энергии.
5.4.3 Выбор трансформаторов тока
В шкафах серии К-59 устанавливаются трансформаторы тока типа ТЛМ-10. Трансформаторы тока выбираются по следующим условиям:
По напряжению: Uном>Uуст.
Потоку: Iном>Iнорм; Iном>Iмах.
По конструкции и классу точности (в данном случае класс точности должен быть не ниже 0,5).
По электродинамической стойкости (электродинамическая стойкость шинных трансформаторов тока определяется устойчивостью самих шин, поэтому такие трансформаторы не проверяются по этому условию).
По термической стойкости:
или
где Кт - кратность термической стойкости.
По вторичной нагрузке:
, где
- номинальная допустимая нагрузка трансформатора тока в выбранном классе точности.
Так как индуктивное сопротивление токовых цепей не велико, то
,
, rприб - сопротивление приборов, rпр - сопротивление проводов, rк - сопротивление контактов, при количестве приборов до трех rк = 0,05 Ом, при большем количестве rк = 0,1 Ом
Зная rпр можно определить сечение соединительных проводов:
,
где
- удельное сопротивление материала
для провода с алюминиевыми жилами, Iрасч - расчетная длина, зависящая от схемы соединения трансформаторов тока.
Выбор трансформаторов тока проводится на примере для цепи вводных выключателей.
Предварительно для установки выбирается трансформатор тока ТЛМ-ЮУЗ
Таблица 5.7. Технические характеристики ТЛМ - 10 У3
|
|
|
| Класс точности |
|
|
|
| 10 | 1500 | 5 | 0,5 | 0,4 | 100 | 3969 |
Проверка условий выбора:
По напряжению: Uном>Uуст,
Потоку: Iном>Iнорм; Iном1>Iмах
Класс точности равен 0,5
,
Определяется суммарная мощность подключенных приборов
Таблица 5.8. Приборы и их мощность
| Прибор | Тип | Нагрузка фазы, В - А | ||
| А | В | С | ||
| Амперметр | Э-355 | - | 0,5 | - |
| Ваттметр | Д-355 | 0,5 | - | 0,5 |
| Счётчик | САЗИ-681 | 2,5 | - | 2,5 |
| Счётчик | СРИИ-676 | 2,5 | - | 2,5 |
Наиболее загружены фазы А и С - 5,5 В-А. Общее сопротивление приборов:
















