150911 (594613), страница 6
Текст из файла (страница 6)
Выполнение этой обмотки имеет свои особенности.
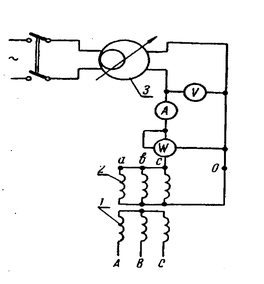
- Для создания равномерного распределения магнитной индукции по высоте стенки бака, среднюю фазу включают встречно относительно крайних (рис. 6.2).
- Наиболее равномерное распределение токов по фазам получают при числе витков в средней обмотке, равном 0,4-0,6 от числа витков в крайней обмотке (фазе).
- При выполнении намагничивающей обмотки нулевая точка фазных напряжений сдвигается так, что на крайних обмотках напряжение увеличивается примерно до 1,3 фазного, а на средней - уменьшается приблизительно до 0,5 фазного.
В этом случае необходимое число витков в крайних обмотках равно:
W1.3 =
(7.7)
и в средней обмотке W2 =
(7.8)
где UФ - фазное значение напряжения сети.
Величина At определяется из таблицы 6.1.
Ток фазы
(7.9)
где m - число фаз.
7.2 Сушка трансформаторов токами нулевой последовательности
Этот. способ сушки отличается от сушки потерями тем, что вместо специальной намагничивающей обмотки используется одна из обмоток трансформатора, соединенная по схеме нулевой последовательности.
Поскольку нет специальной намагничивающей обмотки, уменьшается время подготовки трансформатора к сушке, сокращается общее время сушки трансформатора, экономятся дефицитный проводниковый и теплоизоляционный материалы.
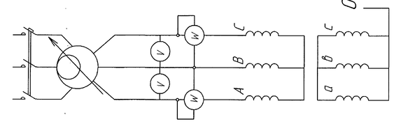
Если обмотка трансформатора, которую решено использовать в качестве намагничивающей, соединена в звезду, то напряжение питания подводится к закороченным выводам фаз и нулевой точке обмотки (рис. 7.2). Если же обмотка трансформатора соединена в треугольник, то напряжение питания подводится в разрыв треугольника. Замкнутые контуры (треугольники) других обмоток должны быть при этом разомкнуты.
Рисунок 7.3 - Сушка трансформатора токами нулевой последовательности.
Трансформаторы, применяемые в сельском хозяйстве, имеют 12-ю группу соединения обмоток. В этом случае очень удобно использовать в качестве намагничивающей обмотку НН трансформатора, которая имеет выведенную нулевую точку.
При сушке трансформатора током нулевой последовательности (ТНП) нагрев происходит за счет потерь: в меди намагничивающей обмотки, в стали магнитопровода и его конструктивных деталей, в баке от действия потоков нулевой последовательности.
Примерно 1/3-1/2 мощности приходится на потери в намагничивающей обмотке и в стали выемной части, а остальная часть - на потери в баке трансформатора. Таким образом, при сушке трансформаторов ТНП имеются внутренние и внешние источники тепла. Тепловой поток за счет хотя и незначительных по величине потерь в намагничивающей обмотке направлен из обмотки в окружающую среду. Такое же направление имеет и поток влаги. То же самое можно сказать относительно потерь в стали выемной части и выхода влаги из ее изоляции. Относительно оставшейся свободной обмотки перечисленные выше источники тепла являются внешними. Однако и здесь следует учитывать специфику расположения обмоток трансформатора. Внутренней на сердечнике трансформатора является обмотка НН, т. е. намагничивающая обмотка.
Применительно к окружающей среде потоки тепла от потерь в стали и намагничивающей обмотке направлены от центра к баку: точно так же направлен и поток влаги из изоляции выемной части трансформатора – налицо положительный градиент тепла. Потери в баке служат внешним источником тепла.
Таким образом, сушка трансформаторов ТНП является как бы сочетанием двух способов сушки: током короткого замыкания и потерями в собственном баке. При этом удачно сочетаются положительные качества того и другого способа сушки, а именно: существующий внутренний источник тепла и возможность сушки трансформатора в условиях эксплуатации непосредственно на месте установки.
Если при сушке трансформатора потерями в баке воздушная подушка между выемной частью и баком играла отрицательную роль, препятствуя разогреву выемной части, то в данном случае роль воздушной подушки положительна. Воздушная - подушка, являясь теплоизоляцией, препятствует увеличению потерь тепла выемной части в окружающую среду и ускоряет разогрев выемной части, а следовательно, сокращает общее время сушки трансформатора.
Такую же положительную роль играют и потери в баке трансформатора. Кожух бака является тепловым барьером между выемной частью трансформатора и окружающей средой и выполняет роль, подобную воздушной подушке. Поэтому если при сушке трансформаторов потерями в собственном баке необходимо наложить на бак теплоизоляцию, то при сушке трансформаторов ТНП теплоизоляции не требуется. Отпадает довольно трудоемкая операция и сокращается время подготовки трансформаторов к сушке, а значит, уменьшается и общее время сушки.
Мощность и напряжение, необходимые при сушке ТНП, определяются следующим образом.
Мощность сушки
Ро=
РF, (7.10)
где F - полная поверхность бака трансформатора, м2;
P - удельный расход мощности, кВт/м2.
Для трансформаторов без тепловой изоляции бака, сушка которых протекает при температуре выемной части 373-383о К (100-110о С) и окружающей среды 283-293о К (10-20о С), значение удельного расхода мощности можно принять равным 0,65-0,9 кВт/м2. Меньшее значение удельной мощности принимают для трансформаторов меньшей мощности.
Для трансформаторов с медными обмотками мощностью до 1000 кВт существует следующая зависимость мощности сушки от номинальной мощности трансформатора:
кВт (7.11)
где Рн - номинальная мощность подвергающегося сушке трансформатора, кВт.
Напряжение сушки определяется из выражения:
при соединении намагничивающей обмотки в звезду и при соединении намагничивающей обмотки в треугольник:
где Z0 - полное сопротивление нулевой последовательности фазы обмотки;
cos
=0,2-0,7.
Чем больше мощность трансформатора, массивнее детали его внутреннего крепежа, толще стенки бака, меньше расстояние между магнитопроводом и баком, тем больше значение cos
. Для трансформаторов от 50 до 1000 кВт с гладкими и трубчатыми баками cos
= 0,5 - 07.
Фазовый ток сушки, необходимый для выбора измерительных приборов и сечения подводящих проводов, может быть определен из выражения:
для трансформаторов с трубчатыми баками.
Сушка трансформаторов ТНП характеризуется почти одинаковым нагревом отдельных элементов выемной части, т. е. обмоток ВН и НН и сердечника. Наиболее нагретой является обмотка НН, если она используется в качестве намагничивающей. Близкий, а иногда и равный ей нагрев наблюдается у сердечников некоторых трансформаторов. Несколько меньший нагрев имеет обмотка ВН. Поэтому температуру выемной части трансформатора при его сушке следует контролировать по температуре обмотки НН. Перепад температуры по высоте элементов (обмоток и сердечника) зависит от конструкции выемной части: высоты и толщины обмоток и вертикальных вентиляционных каналов в них.
В трансформаторах с высокими обмотками малой толщины, не имеющих вентиляционных каналов в самой обмотке, перепад температур составляет 10-15, в трансформаторах, имеющих малую высоту обмоток вентиляционные каналы, этот перепад равен 5 - 10.
Сушка трансформаторов ТНП имеет свои особенности. За счет потоков нулевой последовательности нагреваются бак и стальные детали крепления выемной части трансформатора. Температура нагрева бака по его высоте не одинакова. Максимальный нагрев стенок бака наблюдают в области, лежащей против середины обмоток. Учитывая достаточно большое расстояние между обмоткой ВН и баком, а также теплоизоляцию в виде воздушной подушки, при сушке можно допускать максимальную температуру нагрева бака трансформатора несколько выше допускаемой температуры нагрева обмоток. Но такие случаи наблюдаются очень редко и только в трансформаторах большой мощности.
Вертикальные шпильки между верхними и нижними консолями выемной части выполняют при сушке роль магнитных шунтов для потоков нулевой последовательности. При относительной близости шпилек к сердечнику трансформатора температура их нагрева при сушке может превысить 383 - 393 К (110 – 120о С) и достичь 423- 433 К (150 – 160о С). Но учитывая небольшие размеры шпилек и малый поток тепла, возникающий от потерь в шпильках, такой нагрев абсолютно безопасен.
Сушку трансформаторов целесообразно проводить при естественной циркуляции воздуха. Для этого нужно вывернуть спускную пробку и оставить открытыми все отверстия на крышке бака. В одно из отверстий на крышке бака можно установить газовую трубу длиной 1-1,5 м для дополнительной тяги воздуха из бака и ускорения сушки изоляции. Чтобы облегчить сток конденсата, верхний конец вытяжной трубы загибают на 180о.
При подготовке к сушке трансформаторов выполняют следующие операции.
1. Удаляют масло из бака.
2. Поднимают выемную часть трансформатора и очищают сердечник и обмотки от остатков масла, шлама и грязи.
3. Насухо протирают внутреннюю поверхность бака.
4. Устанавливают на обмотках и сердечнике дистанционные термометры с пределом измерения до 423 К (150оС), имеющие надежный тепловой контакт с измеряемым объектом.
5. Опускают выемную часть трансформатора в бак.
6. Собирают схему сушки.
7. Ограждают трансформатор и вывешивают предупреждающие плакаты.
Производят первые измерения сопротивления изоляции и заносят в журнал сушки.
8. Подают напряжение на намагничивающую обмотку и начинают наблюдать за процессом сушки.
Сопротивление изоляции трансформатора в процессе сушки претерпевает такие же изменения, как и сопротивление изоляции электрических машин во время сушки. Окончив сушку, трансформатор отключают от источника питания. После охлаждения трансформатора до температуры 323-333 К (50-60оС) в него заливают сухое масло. После остывания трансформатора до температуры окружающей среды, но не ранее 3-4 часов после заливки в него масла измеряют и заносят в паспорт трансформатора сопротивление изоляции обмоток.
Недостатком этого способа сушки является то, что необходимо иметь источник питания не стандартных напряжений. Для сушки распределительных трансформаторов сельскохозяйственного назначения источником питания может служить сварочный трансформатор.
При любой сушке трансформаторов необходимо соблюдать правила техники безопасности, так как выводы обмотки ВН могут находиться под большим напряжением относительно земли.
7.3 Сушка трансформаторов током короткого замыкания
Обмотку низшего напряжения обычно закорачивают, а к обмотке высшего напряжения подводят пониженное напряжение, то есть напряжение нагрева, значение которого равно напряжению короткого замыкания UK (рис. 7.4). Тепло, необходимое для нагрева трансформатора, получается за счет потерь в обмотках. Потерями в стали сердечника можно пренебречь, так как поток в стержнях трансформатора при нагреве его токами короткого замыкания (т.к.з.) составляет всего 5-10% от потока при нормальной работе трансформатора.
Рис. 7.4 Схема нагрева трансформатора токами короткого замыкания
















