150911 (594613), страница 5
Текст из файла (страница 5)
5. Точильный аппарат
6. Стенд для испытания электрооборудования
III - Участок очистки и разборки:
7. Компрессор воздушный диафрагменный
8. Центробежный вентилятор вытяжной
9. Сварочный трансформатор
IV - Участок покраски и сушки:
10. Сушильный шкаф
11. Центробежный вентилятор вытяжной
12. Кран консольный
V. Помещение для ремонтного персонала.
VI. Коридор.
6.3 Расчет осветительной сети БТОР
6.3.1 Светотехнический расчет
Искусственное освещение позволяет компенсировать нехватку естественного дневного света при минимальных затратах электроэнергии, электротехнического оборудования и материалов. Освещение влияет на повышение производительности труда, качество выполняемых работ. Светотехнический расчет сводится к выбору вида и системы освещения, нормированной освещенности, коэффициента запаса световых приборов и расчету размещения световых приборов, мощности источников света.
Расчет освещения помещения участка по ремонту пускозащитной аппаратуры ведется методом коэффициента использования светового потока. Этот метод принимается при расчете равномерного освещения горизонтальных поверхностей с учетом отражения от стен, потолка и пола световых потоков.
Вид освещения - рабочее.
Плоскость нормирования освещения - горизонтальная.
Высота рабочей плоскости от пола hp=0,8 м.
Нормированная освещенность Е= 100 лк [7]
Коэффициент запаса Кз= 1,3
Коэффициент неравномерности распределения светового потока Z=1,15
Размер помещения 5,8х3,4х4 (h) м
Коэффициенты отражения Рпола= 10%; Рстен= 30%; Рпот = 50%.
Тип светильника; ЛСП23
Определяем расчетную высоту подвеса:
H0=H0-hр-hсв, м (6.1 )
где Н0 - высота помещения;
hсв - высота свеса светильника
Нр = 4-0,8-0,2=3м.,
Оптимальное расстояние между светильниками:
-Нр
где
и
э - относительные светотехнические и энергетические расстояния между светильниками.
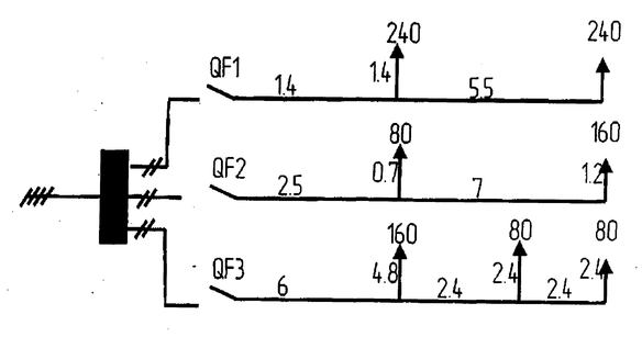
0,9-3 2,7 < L < 3 принимаем L = 2,9 м Число светильников в ряду: Число рядов светильников: где а и b - длина и ширина помещения, м Общее число светильников N= па · пb = 2 · 1 = 2 шт Индекс помещения: По справочнику [7] определяем коэффициент использования светового потока по известным значениям: I, Рпола, Рстен, Определяем расчетный световой поток: Выбираем лампу ЛБР-40. Световой поток одной лампы Фл=2500лм. Световой поток не должен превышать расчетный более чем на 20% и быть меньше 10%. Условие соблюдается. Принимаем к установке в помещении ремонта электрооборудования 15 светильников типа ЛСП23 -2х40 Расчетная установленная мощность светильников РУСТ=РСВ·n = (40·2}·2 = 160 Вт (6.8) Удельная мощность: Расчет остальных помещений БТОР выполняются аналогично, и результаты расчета сведены в таблицу 6.2 Рисунок 6.3 План БТОР с нанесением осветительных сетей 6.3.2 Электротехнический расчет Осветительные нагрузки базы технического обслуживания и ремонта электрооборудования разделены на группы. Для питания осветительных установок применяется напряжение 380/220 В. При составлении расчетной схемы следует руководствоваться следующими рекомендациями предельный ток группы не должен превышать 25 А. число светильников на однофазную двухпроводную группу не должно превышать 20 штук. длина четырехпроводной группы должна быть около 80 м, а трех и двухпроводной - 60 и 35 м. На расчетной схеме указываются все осветительные щиты и отходящие, число проводов и длина групп, мощность источников света и их удаленность от щита. Рисунок 6.4 - Расчетная схема осветительной сети Сечения проводов выбираются исходя, из допустимой потери напряжения и проверяются по нагреву и механической прочности. Допустимая потеря напряжения Рассчитываем внутреннюю проводку для осветительных сетей. Сечение провода для группы I: где Мi =I·Рi - электрический момент С - коэффициент, учитывающий число проводов, материал и напряжение питающей сети. Mi=2,8 · 0,24 +5,5 · 0,24 = 4,36 кВт –м. Принимаем сечение провода S = 2,5 мм2, АПВ. [9] Проверим на длительно допустимый ток: где UФ - фазное напряжение сети, В для провода АПВ S = 2,5 мм2, Iдоп=24 А. Уточним потери напряжения в сети: Сечение проводов для группы 2: Мгр2 =3,2 · 0,08 + 8,2 · 0,16 = 1,56 кВт·м Принимаем сечение провода S = 2,5 мм2, провод АПВ, Iдоп=24 А. Уточним потерю напряжения: Сечение проводов для группы 3: Мгр3=10,8·0,16+10,4·0,08+13,2·0,08 = 3,62 кВт·м Принимаем сечение провода S = 2,5 мм2, провод АПВ, Iдоп=24 А. Уточним потерю напряжения: Сечение провода на вводе ЩО: Принимаем сечение провода S = 2,5 мм2 , провод АПВ, Iдоп=24 А. Длительно-допустимый ток: Уточним потерю напряжения: 0,72%<2,5% Все осветительные сети подлежат защите от коротких замыканий. Кроме того, требуется защита от перегрузок сетей, выполненных открыто проводами с горючей изоляцией. Для защиты групп осветительных сетей выбираем автоматические выключатели типа ВА 5125, установленные в осветительном щите типа ПР 8501. Выбор автоматического выключателя проведем на примере первой группы.Условия выбора следующие: Uн.aвт.≥ Uн.сети 380 В> 220 В Iн.aвт.≥ Iраб. Iн.aвт = 25А> 1.35 А Iт.p.≥ Ip 5А>1.35А Iэ.м.р. ≥10 Iн.т.p. = 10 · 5 = 50 А Расчеты для второй и третьей групп про изводится аналогично. На вводе в осветительный щит выбираем автомат типа ВА 5125. Iн.aвт. = 25 А расцепитель комбинированный Uн.aвт.≥ Uн.сети 380 В = 380 В Iн.aвт.≥ Iраб. Iн.aвт = 25А> 1.7 А Iт.p.≥ Ip 5А>1.7А Iэ.м.р. ≥10 Iн = 10 · 5 = 50 А Проверка на срабатывание защиты при однофазном коротком замыкании: 3 · 50А<211А 150А<211А где Zтp - полное сопротивление трансформатора; Zп - сопротивление петли фаза-ноль; Uф - фазное напряжение сети. Светотехническая ведомость Удель-ная мощ-ность, Вт/м2 8 10,6 5,5 5,5 6,6 4,7 6,7 Уста-новленная мощ-ность, Вт 160 480 80 80 160 80 40 1080 Лампа Мощность, Вт 40 40 40 40 40 40 40 тип ЛБР 40 ЛБР 40 ЛБР 40 ЛБР 40 ЛБР 40 НБК-40 НБК-40 Светильник Коли-чество 2 6 1 1 2 2 1 тип ЛСП23 2х40 ЛСП23 2х40 ЛСП23 2х40 ЛСП23 2х41 ЛСП23 2х42 НСП 02 НСП 03 Коэф-фици-ент запаса 1,3 1,3 1,3 1,3 1,3 1,15 1,15 Нормированная осве-щен-ность 100 200 100 100 100 10 2 Сис-тема освеще-ния общ. общ. общ. общ. общ. общ. деж. Вид осве-щения раб. раб. раб. раб. раб. деж. деж. Коэфф-ты Пола, % 10 10 10 10 10 10 - Потолка, % 50 50 50 50 50 10 - Стен, % 30 30 30 30 30 30 30 Характеристика помещений Класс помещен. по сух. сух. сух. сух. сух. сух. влаж. Высота расчета, м 4 4 4 4 4 4 4 Пло-щадь, м2 20 45 14,4 14,4 24 16,8 6 Наименование 1. Участок ремонта ПЗА 2. Участок ремонта электрооборудования 3. Участок очистки и разборки 4. Участок покраски и сушки 5. Помещения ремонтного персонала 6. Коридор 7. Освещение входа 6.4 Расчет силовых электрических сетей БТОР Таблица 6.3. Технические данные электрооборудования БТОР Наименование оборудования Кол-во Номинальная мощность, кВТ. Коэффициент загрузки Ррасч, кВт Участок очистки и разборки Компрессор диафрагменный 1 4 0,8 3,2 Сварочный трансформатор 1 1,5 0,9 1,35 Вентиляционная установка 1 13,6 0,95 12,92 Участок ремонта электрооборудования Электротелфер 1 2,2 0,85 1,87 Точильный аппарат 1 1,5 0,95 1,425 Стенд для испытаний эл. оборудования 1 7,1 0,95 6,745 Участок ремонта ПЗА Точильный аппарат 1 1,5 0,95 1,425 Станок сверлильный 1 0,6 0,95 0,57 Стенд для ремонта и настройки ПЗА 1 6,65 0,95 6,3175 IV. Участок покраски и сушки Сушильный шкаф 1 5 1 5 8ентиляционнаяустановка 1 0,25 0,9 0,225 Кран консольный 1 3 0,8 2,4 ИТОГО 47,23 Для распределения нагрузки в помещения БТОР и защиты электрических сетей от токов короткого замыкания выбираем силовой распределительный щит серии МР-8501-1000 c автоматическими выключателями на входящих линиях ВА 5131 и ВА 5139 на вводе. (10) Выбор защитных аппаратов и проводов проведем на примере в помещении участка покраски и сушки, где имеются сушильный шкаф, вентиляционная установка и консольный кран. Номинальный ток сушильного шкафа: где cos Номинальный ток электродвигателя консольного крана: где Тогда расчетный ток четвертой группы составит: IрасчIV. =8,45+0,74+7,3=16,5 А Выбор автоматического выключателя сушильного шкафа: Выбираем автоматический выключатель типа ВА 5125 Uн.aвт.≥ Uн.сети 380 В = 380 В Iн.aвт.≥ Iраб. Iн.aвт.=25 А> 8,45 A Iт.p. = 1,25 · Ip = 1,25 · 8,45 =10,6 А Выбираем стандартный тепловой расцепитель Iт.p.= 12,5 А> 10,6 А 4. Iэ.м.р = 10 · Iтp = 10 · 12.5=125 А Iэ.м.р:= 1,25 · 12,5 = 15,6 А 125 А> 15,6 А. Допустимый ток провода: где Кl = 1 поправочный коэффициент на температуру окружающей среды (15°С). К2 = 1 - коэффициент на число прокладываемых проводов (К2 = 1 при четырех проводах) Выбираем провод АПВ 4х2,5 Iдоп=19А> 15А [9] Проверка провода по потере напряжения где i - удельная проводимость алюминия. S - сечение про вода, мм2 l - длина проводника, м. Допустимая потеря напряжения на отходящих линиях от группового щита до потребителя Провод по потере напряжения проходит. Выбор магнитного пускателя для управления сушильным шкафом: Uн.aвт.≥ Uн.сети 380 В = 380 В Uн.кaт. ≥ Uн.сф. 220 В =220 В Iн.a. ≥ Ip 10 А> 8,45 А Выбираем пускатель ПМЛ 1101043. [10] Выбор автоматического выключателя для защиты вентиляционной установки: Выбираем ВА 5125: Uн.a. > Uн.с. Iн.a. ≥ Ip 25А>0,74А Iт.p. = 1,25 · Ip = 1,25 · 0,74 = 0,96 А Выбираем стандартный расцепитель 1,0 А Iэ.м.р. >10 Iн = 10 А Iэ.м.р рас. = К · Iп Iп = 5 · Iр= 5 · 0,74 = 3,7 А Для легкого пуска К = 1,6 Iэ.м.р рас = 1,6 · 3,7 = 5,92 А 10 А> 5,92 А Допустимый ток провода: Выбираем провод АПВ 4х2,5, проложенный в трубе Iдоп.пр. = 19 А [9] 19А> 1,25А [9] Проверка провода по потере напряжения 3% > 0,018% Провод по потере напряжения проходит. Выбор защитной аппаратуры на отходящей четвертой группе потребителей. Для защиты выбираем автомат ВА 5131 Uн.a.≥ Uн.с. 380 В = 380 В Iн.a. = 100 А ≥ Iп.пр. = 15,5 А 3. Iнp.= 1,25 · Iпр 4. Iэ.м.р рас. = К · Iпр К - коэффициент, учитывающий условия пуска. При защите линии, к которой подключены несколько электроприемников: где k0 - коэффициент одновременности. In - пусковой ток наибольшего двигателя. I пр = 1 (8,45+0,74)+30 = 41,19 А Iном.p =1,25 · 41,19 = 51,5 А < 63 А. I э.м.р. > 1,6 · Iпр.= 59,9 А Допустимый ток провода: где К2; = 0,6 - при числе проводов 12 Выбираем провод АПВ 4х6 Iдоп. = 30 А Проверка: 30 А> 27,5 А; Провод по нагреву проходит. Проверка по потере напряжения: Р - общая мощность группы Р = (5+0,24+2,4) 1 = 7,64 кВт 3% > 0,22% Провод по потере напряжения проходит. Для защиты на вводе в силовой щит выбираем автоматический выключатель. Номинальный ток на вводе: Выбираем автоматический выключатель типа ВА 5135, комбинированный: Uн.a.≥ Uн.с. Iн.a > Iр.mах 250А > 108А Iт.p. > 1,25 Ip. =1,25 · 108 = 135А Выбираем стандартный тепловой расцепитель. Iт.p. = 160 А Iэ.м.р. = К · Iп.р. Наибольший пусковой ток у компрессора. Iп = 34,22А In.p = 76,7+34,22 = 110,9 А Iэ.м.р. = 1,6 · 10,9 =177,5 А Iэ.м.р. = 10 · Iт.p. = 10 · 160 = 1600 А 1600 А > 177,5 А При пуске защита не сработает. Допустимый ток провода: Выбираем кабель АВВГ 4 х 50, прокладываемый в земле с током Iдоп = 175А. Проверка на нагрев: 175 А> 110,5 А По нагреву кабель проходит. Проверка по потере напряжения 3%>0;11%. Кабель проходит. Рисунок 6.5 Расчетная схема силовой сети БТОР Питание базы в настоящее время осуществляется от КТП–100–10–81У1 мощностью 100 кВа. Необходимость замены трансформатора отсутствует. 7. Сушка трансформаторов Вследствие своей гигроскопичности изоляция трансформаторов поглощает влагу из окружающей среды. В масле, залитом в бак трансформатора, помимо влаги, поглощенной из окружающей среды, происходит образование влаги в результате окислительных процессов. Появление влаги в изоляции приводит к резкому снижению ее электрической прочности, поэтому необходимо сушить трансформатор. В настоящее время наиболее широко применяются способы сушки трансформаторов потерями в собственном баке, токами нулевой последовательности и токами короткого замыкания. 7.1 Сушка трансформаторов потерями в собственном баке Этот способ сушки является наиболее распространенным несмотря на явные недостатки. Выемная часть трансформатора сушится в своем баке без масла. Нагрев производится потерями в баке, для чего на бак трансформатора (при необходимости теплоизолированный асбестом) наматывается однофазная или трехфазная намагничивающая обмотка (Рис. 7.1, 7.2). Если трансформатор сушат в помещении, то теплоизоляцию бака не делают. Сушка трансформатора потерями в собственном баке удобна тем, что она может быть произведена на месте установки трансформатора без его транспортировки при любом источнике питания низкого напряжения. К недостаткам этого способа относятся: специальная намагничивающая обмотка и относительно большой расход электроэнергии. Этот способ сушки имеет внешний источник тепла (потери в баке), поэтому тепловой градиент отрицателен и время сушки относительно велико. Рисунок 7.1 — Однофазная намагничивающая обмотка при сушке трансформатора Рисунок 7.2 — Трехфазная намагничивающая обмотка при сушке трансформатора Воздушная подушка между баком и выемной частью оказывает неблагоприятные воздействия при сушке: являясь теплоизоляцией, она увеличивает потери мощности (тепла), идущие в окружающую среду, и значительно замедляет разогрев выемной части. Поэтому общее время сушки трансформатора увеличивается. Расчет однофазной намагничивающей обмотки производится следующим образом. Необходимое число витков намагничивающей обмотки: где U — напряжение источника тока, В; f - частота тока, Гц; В - магнитная индукция, Тл; а — глубина проникновения потока, м; l1 — периметр бака, м. Величина А1 определяется из таблицы 7.1 для данного значения удельных потерь где F0 - поверхность бака, на которой размещена намагничивающая обмотка, м2; F0 = hl1, (7.3) где h - высота стенки бака, на которую наматывается обмотка, м. Потери мощности в окружающую среду Р1 определяются из выражения: P1=kt F(tk-t0) кВт, (7.4) где – коэффициент теплоотдачи, кВт/м2·град. Для утепленного асбестом трансформатора kt = 5,3·10-3, для неутепленного кт = 12·10"3 кВт/м2 град; F - полная поверхность бака трансформатора, м2; tK - конечная температура нагрева бака, обычно tK = 383-3880К (110-115°С); to - температура окружающей среды. При установившемся процессе сушки: Р=Р1 и Нормально Величина тока в намагничивающей обмотке: где cos Чтобы получить более равномерное распределение температуры внутри бака, намагничивающую обмотку наматывают на 40-60% высоты бака (снизу), причем витки в нижней части бака располагают гуще, плотнее, чем в верхней части. Сушка трансформаторов потерями в собственном баке при помощи однофазной намагничивающей обмотки приводит к несимметрии токов и искажению фазовых напряжений питающей сети. Для сушки крупных трансформаторов требуется значительная мощность, поэтому при малой мощности источника тока рекомендуют сушить трансформаторы при помощи трехфазной намагничивающей обмотки.
светильников (6.3)
ряд (6.4)
(6.5)
= 0,38
(6.6)
(6.7)
Вт/м2 (6.9)
принимается равной 2,5 % (0,2% потери на вводе в ОЩ и 2,3% в группе).
(6.10)
(6.11)
- суммарная мощность светильников
(6.12)
мм2
(6.13)
(6.14)
( 6.15)
- коэффициент полезного действия вентилятора
: коэффициент мощности двигателя
- коэффициент полезного действия крана
U%:
U%=3% > 0,25%.
U%:
U%доп >
U%пр. расч.
- сумма рабочих потоков всех приемников, за исключением одного наибольшего.
( 6.16)
U%:
(7.1)
Р, которые находятся следующим образом. Мощность Р, потребная для нагрева трансформатора, может быть найдена из выражения:
, (7.2)
P - удельные потери, кВт/м2;
(7.5)
(7.6)
= 0,5-0,7 для трансформаторов, имеющих гладкие или трубчатые баки; для трансформаторов с ребристыми баками cos
≈0,3. Чем толще стенки бака, массивнее детали наружного крепежа, тем выше значение cos
.
















