148508 (594514), страница 6
Текст из файла (страница 6)
для Икарус-250, по данным РДАУП «Автобусный парк №1»,
Sр=93 (руб.).
Амортизационные отчисления на полное восстановление подвижного состава определяются по формуле
Sа=Ва*Nас*L*Kа/1000*100, (4.17)
где Ва – амортизируемая стоимость автобуса, для МАЗ-152 Ва=323894600 (руб.), для Икарус-250 Ва=6176471 (руб.);
Nас – норма амортизационных отчислений, Nас=0,17%;
Ка – коэффициент корректировки норм амортизации подвижного состава в зависимости от условий эксплуатации, Ка=1,3 [6];
для МАЗ-152 Sа=323894600*0,17*1*1,4/1000*100=770,9 (руб.),
для Икарус-250 Sа=6176471*0,17*1*1,4/1000*100=14,7 (руб.).
Налоги и платежи, включаемые в себестоимость в соответствии с действующим законодательством, в нашем случае составят условно:
для МАЗ-152 Nсс=3,5 (руб.), для Икарус-250 Nсс=1,4 (руб.).
Себестоимость перевозок определяется по формуле
S= ЗПр+ Осс+ Sт+ Sсм+ Sш+ Sр+ Sа+ Nсс (4.18).
При использовании автобуса МАЗ-152
S=105,8+42,3+321,3+14,5+19,4+126,1+770,9+3,5=1404 (руб.), а при применении Икарус-250 S=105,8+42,3+272,1+12,2+19,4+93+14,7+1,4=560,9 (руб.).
Плановая прибыль определяется по формуле (4.8). Для МАЗ-152 П=1404*0,0942=132,3 (руб.), а для Икарус-250 П= 560,9*0,0942=52,8 (руб.).
Налоги, сборы и отчисления, уплачиваемые из выручки, исчисляются в соответствии с действующим законодательством и в нашем случае составляют:
Nсс= 41,8 (руб.) – для МАЗ-152; Nсс=16,6 (руб.) – для Икарус-250.
Стоимость перевозки определяется по формуле (4.9), для МАЗ-152 Дд=1404+132,3+41,8=1578,1 (руб.), для Икарус-250 Дд=560,9+52,8+16,6=630,5 (руб.).
Стоимость перевозки с учетом налога на добавленную стоимость (Дндс) определяется по формуле (4.10)
Для МАЗ-152 Дндс=1578,1*1,18=1862,2 (руб.), для Икарус-250 Дндс=630,5*1,18=744 (руб.).
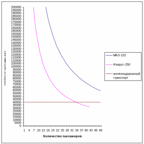
Итого, стоимость организации рейса Гомель – Феодосия при использовании автобуса МАЗ-154 составит: C=20,49*14333,6+1388*1862,2=2878429,1 (руб.), а при использовании автобуса Икарус-250 С= 25,58*11767,1+1388*744=1333674,4 (руб.). Зависимость стоимости поездки от количества перевозимых пассажиров представлена на рисунке 4.1.
Рисунок 4.1 – Зависимость стоимости поездки от количества перевозимых пассажиров
Поскольку в 2005 году на маршруте Гомель – Феодосия в среднем наполняемость автобусов составляла 35 пасс., то можно определить стоимости проезда в автобусах Икарус-250 и МАЗ-152 на маршруте Гомель-Феодосия (Таблицы 4.1–4.2). Так, стоимость проезда из Гомеля в Феодосию на автобусе Икарус – 250 составит
С= (11333,6*25,58+744*1388)/35=38105 (Руб.).
Анализ таблиц раскрывает существенную разницу в стоимостях проезда в автобусах Икарус-250 и МАЗ-152 на рассматриваемом маршруте. Осуществление поездки в автобусе Икарус-250 будет актуальным для пассажиров, для которых стоимость поездки является важнейшим доминирующим фактором при выборе транспортного средства, а в автобусе МАЗ-152 – для пассажиров, отдающим предпочтение таким факторам как комфортабельность поездки, скорость движения и время в пути.
4.2 Расчет стоимостей перевозок на разрабатываемых международных автобусных маршрутах Гомель – Киев, Гомель – Судак, Гомель – Симферополь и Гомель – Феодосия при использовании автобусов МАЗ-152
Поскольку на разрабатываемых международных автобусных маршрутах, для организации которых будет использоваться автобус МАЗ-152, посадка и высадка пассажиров будет производиться только на начальных и конечных остановочных пунктах, то расчет стоимостей перевозок будет выполняться исходя из предположения полной загрузки автобуса, составляющей 49 пассажиров.
Стоимости организации рейсов, а также стоимости проезда по разрабатываемым маршрутам сведены в таблицу 4.1.
Таблица 4.1 – Расчет стоимостей перевозок на разрабатываемых международных автобусных маршрутах
| Наименование маршрута | Стоимость проезда, (руб.) | Стоимость организации рейса, (руб.) |
| Гомель – Феодосия | С=(14333,7*20,57+ +1862,2*1299)/49=55385 | С=(14333,7*20,57+ +1862,2*1299)=2713842 |
| Гомель – Судак | С=(14333,7*19+ +1862,2*1234)/49=52455 | С=(14333,7*19+ +1862,2*1234)=2570295 |
| Гомель – Симферополь | С=(14333,7*16,73+ +1862,2*1130)/49=47839 | С=(14333,7*16,73+ +1862,2*1130)=2344089 |
| Гомель – Киев | С=(14333,7*4,5+ +1862,2*270)/049=11577 | С=(14333,7*4,5+ +1862,2*270)=567296 |
4.3 Сравнение разрабатываемых вариантов
Проведем технико-экономическое сравнение предлагаемых вариантов перевозок пассажиров (Таблица 4.2). Расчет доходов по первому варианту производится на основании количества продаваемых билетов. Как правило, среди 35 пассажиров, следующих по маршруту Гомель – Феодосия, 50% осуществляют поездку до Феодосии, 25% – до Судака и 25% – до Феодосии. Расчет доходов по второму варианту базируется на основании полной наполняемости автобуса.
Таблица 4.2 – Технико-экономические характеристики предлагаемых вариантов перевозок пассажиров
| Сравни-ваемые вариан- ты | Количество рейсов, выполня-емых с 18.05 по 10.09 | Доходы, тыс. руб. | Себесто-имость, тыс. руб. | Налоги, тыс. руб. | Прибыль, тыс. руб. | Рента-бель-ность, % | ||||||
| 1 Вариант: Выполнение перевозок по действующему маршруту Гомель – Феодосия с применением автобусов: | ||||||||||||
| А) Икарус-250 | 116 | 147200 | 116600 | 1942 | 6149 | 5,2 | ||||||
| Б) МАЗ-152 | 116 | 318800 | 251700 | 4427 | 14020 | 5,6 | ||||||
| 2 Вариант: Выполнение перевозок по разрабатываемым маршрутам: | ||||||||||||
| Гомель – Феодосия | 32 | 86840 | 65480 | 1571,5 | 6548 | 9,42 | ||||||
| Гомель – Судак | 34 | 87390 | 65890 | 1961 | 6211 | 9,42 | ||||||
| Гомель – Симферо-поль | 32 | 75010 | 56550 | 1684 | 5331 | 9,42 | ||||||
| Гомель – Киев | 102 | 57860 | 43630 | 1298 | 4111 | 9,42 | ||||||
| Итого по варианту №2 | 200 | 307100 | 231550 | 6892 | 21825 | |||||||
Анализ таблицы 4.2 показывает, что наиболее рентабельным оказывается второй вариант перевозок пассажиров. Разработанный вариант имеет следующие преимущества по сравнению с первым действующим вариантом:
-
Стоимости проезда по второму варианту значительно ниже, чем по первому. Данный факт является одним из доминирующих при выборе пассажирами перевозчика;
-
Скорость движения автобуса МАЗ-152 на 15% выше скорости движения автобуса Икарус-250;
-
Изменение участка Киев – Феодосия действующего маршрута Гомель – Феодосия позволит сократить пробег автобуса за рейс и уменьшить время поездки;
-
Полная наполняемость автобуса будет обеспечивать наиболее рациональное использование подвижного состава;
-
Оборудование автобуса МАЗ-152 будет создавать наиболее комфортабельные, по сравнению с автобусом Икарус – 250, условия поездки для пассажиров.
Рассмотрены две модели приобретения автобусов МАЗ-154: в непосредственный кредит и в лизинговый кредит (Таблицы 4.3 и 4.4). Как показывает анализ данных таблиц, приобретение автобусов в лизинговый кредит является наиболее выгодным решением по сравнению вариантом непосредственного кредита.
Таблица 4.3 – Финансовая модель приобретения автобусов (непосредственный кредит)
| № п.п | Наименование затрат | Годы | Всего | |||||
| 2006 | 2007 | 2008 | 2009 | 2010 | ||||
| 1 | Приобретается автобусов: всего | 2 | ||||||
| 2 | Стоимость за единицу, тыс. долл. | 151,141 | ||||||
| 3 | Инвестиционные затраты (тыс. долл.) | 302 | ||||||
| 4 | Финансовые обязательства дороги: | |||||||
| 4.1 | Возврат кредита | 60,5 | 60,5 | 60,5 | 60,5 | 60,5 | 302,3 | |
| 4.2 | Оплата процентов по кредиту | 28,7 | 23,0 | 17,2 | 11,5 | 5,7 | 86,2 | |
| 5 | Всего финансовых обязательств | 89,2 | 83,4 | 77,7 | 71,9 | 66,2 | 388,4 | |
| 6 | Налог на прибыль, 24% | 21,4 | 20,0 | 18,6 | 17,3 | 15,9 | 93,2 | |
| 7 | Итого (п. 5 + п. 6): | 110,6 | 103,5 | 96,3 | 89,2 | 82,1 | 481,7 | |
Таблица 4.4 – Финансовая модель приобретения автобусов (лизинговый кредит)
| № п.п | Наименование затрат | Годы | Всего | |||||
| 2006 | 2007 | 2008 | 2009 | 2010 | ||||
| 1 | Приобретается автобусов: всего | 2 | ||||||
| 2 | Стоимость за единицу, тыс. долл. | 151,141 | ||||||
| 3 | Инвестиционные затраты (тыс. долл.) | 302 | ||||||
| 4 | Финансовые обязательства дороги: | |||||||
| 4.1 | Возврат кредита | 60,5 | 60,5 | 60,5 | 60,5 | 60,5 | 302,3 | |
| 4.2 | Оплата процентов по лизингу | 28,7 | 23,0 | 17,23007 | 11,486716 | 5,743358 | 86,2 | |
| 4.3 | Всего финансовых обязательств | 89,2 | 83,4 | 77,7 | 71,9 | 66,2 | 388,4 | |
5. Охрана труда водителя международного автобуса
Режимы труда и отдыха водителей в международном сообщении устанавливаются в соответствии с Европейским соглашением, касающимся работы экипажей транспортных средств, производящих международные автомобильные перевозки (ЕСТР), государством – участником которого является Беларусь. Водители автобусов международного сообщения должны быть не моложе 21 года. Водитель, выполняющий перевозки пассажиров по международным маршрутам в радиусе более 50 км от места постоянного хранения автобуса, должен иметь стаж работы более 1 г. на транспортных средствах с разрешенным весом свыше 3,5 т, или перевозящих пассажиров по международным маршрутам с удалением до 50 км от места постоянного хранения этих транспортных средств.
Продолжительность управления автобусом между любыми двумя периодами ежедневного отдыха или периодами ежедневного и еженедельного отдыха (ежедневная продолжительность управления) не должна превышать 9 ч. Она может быть увеличена дважды в течение одной недели до 10 ч. Общая продолжительность управления автотранспортным средством в течение любых двух недель подряд не должна превышать 90 ч. После непрерывного управления автобусом в течение 4,5 ч водитель должен сделать перерыв не менее, чем на 45 мин (если не наступает период отдыха), либо за то же время сделать два-три перерыва не менее 15 мин каждый. Во время этих перерывов водитель не должен выполнять никакой другой работы. Такие перерывы не могут рассматриваться в качестве ежедневного отдыха.
В течение каждых 24 ч водителю должен быть предоставлен непрерывный ежедневный отдых продолжительностью не менее 11 ч. Этот отдых может быть сокращен до 9 ч не более 3 раз в течение одной недели при условии, что до конца следующей недели водителю предоставляется соответствующий отдых в качестве компенсации. В дни, когда продолжительность отдыха не сокращается, он может быть разбит на два или три отдельных периода в течение 24 ч, один из которых должен составлять не менее 8 ч подряд. В этом случае общая продолжительность отдыха увеличивается не менее, чем до 12 ч. Если в течение каждых 30 ч автобусом управляли по крайней мере 2 водителя, каждый из них должен иметь период отдыха продолжительностью не менее 8 ч подряд.
















