144308 (594051), страница 5
Текст из файла (страница 5)
Сопутствующий дренаж надо закладывать на 0,3-0,7м ниже подошвы основания канала.
Сопутствующий дренаж следует прокладывать с одной стороны канала на расстоянии 0,7-1,0 м от наружной грани канала. Расстояние 0,7 м необходимо для размещения смотровых колодцев.
При устройстве проходных каналов дренаж можно прокладывать под каналом по его оси. В этом случае на дренаже следует устраивать специальные смотровые колодцы с люками, заделанными в днище канала.
В случае заложения основания канала на глинистых и суглинистых грунтах, а также на песчаных грунтах с коэффициентом фильтрации менее 5 м/сутки, под основанием канала необходимо устраивать пластовый дренаж в виде сплошного песчаного пласта.
Пластовый дренаж должен быть соединен с дренирующей обсыпкой сопутствующего трубчатого дренажа.
При устройстве каналов в глинистых и суглинистых грунтах, в грунтах слоистого строения, а также в песчаных грунтах с коэффициентом фильтрации менее 5 м/сутки, с обеих сторон канала должны быть отсыпаны вертикальные или наклонные призмы из песка с коэффициентом фильтрации не менее 5 м/сутки.
Песчаные призмы предназначаются для приема притекающей с боков воды и устраиваются аналогично песчаным призмам головного и пристенного дренажей.
2.3.8 Дренаж приямков и заглубленных частей подвальных помещений
Дренаж приямков и заглубленных частей подвальных помещений должен решаться в каждом случае в зависимости от местных гидрогеологических условий и принятых конструкций зданий.
Для этой цели могут быть рекомендованы следующие решения: заглубление низового участка дренажа, когда заглубленные помещения и приямки расположены у низовой его части, считая по течению воды в дренаже;
-
общее понижение дренажа при заложении дренажа и защищаемого сооружения в песчаных грунтах;
-
разделение общего дренажа на отдельные части с самостоятельными выпусками; устройство дополнительных локальных дренажей.
При дренировании отдельных приямков и заглубленных помещений необходимо обратить особое внимание на мероприятия против выноса грунта из-под фундаментов здания.
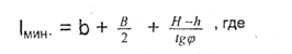
При устройстве кольцевых дренажей фундаменты здания могут быть заложены несколько выше дренажа. Превышение фундаментов здания над дренажом и расстояние дренажа от здания должны быть проверены с учетом угла внутреннего трения грунта по формуле:
1МИН. - наименьшее расстояние оси дрены от стены здания в м
b - уширение фундамента здания в м,
В - ширина дренажной траншеи в м,
Н - глубина заложения дрены в м,
h - глубина заложения фундамента в м,
Ф - угол внутреннего трения грунта.
При заложении дренажа ниже фундамента зданий с целью исключения суффозии грунтов, особое внимание следует обратить на правильный подбор и устройство дренажных обсыпок, на качество заделки швов и отверстий в колодцах, а также на мероприятия, исключающие вынос грунта при разрытии траншей дренажа.
При большой величине понижения горизонта грунтовых вод под фундаментами (существующими и проектируемыми) следует производить расчет осадки грунта.
При устройстве перепадов на дренаже в пределах зоны влияния нижней дрены, также следует предусматривать мероприятия, перечисленные выше.
Перепадные колодцы должны устраиваться с тщательной заделкой всех швов и отверстий.
Локальные дренажи для отдельных приямков рекомендуется устраивать по типу пластового дренажа.
2.3.9 Другие виды дренажей
В некоторых случаях требуемое понижение уровня грунтовых вод может быть достигнуто системой общего дренирования территории (головным и систематическим дренажом).
Дренажи могут прокладываться совместно с водостоками (см. рис. 2.12). При засыпке речек, ручьев, логов и оврагов; являющихся естественным дренажом грунтовых вод, помимо коллекторов для отвода поверхностных вод необходимо устраивать дренажи для приема грунтовых вод.
Рис. 2.12 – схема прокладки дренажа над водостоком
Дренажам должна быть обеспечена связь с водоносным пластом с обеих сторон водосточного коллектора. При большом притоке подземных вод, а также при заложении коллектора на глинах и суглинках, прокладывают две дрены, располагая их по обе стороны коллектора.
При малом притоке грунтовых вод и расположении водосточного коллектора в песчаных грунтах можно прокладывать одну дрену, располагая ее со стороны большего притока воды. Если при этом песчаные грунты имеют коэффициент фильтрации менее 5 м/сутки, под основанием коллектора должен быть устроен пластовый дренаж в виде сплошного пласта или отдельных призм.
При выклинивании водоносного пласта на склонах и в откосах необходимо. страивать перехватывающие дренажи.
Перехватывающие дренажи закладывают на глубине не меньшей чем глубина промерзания и устраивают их по типу головного дренажа.
Когда водоносные слои выражены неясно и подземные воды выклиниваются по всей площади откоса, устраивают специальные откосные дренажи.
При устройстве подпорных стенок, в местах выклинивания подземных вод, устраивают застенный дренаж. Застенный дренаж представляет собой сплошную засыпку из фильтрующего материала, уложенного за стенкой. При небольшой длине застенный дренаж может быть уложен без трубы. При значительной длине рекомендуется устраивать трубчатый дренаж с дренирующей обсыпкой.
Для улавливания родников, выклинивающихся на склоне, устраивают каптажные колодцы.
Откосные и застенные дренажи и каптажные колодцы должны иметь обеспеченные выпуски воды.
Для защиты существующих подвальных помещений и подполий зданий тип дренажа выбирают в каждом конкретном случае, руководствуясь местными условиями.
В песчаных грунтах устраивают кольцевые и головные дренажи.
В глинистых и суглинистых грунтах при глубоком заложении фундаментов устраивают пристенные дренажи, при условии, что такое решение допускается
конструкцией фундаментов и стен здания.
Пластовый дренаж устраивают в случае, когда в подвале может быть устроен второй пол на более высоких отметках. В этом случае между старым и новым полом насыпают слой фильтрующего материала (крупнозернистого песка с призмами гравия или щебня) и соединяют его с наружным трубчатым дренажом, как и в обычных пластовых дренажах.
При проектировании и строительстве дренажей у существующих зданий должны быть предусмотрены меры против выноса и просадки грунтов.
Разрытие траншеи дренажа в этих случаях следует вести короткими захватками с немедленной укладкой дренажа и обратной засыпкой траншеи.
2.3.10 Трасса дренажа
Трассы кольцевых, пристенных и сопутствующих дренажей определяются привязкой к защищаемому сооружению.
Трассы головных и систематических дренажей определяются в соответствии с гидрогеологическими условиями и условиями застройки.
При заложении дренажа ниже подошвы фундаментов соседних сооружений и сетей расстояния между ними должны быть проверены с учетом угла естественного откоса грунта от края подошвы фундамента сооружения (или сети) до края траншеи дренажа.
2.3.11 Продольный профиль дренажа
Глубина заложения дренажей должна быть не меньше глубины промерзания грунта.
Глубина заложения головных, кольцевых и систематических дренажей определяется гидравлическим расчетом и заглублением защищаемых зданий и сооружений.
Глубина заложения пристенных и сопутствующих дренажей определяется в соответствии с глубиной защищаемых сооружений.
Продольные уклоны дренажа рекомендуется принимать не менее 0,002 для глинистых грунтов и 0,003 для песчаных грунтов.
Наибольшие уклоны дренажей следует определять, исходя из максимально допустимой скорости течения воды в трубах - 1,0 м/сек.
2.3.12 Расстановка смотровых колодцев
Смотровые колодцы следует устанавливать в местах поворотов трассы и изменения уклонов, на перепадах, а также между этими точками при больших расстояниях.
На прямых участках дренажа нормальное расстояние между смотровыми колодцами - 40 м. Наибольшее расстояние между смотровыми колодцами дренажа -50 м.
На поворотах дренажа у выступов зданий и у камер на каналах устройство смотровых колодцев не обязательно, при условии, что расстояние от поворота до ближайшего смотрового колодца не более 20 м. В случае; когда на участке между смотровыми колодцами дренаж делает несколько поворотов, смотровые колодцы устанавливают через один поворот.
2.3.13 Устройство выпусков
Выпуск воды из дренажей производят в водостоки, водоемы и овраги.
Присоединение дренажей к водостокам, как правило, следует осуществлять выше шелыги водостока. В случае присоединения дренажа ниже шелыги трубы водостока, на участке выпуска дренажа необходимо предусматривать обратный клапан. Не рекомендуется присоединение дренажа к водостокам ниже уровня воды в последних при периоде превышения 3 раза в год.
При выпуске в водоем дренаж должен быть заложен выше горизонта воды в водоеме во время паводка. При кратковременном повышении горизонта водоема дренаж в необходимых случаях может быть заложен ниже паводкового горизонта при условии оборудования выпуска дренажа обратным клапаном.
Устьевой участок дренажного выпуска в водоем должен быть заглублен ниже горизонта воды на толщину ледяного покрова с устройством перепадного колодца.
При невозможности устройства выпуска воды из дренажа самотеком необходимо предусмотреть насосную станцию (установку) перекачки дренажных вод, работающую в автоматическом режиме.
2.3.14 Совмещение дренажа с водостоком
При проектировании дренажа следует рассмотреть вариант прокладки его совместно с водостоком.
При достаточной глубине заложения водостока дренаж следует располагать над водостоком в одной вертикальной плоскости с выпуском дренажных вод в каждый смотровой колодец водостока. Расстояние в свету между трубами дренажа и водостока должно быть не менее 5 см.
В случае невозможности из-за глубины заложения расположить дренаж над водостоком следует осуществлять параллельную укладку дренажа в одной траншее с водостоком.
Для дренажа следует применять асбестоцементные трубы.
Исключение составляют дренажи, закладываемые в подземных водах, агрессивных к бетонам и растворам на портландцементе. В этом случае для дренажа следует применять пластмассовые трубы.
Допустимые максимальные глубины засыпки до верха трубчатого дренажа зависят от расчетного сопротивления несущего фунта, материала труб, способов укладки труб (естественное или искусственное основание) и засыпки траншей, а также других факторов.
Необходимые данные по применению асбестоцементных труб имеются в альбоме СК 2111-89, а по пластмассовым трубам - в альбоме СК 2103-84.
Водоприемные отверстия в трубах следует устраивать в виде пропилов шириной 3-5 мм. Длина пропила должна быть равна половине диаметра трубы. Пропилы устраивают с обеих сторон трубы в шахматном порядке. Расстояние между отверстиями на одной стороне - 50 см. Имеется вариант с просверливанием водоприемных отверстий
При укладке труб необходимо проследить, чтобы пропилы оказывались сбоку трубы; верх и низ трубы должен быть без пропилов.
Асбестоцементные трубы соединяют муфтами.
При применении поливинилхлоридных труб (ПВХ) водоприемные отверстия выполняются аналогично асбестоцементным трубам. Гофрированная дренажная труба из полиэтилена (ПНД) выпускается с готовыми водоприемными отверстиями (см. рис. 2.13).
Рис.2.13 – труба перфорированная
2.3.15 Дренирующие конструкции и фильтры дренажей
Дренирующие обсыпки, в соответствии с составом дренируемых грунтов, устраивают однослойными или двухслойными.
При расположении дренажа в песках гравелистых, крупных и средней крупности (при среднем диаметре частиц 0,3-0,4 мм и крупнее) устраивают однослойные обсыпки из гравия или щебня.
При расположении дренажа в песках средней крупности со средним диаметром частиц, меньшим 0,3-0,4 мм, а также в мелких и пылеватых песках, супесях и при слоистом строении водоносного пласта, устраивают двухслойные обсыпки Внутренний слой обсыпки устраивают из щебня, а внешний слой обсыпки - из песка.
Материалы дренирующих обсыпок должны удовлетворять требованиям, предъявляемым к материалам для гидротехнических сооружений.
Для внутреннего слоя дренирующих обсыпок применяют гравий, а при отсутствии его - щебень изверженных горных пород (гранит, сиенит, габбро, липарит, базальт, диабаз и др.) или же особо прочные разновидности осадочных пород (кремнистые известняки и хорошо сцементированные не выветривающиеся песчаники).
Для внешнего слоя обсыпок применяют пески, являющиеся продуктом выветривания изверженных пород.
















