129807 (593418), страница 7
Текст из файла (страница 7)
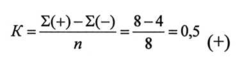
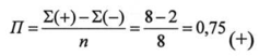
Следует отметить, что группа отличается большим количеством
взаимных выборов (46) (взаимных отклонений нет), по обоим параметрам.
Данный факт свидетельствует о том, что в группе сложились устойчивые положительные взаимосвязи и взаимные неприязни. При этом следует отметить, что взаимные выборы, чаще всего, обусловлены совместной работой. То есть друг друга выбирают те люди, которые работают вместе в одной бригаде.
Далее представим результаты референтометрии, по данным которой была выделена группу сотрудников, мнение которых является определяющим для большинства данного коллектива, это №4, №5и№6
Данные лица и составляют референтную группу данного коллектива.
Таким образом, результаты социометрии в целом подтверждаются и референтометрией. Выявленный в результате социометрии лидер (№6) входит в референтную группу исследуемого коллектива. При этом в референтную группу вошли еще два человека.
Итак, на первом этапе диагностики межличностных отношений были получены данные, позволяющие говорить о достаточно высоком УБВ, следовательно, мы можем перейти к второму этапу исследования, на котором, необходимо провести диагностику восприятия членами формируемой команды норм поведения, с целью определения вероятности возникновения дисфункциональных конфликтов, а также подтвердить (или опровергнуть) позицию потенциального лидера. Использованный для этих целей тест «Диагностика межличностных отношений» Т. Лири), показал следующие результаты:
В таблице 2.1 приведены результаты использования теста «Диагностика межличностных отношений» Т. Лири в исследуемой группе.
Таблица 2.1. - Результаты исследований по тесту «Диагностика межличностных отношений» Т. Лири
| № блока | Число баллов по блокам у тестируемых | |||||||||||||||||||||
| 1 | 2 | 3 | 4 | 5 | 6 | 7 | 8 | |||||||||||||||
| р | и | р | и | р | и | р | и | р | и | р | и | р | и | р | и | |||||||
| 1 | 6 | 9 | 7 | 7 | 8 | 10 | 9 | 11 | 12 | 4 | 9 | 12 | 14 | 14 | 9 | 9 | ||||||
| 2 | 5 | 6 | 4 | 7 | 9 | 8 | 7 | 7 | 8 | 7 | 8 | 9 | 9 | 9 | 7 | 7 | ||||||
| 3 | 5 | 3 | 6 | 7 | 9 | 8 | 6 | 6 | 8 | 8 | 7 | 5 | 4 | 6 | 8 | 9 | ||||||
| 4 | 2 | 1 | 3 | 2 | 7 | 6 | 2 | 1 | 2 | 2 | 9 | 5 | 4 | 2 | 4 | 4 | ||||||
| 5 | 9 | 2 | 11 | 5 | 1 | 2 | 6 | 2 | 6 | 4 | 6 | 5 | 8 | 3 | 3 | 3 | ||||||
| 6 | 4 | 5 | 6 | 6 | 4 | 4 | 6 | 4 | 8 | 8 | 6 | 7 | 7 | 11 | 3 | 3 | ||||||
| 7 | 9 | 10 | 8 | 11 | 7 | 7 | 9 | 9 | 9 | 9 | 8 | 10 | 6 | 11 | 9 | 9 | ||||||
| 8 | 9 | 9 | 9 | 11 | 6 | 7 | 10 | 10 | 10 | 10 | 9 | 10 | 9 | 12 | 8 | 8 | ||||||
Как показывает анализ результатов исследований по тесту «Диагностика межличностных отношений» Т. Лири в рассматриваемой группе из восьми человек личностный профиль сотрудников может быть охарактеризован следующим образом:
I По блоку «Авторитарный» к категории «Доминантный, энергичный компетентный, авторитетный лидер, успешный в делах, любит давать советы, требует к себе уважения» относятся (№ 5,3,4,6,7,8).
II По блоку «Эгоистический» к категории «Эгоистические черты, ориентация на себя, склонность к соперничеству» относятся и явно проявляют эти качества (№ 3,6,7).
III По блоку «Агрессивный» к категории «Требовательный, прямолинейный, откровенный, строгий и резкий в оценке других, непримиримый, склонный во всем обвинять окружающих, насмешливый, ироничный, раздражительный» подходит № 3,8. У остальных данная характеристика выражена незначительно.
IV. По блоку «Подозрительный» к категории, «имеет трезво- реалистический подход к жизни» относится №6. У остальных данный аспект выражен очень незначительно.
V По блоку «Подчиняемый» к категории «Покорный, слабовольный, склонный уступать всем и во всем» относится №1, и (№2).
VI По блоку «Зависимый» относятся №5 и №7. У остальных данная характеристика выражена незначительно.
VII По блоку «Дружелюбный» к категории « человек нацеленный на сотрудничество и взаимодействие с окружающими, занимает активную позицию» относятся №1, 2,4,5,6,8.
VIII По блоку «Альтруистический» к категории «артистические доброжелательные помогающие» относятся №1,2,4,5,6,7. (при диапазоне 0-8-12) по категории «Ответственный по отношению к людям, деликатный, мягкий, добрый и т.п».
Таким образом, в рассматриваемой группе на роль лидера явно претендует № 6. Что подтверждается и мнением руководства. Личностный профиль социальных ориентации № 6 по Т. Лири приведен на рис. 2.1.
Рис.2.1. Личностный профиль социальных ориентации потенциального лидера команды (№6)
Тест Лири показал, что статистически значимые различия в восприятии членами исследуемой группы норм поведения отсутствуют. Это говорит о возможности создания на базе данной группы эффективной команды.
Данное положение подтверждают и результаты оценки социально-психологического климата в коллективе, представленные в таблице 2.2., где показаны результаты по трем компонентам - эмоциональному, поведенческому и когнитивному. Суммарные результаты рассчитаны на основе указанных в методике формул ( преобладание + говорит о положительной оценке компонента, - об отрицательной и 0 - нейтральной).
Таблица 2.2.- Оценка социально-психологического климата в коллективе группы исследуемых
| № | Эмоциональный компонент | Поведенческий компонент | Когнитивный компонент | |||
| 1 | + - + | + | 0 + + | + | + 00 | 0 |
| 2 | + + + | + | 0 + + | + | + 00 | 0 |
| 3 | + + + | + | 00 + | 0 | + + + | + |
| 4 | + + 0 | + | 0- + | 0 | + + + | + |
| 5 | + + + | + | 0 + + | + | 000 | 0 |
| 6 | + + + | + | 0 + + | + | 000 | 0 |
| 7 | + + + | + | + + + | + | + + + | + |
| 8 | + + + | + | 0 + + | + | + + 0 | + |
Как показывают данные таблицы 1 по всем трем компонентам социально-психологического климата в коллективе - эмоциональному (в качестве существенного признака эмоционального компонента рассматривается критерий привлекательности на уровне понятий «нравится - не нравится», «приятный - не приятный»), поведенческому (критерий «желание - нежелание работать в данном коллективе», «желание - нежелание общаться с членами коллектива в сфере досуга») и когнитивному (переменная «знание - незнание особенностей членов коллектива») получены положительные результаты, что в целом, позволяет оценить, климат, сложившийся в коллективе как весьма благоприятный (++ +).















