129807 (593418), страница 6
Текст из файла (страница 6)
исполнителей и менеджеров на начальном этапе
| Обязанность | Команда исполнителей | Верхний уровень менеджмента | |||
| Отбор и увольнение членов команд | X | X | |||
| Выборы и смещение лидеров команды | X | X | |||
| Распределение рабочих заданий, учет произведенной продукции | X | X | |||
| Выравнивание рабочей нагрузки, определение времени отдыха и перерывов | X | ||||
| Решение проблем | X | X | |||
| Проведение собраний команды | X | X | |||
| Заполнение табелей рабочего времени | X | ||||
| Разработка графика отпусков | X | ||||
| Обучение работников | X | ||||
| Наставничество | X | ||||
| Консультации по техническим вопросам | X | ||||
| Соблюдение технических стандартов. Контроль за качеством и сбор данных | X | ||||
| Расстановка людей для выполнения будущих проектов | X | ||||
| Обеспечение консультаций по вопросам служебного продвижения | X | ||||
| Анализ и одобрение задач команды | X | ||||
| Контакты с поставщиками и потребителями | X | ||||
| Опрос мнения потребителей об эффективности команды | X | ||||
| Участие в оценке эффективности | X | ||||
| Решение дисциплинарных проблем | X | X | |||
| Рекомендации относительно улучшений. Инициатива по ремонту машин и оборудования | X | ||||
| Подготовка бюджетов материально-технического обеспечения и оплаты труда | X | ||||
Вместе с тем не следует забывать, что самостоятельное решение вопросов, связанных с количественным и качественным составом команды в значительной мере определяет психологический климат в команде, и директивное вмешательство менеджеров на последующих этапах деятельности команды может существенно снизить эффективность работы команды. Как показали исследования американских ученых, большинство членов команд очень негативно относятся к вмешательству менеджмента в решение подобных вопросов.
Как подчеркивается в ряде работ, становление команды не происходит сиюминутно (по мнению известного специалиста в теории и практике команд М. Бейерлайна, становление команд занимает от двух до пяти лет). Необходимо разработать стратегию развития команд на продолжительный период времени, прежде чем передавать обозначенные в табл. 1.1. функции командам.
2 ДИАГНОСТИЧЕСКОЕ ИССЛЕДОВАНИЕ МЕЖЛИЧНОСТНЫХ ОТНОШЕНИЙ В ПРОЦЕССЕ КОМАНДООБРАЗОВАНИЯ
2.1 Организация и обоснование методов исследования
Целью экспериментального исследования ставилось изучение межличностных отношений в группе в процессе командообразования.
В соответствии с поставленной целью были сформулированы задачи эмпирического исследования:
—исследование связи между внутригрупповыми отношениями и уровнем групповой сплоченности;
—исследование взаимосвязи между внутригрупповыми отношениями, уровнем развития группы как коллектива и благоприятностью его социально-психологического климата;
—интерпретация полученных результатов с последующей разработкой практических рекомендаций, направленных на повышение эффективности командообразования в бригаде быстрого реагирования частного охранного предприятия.
Характеристика выборки: в наше исследование был включен такой профессиональный коллектив, для членов которых характерно повседневное взаимодействие с другими людьми, т.е. занятые в сфере „человек-человек", -действующая бригада частного охранного предприятия, на базе которой планируется создание группы быстрого реагирования в экстренных ситуациях.
Общая выборка 8 человек. Средний возраст участников эксперимента составляет 32 года, большинство работающих имеют средне-специальное и высшее образование. При этом следует отметить, что коллектив «молодой», большее число сотрудников работают в данном коллективе около 3 лет, следовательно, в коллективе есть «текучесть» кадров.
В исследования нами были использованы следующие методики: 1) Метод социометрии. Для определения фактических отношений в исследуемой группе применялась социометрическая методика. Данная методика позволяет определить положение исследуемого в системе межличностных отношений той группы, к которой он принадлежит. А также выявить уровень благополучия взаимоотношений (УБВ). Применение социометрического метода также позволит выявить категорию людей малокоммуникативных и нежелательных в команде (категория «отвергаемые» по классификации Морено).
2) Определение индекса сплоченности. Данные социометрического обследования группы, представленные в виде матрицы и социограмм, дополняютсясоциометрическимииндексами,количественно
характеризующими группу. Наиболее известных из них - индекс групповой сплочённости. Он определяется по формуле:
где
сумма взаимных выборов, сделанных членами данной группы;
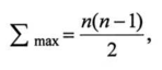
- максимально возможное число взаимных выборов в данной группе. Оно, в свою очередь, устанавливается по следующей формуле:
где n - число членов в изучаемой группе.
Бесспорно, социометрический метод является весьма оперативным и с его помощью может быть достаточно чётко выявленная картина эмоциональных тяготений внутри группы, для обнаружения которой путём наблюдений потребовалось бы отдельное время.
3) В данном исследовании мы использовали также метод рефентометрии.
Для определения референтов тестируемым предполагается 10 вопросов-ситуаций (1-А) и список людей, окружающих их (1-Б) [Приложение 1].
После осуществлённого выбора следует попросить отложить список 1-Би по пятибалльной шкале (5,4,3,2,1) оценить каждое из выбранных лиц. Обработка полученных данных достаточно проста. Все упомянутые лица записываются в отдельных список без повторений, затем «оценки» лиц заносят в список и суммируются для каждого из них. После сравнения два- три лица, имеющие наибольшее количество балла, выписываются на отдельный листок в порядке уменьшения количества баллов. Эти люди и составляют референтную группу.
4) С целью диагностики вероятности возникновения дисфункциональных конфликтов необходимо провести диагностику восприятия членами формируемой команды норм поведения, а также выявить потенциального лидера - для решения этих задач нами был использован тест «Диагностика межличностных отношений» Т. Лири);
5) Для рассмотрения наиболее важного вопроса исследования — существует ли связь между УБВ, сплоченностью и интеграцией личности в формируемой команде — была использована «Экспресс-методика» по изучению социально-психологического климата в трудовом коллективе. Авторами методики являются О.С. Михалюк и А.Ю. Шалыто. Методика позволяет выявить эмоциональный, поведенческий и когнитивный компоненты отношений в коллективе, на основании анализа которых составляется мнение о социально-психологическом климате коллектива в целом. Тестовый материал и инструкция к методике представлены в (Приложении 3).
Обработка первичной информации проводилась на персональном компьютерес помощью методов математической статистики и корреляционного анализа.
2.2 Результаты изучения межличностных отношений в процессе
командообразования
1) Представим результаты социометрического исследования Для изучения межличностных отношений был применён метод социометрии. Все члены группы получили социометрические карточки. Им дана была инструкция следующего содержания: «Уважаемые сотрудники! Ваш коллектив существует уже давно. За это время вы хорошо узнали друг друга и между вами сложились определённые отношения: симпатии и антипатии. С кем-то вы дружите, хотели бы и дальше продолжать работать вместе, к кому-то испытываете неприязнь. Представьте себе, что создаётся новая команда, и каждый из вас по собственному желанию определяет его состав».
Были предложены следующие вопросы:
Работа: 1. С кем бы Вы хотели бы работать в одной бригаде? 2. С кем бы Вы не хотели работать в одной бригаде?
Досуг: 1. Кого бы Вы хотели пригласить на встречу Нового года? 2. Кого бы вы не хотели пригласить на встречу Нового года?
Листы с ответами испытуемых на предложенные вопросы обрабатываются, и имеющаяся в них информация перенесена нами в социометрическую матрицу (Таблица 1: Работа, Таблица 2: Досуг,
[Приложение 5]).
Анализ социометрического исследования в группе, позволил выявить лидеров по двум параметрам.
1. Работа: №4 (6 полученных выборов), №6 (6 полученных выборов)
1. Досуг: №4 (6 полученных выборов), №6 (6 полученных выборов)
По количеству отклонений можно определить того, кто вызывает к себе наибольшие антипатии. Исходя из результатов, явного аутсайдера в группе нет, но всё же есть лица, набравшие наибольшее количество отклонений.
1. Работа: №8 (2 полученных отклонений), №3 (1 отклонение),
В данной группе нет отвергаемых. Следовательно, в группе нет изолированных от остальных, не имеющих положительных взаимоотношений с другими членами. То есть можно говорить о высоком уровне благоприятности взаимоотношений (УБВ). При этом следует отметить, что результаты по обоим параметрам (работа и досуг) практически совпадают. Это говорит, на наш взгляд о том, что в члены коллектива не только работают в дружественно обстановке, но и время и во внерабочее (досуговое) время. Это подтверждает результаты исследования СПК о положительном психологическом климате в группе на эмоциональном уровне.
Так же по результатам социометрии нами вычислен индекс групповой сплочённости:
где Σ в.в. - сумма взаимных выборов;
где п - число членов группы.
Данный индекс характеризует систему групповых отношений в целом. Полученный результат свидетельствует не только о благополучном характере отношений в группе, но и о возможностях его повышения.















