113330 (591280), страница 5
Текст из файла (страница 5)
31. Напишіть рівняння реакцій, за якими можна з ферум (ІІ) сульфату добути калій гексагідроксоферат (ІІІ). Вкажіть умови, необхідні для перебігу цих реакцій.
32. Визначте невідомі речовини і напишіть рівняння реакцій, за якими можна здійснити такі перетворення:
Вкажіть тип кожної реакції.
33. Напишіть рівняння реакцій, за якими, маючи лише ферум (ІІ) ціанід, гідроген ціанід і калій гідроксид, можна добути калій гексаціаноферат (ІІ).
Рівень 3
1. Визначте невідомі речовини і напишіть рівняння реакцій, за якими можна здійснити такі перетворення:
Вкажіть тип кожної хімічної реакції. Для окисно-відновних реакцій складіть схеми електронного балансу, вкажіть процеси окиснення та відновлення, позначте окисники та відновники.
2. Визначте невідомі речовини, якщо відомо, що вони вступають у реакції, які описуються такими схемами:
За наведеними схемами складіть рівняння реакцій.
3. Визначте невідомі речовини і напишіть рівняння реакцій, за якими можна здійснити такі перетворення:
Вкажіть умови, необхідні для перебігу реакцій. Позначте окисно-відновні реакції.
4. Напишіть рівняння реакцій, за якими, маючи лише залізо, воду, калій хлорид та повітря, можна добути: а) два метали; б) п’ять газоподібних речовин; в) три кислоти; г) п’ять основних солей. Вкажіть умови, які необхідні для перебігу кожної реакції.
5. Визначте невідомі речовини і напишіть рівняння реакцій, за якими можна здійснити такі перетворення:
Для рівняння реакцій, що описує перетворення 5, складіть схему електронного балансу, вкажіть процеси окиснення та відновлення, позначте окисник та відновник.
6. Визначте невідомі речовини, якщо відомо, що вони вступають у реакції, які описуються такими схемами:
За наведеними схемами складіть рівняння реакцій. Вкажіть тип кожної реакції і назву речовини М.
7. Визначте невідомі речовини і напишіть рівняння реакцій, за якими можна здійснити такі перетворення:
Для окисно-відновних реакцій складіть схеми електронного балансу, вкажіть процеси окиснення та відновлення, позначте окисники та відновники.
8. Напишіть рівняння реакцій, за якими можна із залізного купоросу добути ферумамонійний галун. Вкажіть умови, які необхідні для перебігу цих реакцій.
9. Визначте невідомі речовини і напишіть рівняння реакцій, за якими можна здійснити такі перетворення:
Відомо, що всі невідомі речовини, крім А, є солями. Для окисно-відновних реакцій складіть схеми електронного балансу, вкажіть її тип, процеси окиснення та відновлення, позначте окисники та відновники.
10. Визначте невідомі речовини, якщо відомо, що вони вступають у реакції, які описуються такими схемами:
11. Визначте невідомі речовини і напишіть рівняння реакцій, за якими можна здійснити такі перетворення:
Відомо, що Н2 + L
Х, М – кислота, D – сіль.
12. Визначте невідомі речовини і напишіть рівняння реакцій, за якими можна здійснити такі перетворення:
Для окисно-відновних реакцій складіть схеми електронного балансу, вкажіть процеси окиснення та відновлення, позначте окисники та відновники.
13. Визначте невідомі речовини, якщо відомо, що вони вступають у реакції, які описуються такими схемами.
За наведеними схемами складіть рівняння реакцій.
14. Визначте невідомі речовини і напишіть рівняння реакцій, за якими можна здійснити такі перетворення:
Врахуйте, що Х і Х1 – це розчини однієї речовини, які значно відрізняються за масовою часткою розчиненої речовини.
15. Визначте невідомі речовини, якщо відомо, що вони вступають у реакції, які описуються такими схемами.
За наведеними схемами складіть рівняння реакцій.
16. Визначте невідомі речовини і напишіть рівняння реакцій, за якими можна здійснити такі перетворення:
Для окисно-відновних реакцій складіть схеми електронного балансу, вкажіть процеси окиснення та відновлення, позначте окисники та відновники.
17. Визначте невідомі речовини, якщо відомо, що вони вступають у реакції, які описуються такими схемами.
Відомо, що сполуки М та G містять нітроген. За наведеними схемами складіть рівняння реакцій. Для реакції, що описується схемою д), складіть схему електронного балансу, вкажіть процеси окиснення та відновлення, позначте окисники та відновники.
18. Напишіть рівняння реакцій, за якими, маючи лише ферум (ІІІ) хлорид, воду та сірку, можна добути: а) п’ять газоподібних речовин; б) чотири кислоти; в) п’ять оксидів; г) вісім солей.
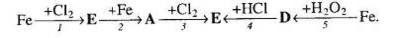
19. Вкажіть ступені феруму в кожній сполуці, яка бере участь у перетвореннях, що відбуваються за такою схемою:
Вкажіть хімічні формули речовин А та D і два варіанти їхніх назв. Запропонуйте по дві назви для речовин А і D. Для окисно-відновних реакцій складіть схеми електронного балансу. Обґрунтуйте, чому калій гексаціаноферат (ІІ) проявляє відновні властивості.
20. Напишіть рівняння п’ятнадцяти реакцій за участю ферум (ІІ) оксиду, нітратної кислоти, води, сірки та продуктів їх взаємодії.
21. Визначте невідомі речовини і напишіть рівняння реакцій, за якими можна здійснити такі перетворення:
Для окисно-відновних реакцій складіть схеми електронного балансу, вкажіть процеси окиснення та відновлення, позначте окисники та відновники.
Розв’язування задач:
3. Навчити учнів розв’язувати задачі – важливий обов’язок учителя. Хімічний тренінг допоможе в цьому.
Цю роботу цікаво проводити у вигляді „хімічної регати”. Учням надається певний час для розв’язання всіх задач. Для цього кожному з них даються тексти задач і маленькі аркуші паперу за кількістю задач. На кожному папірці учні записують своє прізвище, номер задачі та розв’язання (без умови). Коли задачу розв’язано, учень кладе папір на край парти, учитель його одразу забирає. По закінченні роботи учні швидко здають аркуші, що залишились. Тепер діти звіряють свої відповіді з правильними, з’ясовують скільки задач вдалося розв’язати правильно, скільки балів зароблено та яку оцінку можливо отримати. Учитель під час перевірки розкладає роботи за прізвищами, перевіряє, підсумовує бали та оцінює роботу.
Важливе значення має те яким чином вчитель підбиває підсумки роботи. Вважаємо педагогічно невірним, якщо учитель одним – двома словами підсумує результати роботи й роздасть аркуші з оцінками. Підбиття підсумків і аналіз – важливий завершальний етап у проведенні будь-якої самостійної роботи. Практика свідчить, що учні серйозніше ставляться до написання робіт, з хвилюванням чекають на результати, якщо вчитель ретельно їх аналізує, радіють добрим результатам, успіху окремих учнів, засмучуються за товаришів, які невдало виконали роботу. Дозволяю сої порадити такий план аналізу роботи, яку виконували учні.
-
Нагадати, з якою метою виконувалася робота.
-
Які знання й уміння могли продемонструвати або вдосконалити учні.
-
Загальне враження від результатів виконаної роботи.
-
Типові помилки й недоліки.
-
Роздати роботи учням з коротким аналізом кожної і порадити.
Учитель не втратить серйозності якщо скаже учням: „Я дуже за вас радію”,
„Дуже добра робота”, „Ви молодець”, „Відмінний результат...”
Роботи перед видачею краще розкласти за збільшенням кількості отриманих балів, тобто останніми – найкращі роботи. Про це одразу треба сказати учням. Учні, які невдало виконали роботу, не будуть вважати себе останніми в класі, і кожен із завмиранням серця буде чекати на своє прізвище, а результати набудуть таким чином, рейтингового характеру. Особливо треба похвалити, підкреслити позитивне в останніх двох-трьох роботах. Ці оцінки робочі. До журналу можна поставити кращі оцінки. Одночасно треба намітити план коригування.
-
Повторення на уроках.
-
Індивідуальні завдання.
-
Організація роботи учнів-консультантів.
1.4 Психолого-педагогічні викладання хімії у спеціалізованих класах
Зміст сучасних навчально-виховних відносин потребує максимальної активізації кожного учня.
Раз у раз підвищується суспільне значення таких якостей особистості як творча активність, трудова активність, готовність до життєдіяльності в умовах нових економічних відносин. Ці якості в найбільшій мірі виховуються на уроках природничого циклу в результаті саморегуляції навчальних дій і поведінки учнів. Без цього неможливий вияв власного “Я”. В сучасній школі часто не враховується той факт, що людина за природою є саморегульованою системою, здатною до самокеруванням своїм навчанням, вихованням, розвитком, поведінкою.
В результаті цієї властивості людина, де б, у кого б і чому б не навчалася, вчиться сама.
Як суб’єкт власної діяльності, вона активно і самостійно визначає мету, обирає шляхи, способи і засоби її реалізації, самореалізовує, регулює і контролює виконання.
Формування саморегуляції діяльності повинно йти шляхом навчання школяра самостійно думати, зв’язно і логічно говорити, вирішувати проблеми, знаходити причини, робити висновки. Саме на цьому закладається фундамент уміння вчителя. Виховання саморегуляції навчальної діяльності розширює внутрішню свободу учня, сприяє формуванню способів навчання і самоорганізації учнів.
Для підвищення стійкості до стресу і розширення психологічних резервів учня щодо саморегуляції нами розроблена спеціальна методика, за допомогою якої зможуть самостійно впливати на свій емоційний, душевний, фізичний стан.
Це один із видів психотехніки (аутогенного тренування).
Його можна проводити ввечері-самостійно. На початку уроку – колективно, разом з учителем. Заняття проводиться 2-3 хвилини на день, 1 раз на кожному уроці.
Формулювання психотренінгу
“Тобі потрібні знання. Іноді вони здаються нудними, іноді навіть стає страшно: як у всьому розібратися! Не лякайся, не хвилюйся й не квапся. Навкруги тебе багато різних книг, вони тобі допоможуть вчитися. Коли нові знання “вляжуться” в твоїй голові, ти станеш сильнішим.
Знання дадуть тобі не лише силу, вони змінять свт навколо тебе. Усе стане яскравим, блискучим, цікавим”.















