113330 (591280), страница 4
Текст из файла (страница 4)
а) це хімічні сполуки, що входять до складу залізних руд;
б) це складні речовини, що належать до одного класу;
Схеми перекресліть у зошити.
7. Розв’яжіть кросворд “Метали”.
У восьми колах зображені знаки хімічних елементів-металів. Розташуйте їх назви по горизонталі у клітинках таким чином, щоб у вертикальному стовпчику, виділеному жирними лініями, можна було прочитати назву найпоширенішого металу на Землі.
Схему кросворда перекресліть у зошит.
2. Уміння складати рівняння реакцій, базуючись на хімічних властивостях речовин, розставляти коефіцієнти, визначати тип і умови перебігу реакцій – важлива умова формування хімічних знань. Для набуття й доведення цієї навички до автоматизму використовують тренувальні вправи іншого типу.
Перед виконанням цих завдань учитель повинен дати учням чіткі інструкції щодо терміну виконання, критеріїв оцінювання та взагалі змісту завдання.
Завдання цього типу можна використовувати неодноразово зменшуючи час для їхнього виконання. Учням слід констатувати, що з часом вони виконуватимуть ці завдання швидше та правильніше.
1.3.2 Картки з хімії перетворень по темі “Залізо та його сполуки”
Рівень І.
1. Напишіть рівняння реакцій, за якими можна здійснити такі перетворення:
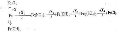
2. Напишіть рівняння трьох реакцій, у результаті яких можна одержати ферум (ІІІ) гідроксид. Вкажіть умови, які необхідні для пробігу цих реакцій.
3. Напишіть рівняння реакцій, за якими можна здійснити такі перетворення:
Вкажіть умови, які необхідні для перебігу кожної реакції.
4. Напишіть рівняння реакцій, за якими, маючи лише ферум (ІІІ) сульфат, магній, калій гідроксид та вуглець, можна добути залізо кількома способами.
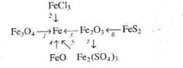
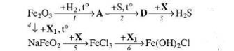
5. Визначте невідомі речовини і напишіть рівняння реакцій, за якими можна здійснити такі перетворення.
6. Напишіть рівняння реакцій, за якими можна з червоного залізняку добути: а) Fe(OH)3; б) Fe(OH)2NO3
Вкажіть назви цих речовин.
7.Напишіть рівняння реакцій, за якими можна здійснити такі перетворення.
8. Напишіть рівняння реакцій, за якими, маючи лише залізо, воду, калій оксид і сульфатну кислоту, можна добути ферум (ІІІ) гідроксид кількома способами.
9. Напишіть рівняння реакцій, за якими можна здійснити такі перетворення:
Вкажіть умови, які необхідні для перебігу кожної реакції.
10. Напишіть рівняння реакцій, за якими, маючи лише ферум (ІІІ) оксид, ферум (ІІ) оксид, ферум (ІІІ) сульфат, цинк та воду, можна добути: а) залізо; б) залізну окалину кількома способами.
11. Напишіть рівняння реакцій, за якими можна здійснити такі перетворення:
Вкажіть умови, які необхідні для перебігу кожної реакції.
12. Напишіть рівняння реакцій, за якими можна залізо перетворити у: а) ферум (ІІ) гідроксид; б) ферум (ІІІ) гідроксид.
13. Визначте невідомі речовини і напишіть рівняння реакцій, за якими можна здійснити такі перетворення:
Врахуйте, що М – кислота, а Е – проста речовина, атоми якої входять до складу гемоглобіну крові.
14. Напишіть рівняння реакцій, за якими можна здійснити такі перетворення:
15. Напишіть шість рівнянь реакцій між наведеними речовинами та продуктами їх взаємодії: хлороводень, залізо, вода, калій гідроксид.
16. Визначте невідомі речовини і напишіть рівняння реакцій, за якими можна здійснити такі перетворення:
17. Напишіть рівняння реакцій, за якими, маючи лише ферум (ІІІ) нітрат, натрій карбонат та воду, можна добути три прості і чотири складні речовини. Вкажіть умови, які необхідні для перебігу кожної реакції.
18. Визначте невідомі речовини і напишіть рівняння реакцій, за якими можна здійснити такі перетворення:
19. Напишіть рівняння реакцій, за якими, маючи лише ферум (ІІ) оксид, воду та вуглець, можна добути: а) ферум (ІІІ) оксид; б) оксид, який належить до змішаних оксидів.
20. Напишіть рівняння реакцій, за якими, маючи лише залізо, натрій карбонат, вуглець та хлоридну кислоту, можна добути ферум (ІІ) оксид трьома способами.
21. Визначте невідомі речовини і напишіть рівняння реакцій, за якими можна здійснити такі перетворення:
22. Напишіть рівняння реакцій, за якими, маючи лише залізну окалину, алюміній оксид, вуглець та воду, можна добути кількома способами металічне залізо.
23. Визначте невідому речовину і напишіть рівняння реакцій, за якими можна здійснити такі перетворення:
24. Напишіть рівняння реакцій, за якими, маючи лише ферум (ІІІ) гідроксид, воду та хлор, можна добути ферум (ІІІ) хлорид кількома способами.
25. Визначте невідомі речовини і напишіть рівняння реакцій, за якими можна здійснити такі перетворення:
Рівень 2
1. Визначте невідомі речовини і напишіть рівняння реакцій, за якими можна здійснити такі перетворення:
2. Напишіть рівняння реакцій, за якими, маючи лише ферум (ІІ) сульфат, калій перманганат і сульфатну кислоту, можна добути ферум (ІІІ) сульфат трьома способами. Вкажіть умови, які необхідні для перебігу кожної реакції. Для окисно-відновних реакцій складіть схеми електронного балансу, вкажіть процеси окиснення та відновлення, позначте окисники та відновники.
3. Визначте невідомі речовини і напишіть рівняння реакцій, за якими можна здійснити такі перетворення:
4. Напишіть рівняння реакцій, за якими, маючи лише ферум (ІІІ) хлорид, хлоридну кислоту та калій йодид, можна добути ферум (ІІ) хлорид трьома способами.
5. Визначте невідомі речовини і напишіть рівняння реакцій, за якими можна здійснити такі перетворення:
Вкажіть умови, необхідні для перебігу кожної реакції.
6. Напишіть рівняння реакцій, за якими, маючи лише залізо, сульфатну кислоту, воду та натрій оксид, можна добути: а) три гідроксиди; б) сім солей. Вкажіть умови, необхідні для перебігу реакцій.
7. Визначте невідомі речовини і напишіть рівняння реакцій, за якими можна здійснити такі перетворення:
8. Напишіть рівняння реакцій, за якими із сидериту можна добути ферум (ІІІ) гексаціаноферат (ІІ). Вкажіть умови, необхідні для перебігу реакцій.
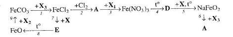
9. Визначте невідомі речовини і напишіть рівняння реакцій, за якими можна здійснити такі перетворення:
Перетворення 1 та 2 здійснюють у кілька стадій. Речовина D – сіль, а речовина А – оксид. Вкажіть умови, необхідні для перебігу реакцій.
10. Напишіть рівняння реакцій, за якими можна здійснити такі перетворення:
11. Напишіть рівняння реакцій, за якими з гематиту можна добути залізний купорос. Вкажіть умови, необхідні для перебігу цих реакцій.
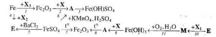
12. Визначте невідомі речовини і напишіть рівняння реакцій, за якими можна здійснити такі перетворення:
13. Визначте невідомі речовини і напишіть рівняння реакцій, за якими можна здійснити такі перетворення:
Відомо, що речовина Е утворюється при взаємодії речовини А з вуглекислим газом.
14. Напишіть рівняння реакцій, за якими можна із залізного колчедану добути ферум (ІІІ) гексаціаноферат (ІІ). Вкажіть умови, необхідні для перебігу цих реакцій.
15. Визначте невідомі речовини і напишіть рівняння реакцій, за якими можна здійснити такі перетворення:
16. Визначте невідомі речовини і напишіть рівняння реакцій, за якими можна здійснити такі перетворення:
17. Напишіть рівняння реакцій, за якими з магнетиту можна добути ферум (ІІІ) хлорид. Вкажіть умови, необхідні для перебігу цих реакцій.
18. Визначте невідомі речовини і напишіть рівняння реакцій, за якими можна здійснити такі перетворення:
19. Напишіть рівняння реакцій, за якими маючи лише залізо, сірководень, нітратну кислоту та натрій гідроксид, можна добути ферум (ІІІ) оксид трьома способами.
20. Визначте невідомі речовини і напишіть рівняння реакцій, за якими можна здійснити такі перетворення:
21. Напишіть рівняння реакцій, за якими маючи лише ферум (ІІ) гідроксид, гідроген пероксид, калій та натрій бромід, можна добути калій ферат (VI) K2FeO4. Вкажіть умови, необхідні для перебігу кожної реакції.
22. Визначте невідомі речовини і напишіть рівняння реакцій, за якими можна здійснити такі перетворення:
23. Напишіть рівняння реакцій, за якими маючи лише розбавлену сульфатну кислоту, хлор, натрій та воду, можна добути ферум (ІІІ) оксид кількома способами.
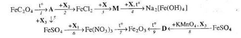
24. Визначте невідомі речовини і напишіть рівняння реакцій, за якими можна здійснити такі перетворення:
Напишіть структурну формулу речовини FeC2O4 і вкажіть її назву.
25. Напишіть рівняння реакцій, за якими маючи лише ферум (ІІ) хлорид, гідроген пероксид, натрій та воду, можна добути ферум (ІІІ) гідроксид кількома способами.
26. Визначте невідомі речовини і напишіть рівняння реакцій, за якими можна здійснити такі перетворення:
Відомо, що речовину Х можна одержати при взаємодії калій гідриду з водою, а речовина Е – це змішаний оксид.
27. Напишіть рівняння реакцій, за якими маючи лише ферум (ІІ) оксалат і кокс, можна добути ферум пентакарбоніл. Вкажіть умови, необхідні для перебігу реакцій.
28. Визначте невідомі речовини і напишіть рівняння реакцій, за якими можна здійснити такі перетворення:
Вкажіть тип кожної реакції. Для рівнянь реакцій, що описують перетворення 1 та 11, складіть схеми електронного балансу.
29. Напишіть рівняння реакцій, за якими можна з ферум (ІІ) оксиду добути сполуку складу K2FeO4 Вкажіть назву цієї сполуки і ступінь окиснення в ній Феруму.
30. Визначте невідомі речовини і напишіть рівняння реакцій, за якими можна здійснити такі перетворення:















