113330 (591280), страница 9
Текст из файла (страница 9)
Варіант ІІ.
Тема: залізо та його сполуки.
План семінарського заняття.
1. Положення металів у періодичній системі.
2. Будова атома.
3. Хімічний зв’язок.
4. Металічна кристалічна гратка.
5. Фізичні властивості металів.
6. Класифікація металів за:
а) густиною;
б) температурою плавлення;
в) твердістю;
г) провідністю.
7. Ряд властивості металів.
8. Хімічні властивості металів відновників:
а) взаємодія з киснем;
б) взаємодія з воднем;
в) взаємодія з галогенами;
г) взаємодія з іншими неметалами;
д) взаємодія з водою;
е) взаємодія з розчинами кислот;
ж) взаємодія з розчинами солей.
9. Поширення в природі:
а) активних металів;
б) металів середньої активності;
в) благородних металів.
10. Способи одержання металів:
а) випалювання з подальшим відновленням;
б) електроліз розплавів;
в) електроліз розчинів.
Мета: поглибити та систематизувати знання учнів про властивості металів на прикладі заліза та його сполук; вивчити індивідуальні властивості заліза та його сполук, амфотерність цього металу на прикладі електронної будови атома; ознайомити учнів з професіями в металургійному виробництві на основі знань про застосування заліза та його сполук у народному господарстві, про способи їх видобутку та обробки; поглибити між предметні зв’язки (географія, біологія, історія).
Тип уроку: комбінований.
Методи та прийоми: індуктивний метод (розповідь бесіда з елементами індивідуальної, групової та фронтальної робіт, демонстраційних експериментів).
Обладнання: ферум (ІІІ) оксид, ферум (VI) оксид, KMnO4, ферум (ІІ) хлорид, ферум (ІІІ) оксид, колекція „Природні сполуки заліза”, таблиця „Специфічні властивості концентрованої сульфатної кислоти”.
Хід уроку:
Літературний вступ
Вчитель. Давні єгиптяни називали його „вааепера”, що означає „той, що народився у небі”. Давні копти називали його каменем неба. Вироби з нього цінувалися дорожче за золото. Один східний деспот навіть видав указ, яким під страхом смертної кари заборонялося всім, крім нього, носити зроблені з цього металу прикраси. В „Одіссеї” Гомера розповідається, що переможцям спортивних змагань вручали шматок цього металу та шматок золота – найбільші на той час коштовності. Алхіміки вважали його настільки неблагородним металом, що навіть займатися ним не хотіли.
Що ж це за метал? Які властивості він має? Про це ми дізнаємося на сьогоднішньому уроці.
І.Актуалізація опорних знань
1. Робота біля дошки за картками
1) при розкладі 18 г гідроксиду металу (ІІ) утворилося 14,4 г оксиду металу (ІІ). Визначте, про який метал ідеться.
Відповідь: залізо
2) Складіть електронну конфігурацію хімічного елемента № 26. Які властивості він має? Спрогнозуйте можливі валентності цього елемента.
3) Знаючи загальні хімічні властивості металів, складіть рівняння реакцій заліза:
а) з простими речовинами
б) зі складними речовинами
4) Знаючи способи одержання металів, напишіть рівняння реакцій одержання заліза з червоного залізняка та феруму (ІІ) хлориду:
а) відновлення воднем, коксом, чадним газом:
(алюмотерапія – демонстраційний експеримент)
б) відновлення електролізом розплаву ферум (ІІ) хлориду:
2. Робота на місцях за картками
1) Мінерал містить 72,36% заліза та 27,64% кисню. Визначте формулу мінералу.
2) За допомогою методу електронного балансу складіть рівняння реакцій, що протікають за такою схемою:
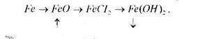
3) Здійсніть перетворення (випереджальне завдання):
4) Здійсніть перетворення:
5) При електролізі розплаву FeCl2 маса катоду збільшилася на 56 г. Визначте масу реагенту.
3.Питання на підвісній дошці
1) Чому в світовій енциклопедичній літературі залізо названо великим трудівником?
2) Чим небезпечний „Залізний голод?”
4.Фронтальне опитування
-
На які групи поділяються всі хімічні елементи?
-
Чим відрізняються метали від неметалів?
-
У чому суть будови металічної кристалічної гратки? (див. опорний конспект)
-
Чим пояснюються характерні властивості металів?
-
Як на основі електронної конфігурації, не знаючи конкретного хімічного елементу, визначити, метал це чи неметал?
ІІ. Виклад нового матеріалу.
У таблиці Менделєєва важко знайти другий такий метал, з яким так тісно була б пов’язана історія цивілізації. (Перевірка задачі № 1 біля дошки, повідомлення теми уроку.) Залізо належить до металів, відомих людству з глибокої давнини (VI-II ст. до н.е.). Ще в давньому Єгипті із заліза виготовляли різне хатнє начиння. Залізо є другим за поширеністю металом у природі (4,2%) після алюмінію. У вільному стані зустрічається лише в метеоритах (залізо космічного походження). Протягом останніх 50 років випало 453 метеоритних дощі, які принесли на Землю 672 т метеоритного заліза. Це залізо порівняно легко піддається обробці, й саме з нього людина почала виготовляти найпростіші знаряддя. Але, на жаль, метеорити за замовленням на Землю на падали, а потреба в залізі була постійною.
У перші роки свого царювання Петро І видав указ „искать всякому литому и кованому железу умноження, стороннего шведського железа пронять было мочно и стараться, чтобы русские люди тем мастерством были изучены, дабы то дело в Московском государстве было прочно».
А для тих, хто намагався приховати знайдені руди, указом передбачалися жорстокий гнів, невідкладне тілесне покарання та страта. Найважливішими природними сполуками заліза є (демонстрація колекцій):
- бурий залізняк (Крим – Керченське родовище);
- червоний залізняк (Кривбас);
- магнітний залізняк (Курська магнітна аномалія, м.Магнітогорськ);
- залізний колчедан, пірит (Урал)
Сполуки заліза входять до складу живих організмів.
Самостійна робота: Визначити масову частку заліза в:
Варіант І: Бурому залізняку
Варіант ІІ: Червоному залізняку
Варіант ІІІ: Магнітному залізняку
З наведених мінералів запропонуйте той, що є найбільш економічно вигідним для виробництва заліза (чавуна).
Робота з випереджальними завданнями
1. Перевірка завдання № 1.
2. Знаючи, що залізо – метал, опишіть його фізичні властивості. (Залізо – сріблясто-сірий метал, ковкий, пластичний, має магнітні властивості, с =7,87 г/см3, tпл.=15390С, при температурі 60000С переходить у газоподібний стан (на Сонці)).
3. Перевірка завдання № 2.
Чи лише металеві властивості має залізо? Визначте властивості заліза. (Основні, атмосферні, кислотні).
Для заліза валентністю ІІ і ІІІ майже однаковою мірою характерними є одні й ті самі властивості, тому залежно від умов сполуки Fe2+ можуть виступати в ролі відновників, а Fe3+ - окисників.
відновник окисник
ІІ
Fe(OH)2
ОсноваІІ
Fe(OH)3
Амфотерн
IV
FeO2(OH)2 або (H2FeO4)
Фериста кислота
Висновок: залізу притаманні загальні властивості металів і в той самий час він, проявляючи валентність ІІІ, є амфотерним.
4. Перевірка завдання № 3
В яких же випадках залізо проявляє ступінь окислення +3?
Запам’ятайте!
1) При взаємодії з киснем утворюється змішаний оксид:
2) При взаємодії з галогенами Fe проявляє ступінь окислення +3:
3) При взаємодії з водою:
4) При взаємодії з кислотами:
За н.у. Fe пасивує взаємодію з концентрованою кислотою H2SO4 та HNO3, оскільки утворюється міцна оксидна плівка.
5. Питання.
Які властивості буде мати ферум (ІІІ) гідроксид? Де ми вже зустрічалися з поняттям „Амфотерні сполуки?” Які амфотерні елементи та сполуки ви знаєте? Доведіть амфотерний характер Fe(OH)3.
Демонстрація експерименту (проводять учні).
Отже, ми з вами дійшли висновку: сполуки заліза зі ступенем окислення +3 амфотерні.
6. Перевірка завдання № 4.
7. Знаючи, що для заліза ступені окислення +2 та +3 є характерними приблизно однаковою мірою, ідентифікуйте речовини: ферум (ІІ) хлорид та ферум (ІІІ) хлорид.
Демонстрація експерименту (проводять учні)
колір осаду?
колір осаду?
8. Де використовується залізо?
Яким є його значення для організму?
ІІІ. Закріплення та узагальнення.
1. Відповіді на питання (на підвісній дошці)
Схеми на дошці коментує вчитель.
Металургія
Пірометалургія (огняний спосіб)
(+O2) (+H2, C, CO, Me)
Гідрометалургія
1) Мокрий спосіб:
2) Електроліз
Електроліз
Что такое электролиз?
Рассказать я не боюсь.
Значит так: берется полюс.
Этот полюс будет «плюс».
Нужен нам и полюс «минус».
Это тоже электрод.
Если, соль в раствор закинув,
Цепь замкнуть, то ток пойдет.
У катода всем подряд
Выдаются электроны.
Металлический отряд
Получают из ионов.
А анод, наоборот,
Электроны отберет.
В этом месте всякий раз
Выделяться будет газ.
або
Результат всего процесса
Очень даже интересен:
Если ток включается –
Соли разлагаются.
Хімічна активність зменшується
Хімічна активність зменшується
1. Питання до учнів.
Правила перевезення концентрованої сульфатної кислоти в стальних цистернах суворо вимагають, щоб після зливання кислоти з цистерн випускний кран і люк були негайно закриті. Чому? (концентрована сульфатна кислота за звичайної температури не вступає в реакцію із залізом і тому перевозиться в стальних цистернах. При відкритому крані та люку сульфатна кислота швидко поглинає вологу з повітря й перетворюється на розчин кислоти, що енергійно роз’їдає стінки цистерни).
2. Робота за міні-тестами.
Тест з теми „Залізо та його сполуки”.
Варіант І.
1.Назвіть сполуки, в яких залізо має ступінь окислення +2:
а) FeО; в) Fe(NO3)2;
б)NaFeO2; г) FeCl3















