94817 (590156), страница 5
Текст из файла (страница 5)
МЕТОДИКА ЛФК В КОНТРОЛЬНОЙ ГРУППЕ
В контрольной группе занимались 10 человек, им была предложена следующая методика и поставлены задачи:
-
профилактика мышечных атрофий
-
ускорение регенеративных процессов
-
профилактика тугоподвижности
В первые сутки использовались статические дыхательные упражнения, диафрагмальное дыхание, небольшие по амплитуде движения головой и верхними конечностями. Упражнения с сопротивлениям на выходе. Эти упражнения выполнялись 2-4 раза в день. Длительность процедуры 10 минут. После каждой процедуры ЛФК ногу укладывали в возвышенном положении и на непродолжительное время (10-15 минут) удерживали в этом положении.
На второй третий день общеразвивающие упражнения для здоровой конечности, упражнения для верхних конечностей, для мышц туловища, идеомоторные упражнения и дыхательные. Каждое упражнение выполнялось 3-6 раз. Амплитуда средняя, темп медленный. Длительность процедуры 15 минут. После процедуры ногу укладывали в возвышенное положение.
На 5-7 день к вышеуказанным упражнениям добавлялось поднимание прямой ноги. Длительность процедуры 17 минут.
С 14-ого дня разрешается частично нагружать больную конечность. Уделяется внимание улучшению условий периферического кровообращения. К упражнениям, отвечающим данной цели, относятся активные движения, совершаемые без большого усилия, в суставах пальцев и голеностопных суставах. В комплекс включалась ходьба на костылях.
Темп упражнений средний, амплитуда движений средняя. Постепенно увеличивается физическая нагрузка и плотность занятий. Длительность процедуры увеличилась до 25 минут.
Глава IV. Результаты исследования
Для оценки эффективности предлагаемой методики рассматривались показатели:
-
объем здорового бедра
-
объем больного бедра
-
объем здоровой голени
-
объем больной голени
-
динамометрия нижней конечности (измерение давления по оси).
Измерения проводились через каждые 10 дней.
-
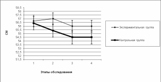
Показатели окружности здорового бедра.
Первое обследование проводилось после наложения иммобилизации на первый - второй день.
Контрольная группа - 56,4 ± 3,6 см
Экспериментальная группа - 56,7 ± 4,7 см (Р>0,05)
Второе обследование (спустя 10 дней)
Контрольная группа - 55,4 ± 3,4 см
Экспериментальная группа - 57,0 ± 4,5 см (Р>0,05)
В контрольной группе наблюдается снижение объема здорового бедра. Это связано с атрофией мышц бедра, снижением физической нагрузки и недостаточным применением изометрических упражнений. Однако в экспериментальной группе изменений практически нет - 0,3 см.
Третье обследование (спустя 20 дней)
Контрольная группа - 54,5 ± 3,5 см
Экспериментальная группа - 56,0 ± 4,9 см (Р>0,05)
Как в контрольной группе, так и в экспериментальной так же произошли изменения в сторону снижения показателей. Происходит распределение нагрузки на обе конечности, тем самым уменьшается нагрузка на здоровое бедро. Но в контрольной группе, по нашему мнению, из за отсутствия изометрических упражнений и нагрузки по оси происходит дальнейшая атрофия мышц.
Четвертое обследование (спустя 30 дней)
Контрольная группа - 54,5 ± 1,2 см
Экспериментальная группа - 56,0 ± 1,3 см (Р>0,05)
В этом периоде, как в контрольной, так и в экспериментальной группах, изменений не произошло.
Рис.1 Динамика изменений объема здорового бедра, см.
-
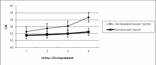
Показатели окружности больного бедра
Первое обследование
Контрольная группа - 51,5 ± 4,4 см
Экспериментальная группа - 52,6 ± 4,9 см (Р>0,05)
Второе обследование (спустя 10 дней)
Контрольная группа - 51,7 ± 4,6 см
Экспериментальная группа - 53,5 ± 5,9 см (Р>0,05)
Изучение полученных данных в контрольной группе говорит об уменьшении объема бедра, тем самым увеличивается атрофия мышц конечности. По нашему мнению это связано с отсутствием в комплексе ЛФК изометрических упражнений и осевой нагрузки. Однако в экспериментальной группе происходит увеличение объема бедра, что говорит о прекращении атрофии мышц. Если сравнить данные больной и здоровой конечности, то увидим ассиметрию, которая связана не только с изменениями в травмированной конечности, но и из за рабочей гипертрофии мышц здоровой ноги. Возникновение её можно объяснить особенностями компенсаторной нагрузки на здоровую конечность при переломе другой, а так же дополнительным отягощением, которое создается при наложении аппарата Илизарова.
Третье обследование (спустя 20 дней)
Контрольная группа - 52,0 ± 1,1 см
Экспериментальная группа - 54,2 ± 1,0 см (Р>0,05)
Из полученных данных мы видим, что в контрольной группе происходит снижение объема бедра, что связано с продолжением атрофии мышц конечности. Однако в экспериментальной группе наоборот происходит увеличение объема бедра, что указывает на эффективность применения изометрических упражнений и осевой нагрузки.
Четвертое обследование (спустя 30 дней)
Контрольная группа - 52,5 ± 1,2 см
Экспериментальная группа - 56,7 ± 1,0 см (Р<0,05)
После четвертого обследования разница окружности сегментов здоровой и больной конечности в контрольной группе составила 2,0 см., а в экспериментальной группе значительно уменьшилась и составила 0,7 см., что свидетельствует о приближении объема травмированной конечности к объему здоровой.
Рис.2 Динамика изменений объема больного бедра, см.
3. Показатели окружности здоровой голени.
Первое обследование
Контрольная группа - 37,6 ± 2,1 см
Экспериментальная группа - 37,7 ± 2,3 см (Р>0,05)
Второе обследование (спустя 10 дней)
Контрольная группа - 37,6 ± 1,8 см
Экспериментальная группа - 38,2 ± 3,0 см (Р>0,05)
В контрольной группе изменений не произошло, в экспериментальной немного увеличился объем мышц голени, что связано с применением осевой нагрузки и изометрических упражнений.
Третье обследование (спустя 20 дней)
Контрольная группа - 37,4 ± 1,8 см
Экспериментальная группа - 38,0 ± 2,9 см (Р>0,05)
Как в контрольной, так и в экспериментальной группах происходит незначительное уменьшение объема голени.
Четвертое обследование (спустя 30 дней)
Контрольная группа - 37,3 ± 2,0 см
Экспериментальная группа - 38,0 ± 2,9 см (Р>0,05)
При измерении окружности здоровой голени, как в контрольной, так и в экспериментальной группах, разница окружностей составила примерно 0,1-0,2 см.
Рис.3 Динамика изменений объема здоровой голени, см.
-
Показатели окружности травмированной голени.
Первое обследование
Контрольная группа - 40,8 ± 1,6 см
Экспериментальная группа - 40,7 ± 1,8 см (Р>0,05)
Увеличение окружности голени при переломе костей голени указывает на наличие посттравматического отека, который при данной патологии значительный и составляет в контрольной группе 3,2 см., в экспериментальной - 3,0 см.
Второе обследование
Контрольная группа - 40,5 ± 1,7 см
Экспериментальная группа - 39,5 ± 3,2 см (Р>0,05)
В контрольной группе произошло незначительное снижение объема голени - 0,3 см., а в экспериментальной группе уменьшение объема голени составило - 1,2 см. Следовательно в экспериментальной группе отек на больной голени уменьшился за счет улучшения лимфооттока.
Третье обследование
Контрольная группа - 40,2 ± 1,8 см
Экспериментальная группа - 38,8 ± 3,5 см (Р>0,05)
В этом исследовании так же наблюдается в контрольной группе незначительное уменьшение объема голени на 0,3 см., а в экспериментальной группе на 0,7 см., но значительно отличается от исходного уровня (голень уменьшилась в объеме на 1,9 см.), что говорит о снижении отека.
Четвертое обследование
Контрольная группа - 39,3 ± 2,1 см
Экспериментальная группа - 38,5 ± 3,3 см (Р>0,05)
В данном исследовании видна значительная разница объемов сегментов между экспериментальной и контрольными группами, которая составляет 0,8 см. Если сравнить в контрольной группе разницу окружностей сегментов здоровой и больной конечностей, то она составляет 2,0 см. В экспериментальной группе разница окружностей между здоровой и больной голенями составила 0,5 см., что свидетельствует о значительном уменьшении отека голени и приближении объема больной голени к объему здоровой.
Рис.4 Динамика изменения объема больной голени, см.
-
Динамометрия (измерение давления по оси)
Первое обследование
Контрольная группа - 5,2 ± 0,8 кг
Экспериментальная группа - 5,0± 0,8 кг (Р>0,05)
Из вышеуказанных данных мы видим, что опороспособность у всех пациентов достигала величины 5 - 6 кг, что приблизительно соответствует весу ноги. Этот результат говорит о недостаточности функциональных возможностей всего костно - мышечного аппарата травмированной конечности.
Второе обследование
Контрольная группа - 17,2 ± 2,1 кг
Экспериментальная группа - 24,6± 3,8 кг (Р<0,05)
К моменту начала процессов ассификации с костной мозоли (20 - 24 день) опороспособность увеличивается в контрольной группе на 12 кг от исходного уровня, в экспериментальной на 19,4 кг, что свидетельствует об увеличении тренированности мышечно-связочного аппарата и о начале образования белковой структуры мозоли.
Третье обследование.
Контрольная группа - 32,8 ± 1,9 кг
Экспериментальная группа - 45,8± 10,0 кг (Р<0,05)
К 30 - 32 дню отмечалось увеличение опороспособности: в контрольной группе на 27,6 кг, в экспериментальной на 40,8 кг от исходных уровней. Здесь мы видим значительную разницу между контрольной и экспериментальной группами, которая составляет 13,2 кг. Это указывает на то, что в контрольной группе происходит более замедленное восстановление функциональных возможностей мышечно - связочного аппарата.
Четвертое обследование
Контрольная группа - 45,2 ± 7,4 кг
Экспериментальная группа - 61,6± 8,5 кг (Р<0,05)
К 40 - 42 дню нагрузка по оси в экспериментальной группе достигает до 100% от веса тела - это свидетельствует о начавшихся процессах минерализации мозоли. Мы обнаружили некоторое замедление нарастания опороспособности у женщин в контрольной и экспериментальной группах по сравнению с мужчинами. Это связано с более слабым, нетренированным мышечно-связочным аппаратом.
Рис.5 Динамика нарастания давления по оси травмированной конечности, кг
Вывод: после проведенного эксперимента в контрольной группе объем здорового бедра 54,5 ± 1,2см, объем больного бедра 52,5 ± 1,2 см, объем здоровой голени 37,3 ± 2,0 см, объем больной голени 39,3 ± 2,1 см, динамометрия 45,2 ± 7,4 кг. В экспериментальной группе объем здорового бедра 56,0 ± 1,3 см, объем больного бедра 56,7 ± 1,0 см, объем здоровой голени 38,0 ± 2,9 см, объем больной голени 38,5 ± 3,3 см, динамометрия 61,6 ± 8,5 кг. Таким образом объемные размеры в экспериментальной группе здоровой и больной ноги после проведенного эксперимента были примерно одинаковы, чего не отмечается в контрольной группе. Кроме этого в экспериментальной группе осевая нагрузка на оперированную конечность к концу эксперимента приблизилась к 100% от массы тела.
Выводы
1. Анализ научно-методической литературы показал, что на реабилитацию больных после переломов костей голени требуется до 6 месяцев, а инвалидность составляет 14-15%. В связи с этим вопросы совершенствования методики восстановления трудоспособности после лечения переломов голени методом компрессионно-дистракционного остеосинтеза являются актуальными.
2. В процессе педагогического эксперимента выявлено, что у травматологических больных имеются как вторичные общие проявления травматической болезни, выражающиеся в значительном снижении общей работоспособности, так и местные, проявляющиеся в снижении функциональных возможностей поврежденной конечности.
3. Наиболее эффективным в реабилитации больных с переломами костей голени будет специальная методика изометрической гимнастики и осевой нагрузки, преимущественно устраняющий вторичные проявления травматической болезни, направленное на изменение функционального состояния поврежденной конечности.
4. Экспериментальные исследования и педагогические наблюдения позволили разработать методику изометрической гимнастики и осевой нагрузки при переломах костей голени по 4 этапам: 1 этап - до 10 дней после операции; 2 этап - до 20 дней после операции; 3 этап - до 30 дней; 4 этап - до 40 дней.
ПРАКТИЧЕСКИЕ РЕКОМЕНДАЦИИ.
Существующие рекомендации по поддержанию и восстановлению функциональных возможностей как поврежденной конечности, так и организма после переломов костей голени посредством использования традиционных средств, методов и форм явно недостаточны для достижения желаемого эффекта - быстрого восстановления трудоспособности. Только целенаправленно спланированное использование физических упражнений в соответствии с методическими принципами построения тренировочного процесса (непрерывность, систематическое чередование нагрузки и отдыха, постепенность, адаптивное сбалансирование динамики нагрузок, волнообразность, цикличность, возрастная адекватность) дает возможность оптимально воздействовать на функции и системы организма больного и, тем самым, добиваться качественного восстановления физических возможностей в ходе процесса реабилитации. Процесс восстановления течения переломов костей голени методом компрессионно-дистракционного остеосинтеза предусматривает использование не только общепринятых методик, действующих глобально на организм, но предложенной нами методики восстановления, воздействующей локально на поврежденную конечность.
Приложения
Приложение 1
| Показатели объемов здорового, больного бедра см, голени см, и динамометрии нижней конечности кг | ||||||||||||
| этапы | здоровое | Р | здоровая | Р | больное | Р | больная | Р | динамометрия | Р | ||
| бедро | Голень | бедро | голень | |||||||||
| X,±δ, см | X,±δ, см | X,±δ, см | X,±δ, см | X,±δ, кг | ||||||||
| I | КГ | 56,4±3,6 | 37,6±2,1 | 51,5±4,4 | 40,8±1,6 | 5,2±0,8 | ||||||
| ЭГ | 56,7±4,7 | P>0,05 | 37,7±2,3 | P>0,05 | 52,6±4,9 | P>0,05 | 40,7±1,8 | P>0,05 | 5,0±0,8 | P>0,05 | ||
| II | КГ | 55,4±3,4 | 37,6±1,8 | 51,7±4,6 | 40,5±1,7 | 17,2±2,1 | ||||||
| ЭГ | 57,0±4,5 | P>0,05 | 38,2±3,0 | P>0,05 | 53,5±5,9 | P>0,05 | 39,5±3,2 | P>0,05 | 24,6±3,8 | P<0,05 | ||
| III | КГ | 54,5±3,5 | 37,4±1,8 | 52,0±1,1 | 40,2±1,8 | 32,8±1,9 | ||||||
| ЭГ | 56,0±4,9 | P>0,05 | 38,0±2,9 | P>0,05 | 54,2±1,0 | P>0,05 | 38,8±3,5 | P>0,05 | 45,8±10,0 | P<0,05 | ||
| IV | КГ | 54,5±1,2 | 37,3±2,0 | 52,5±1,2 | 39,3±2,1 | 45,2±7,4 | ||||||
| ЭГ | 56,0±1,3 | P>0,05 | 38,0±2,9 | P>0,05 | 56,7±1,0 | P<0,05 | 38,5±3,3 | P>0,05 | 61,6±8,5 | P<0,05 | ||
Приложение 2
0>0>0>0>0>0>0>0>















