85854 (589884), страница 7
Текст из файла (страница 7)
Середнє значення систематичної вибірки має розподіл
~
Дисперсія середнього систематичної вибірки дорівнює
.
б) Проста випадкова вибірка
Частка домогосподарств, де головний член сім’ї не білий дорівнює
Для простої випадкової вибірки дисперсія вибіркової частки має вигляд:
,
де
,
. Підставляємо і отримаємо:
.
Дисперсія простої випадкової вибірки при оцінюванні частки домогосподарств з небілим головним членом сім’ї дорівнює
.
Відповідь:
. Дисперсія систематичної вибірки точніша за дисперсію простої випадкової вибірки при оцінюванні частки домогосподарств, де головний член сім’ї небілий.
Приклад 3. Є наступний список мешканців 13-ти будинків деякої вулиці. М – дорослий чоловік, Ж – доросла жінка, м – хлопчик, ж – дівчинка.
Сім’ї
| 1 | 2 | 3 | 4 | 5 | 6 | 7 | 8 | 9 | 10 | 11 | 12 | 13 |
| М | М | М | М | М | М | М | М | М | М | М | М | М |
| Ж | Ж | Ж | Ж | Ж | Ж | Ж | Ж | Ж | Ж | Ж | Ж | Ж |
| ж | ж | м | м | ж | ж | м | м | м | ж | ж | ||
| м | м | ж | м | м | ж | ж | ж | м | ||||
| ж | ж | ж | м |
Порівняйте дисперсії для систематичної вибірки кожної п’ятої людини та 20%-вої простої випадкової вибірки при оцінюванні: (а)частки людей чоловічої статі, (б) частки дітей. У випадку систематичної вибірки ведіть відлік у кожному стовбці зверху вниз і далі з верху наступного стовпця.
Розв’язання.
Запишемо всі систематичні вибірки кожної п’ятої людини:
-
М М М Ж ж М М Ж ж М
-
Ж Ж Ж М М Ж Ж м М Ж
-
ж ж м Ж Ж ж м М Ж ж
-
м м ж м ж ж ж Ж ж М
-
ж ж М м м м М м м Ж
а) Оцінювання частки людей чоловічої статі
-
Систематична вибірка кожної п’ятої людини
Тоді розподіл середнього має вигляд:
.
Дисперсія середнього систематичної вибірки дорівнює
.
-
20%-ва проста випадкова вибірка
Якщо
, тоді
. Частка людей чоловічої статі дорівнює
Тоді дисперсія вибіркової частки простої випадкової вибірки дорівнює
Дисперсія простої випадкової вибірки при оцінюванні частки людей чоловічої статі дорівнює
.
б) Оцінювання частки дітей
-
Систематична вибірка кожної п’ятої людини
Тоді розподіл середнього має вигляд:
.
Дисперсія середнього систематичної вибірки дорівнює
.
-
20%-ва проста випадкова вибірка
Якщо
, тоді
. Частка дітей дорівнює
Тоді дисперсія вибіркової частки простої випадкової вибірки дорівнює
Дисперсія простої випадкової вибірки при оцінюванні частки дітей дорівнює
.
Відповідь: а) При оцінюванні частки людей чоловічої статі отримали, що
. Дисперсія систематичної вибірки точніша за дисперсію 20%-ї простої випадкової вибірки. Але можна помітити, що вони майже рівні. б) При оцінюванні частки дітей отримали, що
. В цьому випадку дисперсія 20%-ї простої випадкової вибірки є кращою ніж дисперсія систематичної вибірки.
РОЗДІЛ ІІ. ПОРІВНЯННЯ СИСТЕМАТИЧНОГО ВІДБОРУ, ПРОСТОГО ВИПАДКОВОГО ТА СТРАТИФІКОВАНОГО ВІДБОРІВ
2.1 Місто StatVillage
StatVillage – це гіпотетичне місто, яке складається з окремих домогосподарств і використовується як база даних для студентів та аспірантів, що вивчають вибіркові методи.
Дані домогосподарств для StatVillage обирались навмання з результатів перепису сімей, що мешкали в домогосподарствах у місті Ванкувері, Британській Колумбії, Канаді у 1991 році. Сам перепис населення проходив шляхом анонімного анкетування. Бралися до уваги наступні характеристики:
-
демографічні показники – розмір домогосподарства та його склад за віком та статтю;
-
показники доходу – зайнятість, інвестиції, валові витрати, різні доходи домогосподарств та інші;
-
житлові характеристики – тип житла, рік побудови, своє житло чи орендоване, оціночна вартість, щомісячні витрати на розміщення та інші;
-
характеристика двох головних членів сім’ї, які відповідають за добробут сім’ї – вік, стать, професія, рідна мова, освіта, зайнятість і т.д;
Існують три конфігурації міста StatVillage:
-
Maximal village – складається зі 128 блоків, кожен з яких містить 8 домогосподарств (загальна кількість домогосподарств - 1024).
-
Mini village – складається з 60 блоків, кожен з яких містить 8 домогосподарств (загальна кількість домогосподарств – 480).
-
Micro village – складається з 36 блоків, кожен з яких містить 8 домогосподарств (загальна кількість домогосподарств – 288).
Кожен блок домогосподарств нумерується в певному порядку, а саме
Рис. 2.1.1 Нумерування блоку домогосподарств
Для того, щоб отримати дані з міста StatVillage, необхідно спочатку відмітити домогосподарства позначкою як показано на рисунку 2.1.2 (відмічено кожне 8-ме домогосподарство)
Рис. 2.1.2 Систематичної вибірка кожного восьмого домогосподарства
Після цього натискаємо кнопку «Get the sample units» і отримуємо код, який представлений на рис. 2.1.3
Рис. 2.1.3 Код отриманої вибірки
Отриманий код містить 36 стовбців, кожен з яких відповідає за окрему характеристику домогосподарства. Розшифровка коду наведена в додатку А.
2.2 Порівняння відборів
В своїй роботі я використовую другу конфігурацією StatVillage, а саме Mini Village, яка складається з 60-ти блоків. Для того, щоб порівняти точності систематичного, простого випадкового та стратифікованого відборів, я буду використовувати вибірки, добуті з 11-го та 13-го стовпців коду. Ці стовпці називаються TOTINCH та BUILTH, що є загальним доходом домогосподарства (включає в себе заробітну плату, пенсії, дівіденти та відсотки за депозитами і т.д.) та періодом побудови домогосподарства відповідно.
В результаті дослідження виявилось, що домогосподарства в StatVillage впорядковані за загальним доходом, а саме загальний дохід зменшується зі зростанням номеру домогосподарства. Логарифмічна регресія значуща. На рисунку 2.2.1 представлена діаграма розсіювання та логарифмічна регресія.
Рис. 2.2.1 Діаграма розсіювання
Рівняння регресії:
F-статистика:
Логарифмічна регресія значуща.
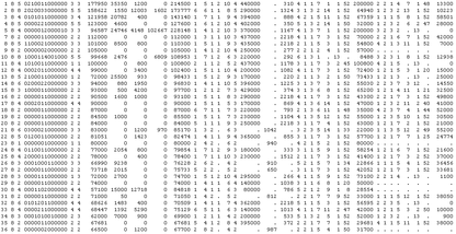
Порівняємо дисперсії середнього доходу домогосподарств при систематичному відборі кожного восьмого домогосподарства, простому випадковому відборі та стратифікованому відборі. Після отримання коду з 11-го стовпця (див. рис 2.1.3) запишемо дані в таблицю 2.2.1, розділивши на 60 страт.
Таблиця 2.2.1 Дані по 8-ми систематичним вибіркам
| Страта | Номер систематичної вибірки (k=8) |
| ||||||||
| 1 | 2 | 3 | 4 | 5 | 6 | 7 | 8 | |||
| 1 | 214500 | 306000 | 291178 | 274200 | 250000 | 224230 | 224308 | 215448 | 249983 | |
| 2 | 173777 | 200000 | 194322 | 175879 | 175000 | 173058 | 163673 | 162425 | 177266,8 | |
| 3 | 143140 | 156667 | 150750 | 148433 | 151774 | 155215 | 147700 | 144781 | 149807,5 | |
| 4 | 127600 | 142800 | 140900 | 140000 | 145148 | 137400 | 132998 | 137526 | 138046,5 | |
| 5 | 228148 | 127706 | 129400 | 127109 | 124365 | 124324 | 126280 | 122300 | 138704 | |
| 6 | 116200 | 120000 | 120393 | 120021 | 117561 | 116876 | 116400 | 131253 | 119838 | |
| 7 | 112000 | 116000 | 116000 | 116000 | 115000 | 115400 | 114497 | 115936 | 115104,1 | |
| 8 | 110300 | 114766 | 121294 | 117000 | 112100 | 110000 | 110000 | 109600 | 113132,5 | |
| 9 | 105000 | 110830 | 112144 | 108481 | 108000 | 108601 | 105493 | 105000 | 107943,6 | |
| 10 | 108953 | 165544 | 114427 | 105200 | 122916 | 102865 | 105664 | 102900 | 116058,6 | |
| 11 | 100800 | 102400 | 113340 | 101800 | 124400 | 100702 | 102567 | 105400 | 106426,1 | |
| 12 | 102400 | 100400 | 101300 | 101000 | 100333 | 108470 | 99070 | 99800 | 101596,6 | |
| 13 | 98433 | 99400 | 98957 | 100871 | 98719 | 105833 | 104889 | 101700 | 101100,3 | |
| 14 | 96830 | 98100 | 98000 | 107589 | 96050 | 96000 | 130797 | 96193 | 102444,9 | |
| 15 | 97700 | 94728 | 94600 | 94542 | 93929 | 93728 | 107275 | 93933 | 96304,38 | |
| 16 | 93100 | 100850 | 95029 | 93000 | 93626 | 101800 | 92312 | 93610 | 95415,88 | |
| 17 | 90000 | 93082 | 108632 | 101221 | 94304 | 92100 | 101150 | 90800 | 96411,13 | |
| 18 | 87000 | 90000 | 88846 | 88697 | 92593 | 88400 | 88000 | 88800 | 89042 | |
| 19 | 85500 | 96348 | 87483 | 88615 | 92728 | 86028 | 86000 | 86257 | 88619,88 | |
| 20 | 84000 | 87073 | 85320 | 105548 | 97503 | 85800 | 85691 | 85120 | 89506,88 | |
| 21 | 85170 | 120000 | 87893 | 83514 | 84134 | 83201 | 83080 | 83000 | 88749 | |
| 22 | 82474 | 93489 | 82720 | 82530 | 102614 | 82800 | 82986 | 82080 | 86461,63 | |
| 23 | 80000 | 84000 | 81777 | 80539 | 86759 | 81200 | 80800 | 80000 | 81884,38 | |
| 24 | 79854 | 80000 | 80400 | 80000 | 113400 | 79350 | 80050 | 94375 | 85928,63 | |
| 25 | 78400 | 79000 | 81268 | 79400 | 80800 | 79800 | 79532 | 86117 | 80539,63 | |
| 26 | 76228 | 78075 | 77600 | 77985 | 77650 | 77359 | 79122 | 77096 | 77639,38 | |
| 27 | 75733 | 77000 | 76149 | 76000 | 86069 | 78974 | 85351 | 95990 | 81408,25 | |
| 28 | 74700 | 76400 | 75853 | 75000 | 76983 | 90305 | 87022 | 75528 | 78973,88 | |
| 29 | 74000 | 74946 | 74961 | 99015 | 86590 | 84569 | 77300 | 74800 | 80772,63 | |
| 30 | 84818 | 73587 | 77909 | 75210 | 79193 | 72400 | 73000 | 72110 | 76028,38 | |
| 31 | 71050 | 72093 | 72200 | 72800 | 72800 | 71856 | 72174 | 71238 | 72026,38 | |
| 32 | 70509 | 71400 | 71000 | 121762 | 71647 | 71397 | 72458 | 70750 | 77615,38 | |
| 33 | 75129 | 70000 | 70800 | 70400 | 87400 | 74915 | 70000 | 70800 | 73680,5 | |
| 34 | 69900 | 69731 | 73282 | 73792 | 69470 | 83568 | 69833 | 74300 | 72984,5 | |
| 35 | 67681 | 69105 | 79079 | 76779 | 68550 | 71178 | 68033 | 72400 | 71600,63 | |
| 36 | 67700 | 68400 | 71570 | 74400 | 78843 | 67400 | 67000 | 77141 | 71556,75 | |
| 37 | 65659 | 66703 | 67217 | 66800 | 75000 | 72439 | 65400 | 66132 | 68168,75 | |
| 38 | 65000 | 69320 | 65000 | 71800 | 65000 | 76890 | 66154 | 65500 | 68083 | |
| 39 | 69600 | 65300 | 73111 | 65065 | 68457 | 69200 | 64400 | 65229 | 67545,25 | |
| 40 | 63000 | 67200 | 71943 | 63652 | 66020 | 64400 | 63993 | 70740 | 66368,5 | |
| 41 | 62900 | 63800 | 63800 | 62893 | 63200 | 63200 | 62697 | 63306 | 63224,5 | |
| 42 | 63519 | 62500 | 62763 | 83643 | 62400 | 62095 | 65900 | 69725 | 66568,13 | |
| 43 | 62364 | 61611 | 71443 | 61304 | 61300 | 61200 | 61908 | 65000 | 63266,25 | |
| 44 | 92240 | 61400 | 68700 | 61355 | 61623 | 60468 | 61151 | 79534 | 68308,88 | |
| 45 | 71233 | 61612 | 60800 | 61800 | 62000 | 60800 | 60910 | 60000 | 62394,38 | |
| 46 | 58988 | 60374 | 63684 | 78065 | 60733 | 59000 | 59400 | 59400 | 62455,5 | |
| 47 | 58400 | 111951 | 62227 | 58224 | 76761 | 58975 | 58000 | 58450 | 67873,5 | |
| 48 | 57800 | 58500 | 62910 | 66981 | 71500 | 57400 | 57600 | 57800 | 61311,38 | |
| 49 | 58354 | 57800 | 58871 | 58544 | 60217 | 56358 | 62763 | 57060 | 58745,88 | |
| 50 | 55900 | 56800 | 57467 | 75196 | 55479 | 78122 | 69699 | 57527 | 63273,75 | |
| 51 | 55350 | 56685 | 62369 | 55000 | 65300 | 59148 | 58400 | 71000 | 60406,5 | |
| 52 | 61671 | 91516 | 61052 | 65277 | 56550 | 56850 | 73512 | 56000 | 65303,5 | |
| 53 | 56467 | 54000 | 65700 | 73998 | 59781 | 55788 | 53530 | 53000 | 59033 | |
| 54 | 52191 | 58700 | 57219 | 55441 | 53533 | 53300 | 52163 | 53879 | 54553,25 | |
| 55 | 59391 | 52621 | 58086 | 55800 | 55500 | 52475 | 55818 | 52335 | 55253,25 | |
| 56 | 51000 | 51713 | 59277 | 55347 | 51333 | 51600 | 53465 | 51857 | 53199 | |
| 57 | 50527 | 54560 | 51000 | 51857 | 50859 | 50800 | 54540 | 50700 | 51855,38 | |
| 58 | 53475 | 50500 | 50460 | 53426 | 93669 | 50000 | 55000 | 50800 | 57166,25 | |
| 59 | 49517 | 71853 | 49400 | 49000 | 49214 | 75349 | 48594 | 49582 | 55313,63 | |
| 60 | 47900 | 57499 | 48000 | 48992 | 48360 | 48400 | 50649 | 49105 | 49863,13 | |
|
| 83852,88 | 88407,3 | 86154,58 | 86896,53 | 87045,67 | 83855,98 | 83469,18 | 83002,8 | 5120137 | |
|
| 5031173 | 5304438 | 5169275 | 5213792 | 5222740 | 5031359 | 5008151 | 4980168 | ||
У кожній страті міститься 1 блок, тобто 8 домогосподарств.
















