81683 (589573), страница 5
Текст из файла (страница 5)
Надто кислий смак може виникнути при дуже тривалому сквашуванні молока, запізнілому охолодженні і при перевищенні термінів зберігання готової продукції.
Аміачний і хлівний присмаки проявляються у тому випадку, коли молоко до переробки тривалий час знаходилося в погано вентильованому приміщенні, де утримувалися тварини, або до переробки було забруднено окремими видами гнильних бактерій.
Металевий присмак зумовлений використанням для зберігання сировини (молока), або готової продукції (сметана, сир) в погано луженій тарі (цистерни, бідони, фляги).
Пліснявий смак і запах виникає в наслідок пліснявіння готової продукції. Розвиток пліснявих грибів може виникнути при тривалому зберіганні продукції в приміщеннях з підвищеною температурою і відносною вологістю повітря за умовою негерметичної упаковки, бо всі плісені - аеробні мікроорганізми. Найчастіше за таких умов розвивається молочна пліснява – Oidium lactis. Пліснява розвивається на поверхні продуктів, утворюючи на них білий пухнастий шар. Неприємний смак і запах пліснявої продукції зумовлений тим, що плісняві гриби продукують протеолітичні ферменти, які призводять до розкладу білкових речовин і ліпідів. Пліснявіння спостерігається тільки при порушенні умов і термінів зберігання і готової продукції.
Дефекти консистенції. Найчастіше зустрічаються такі дефекти консистенції кисломолочних продуктів: виділення сироватки, трухлявість згустку, спучування продукту, рідка, мазка і крихка консистенція.
Виділення сироватки із згустку спостерігається при переквашуванні згустку, порушенні терміну зберігання.
Мазка консистенція спостерігається в кисломолочних сирах при переквашуванні або недостатньому повторному нагріванні (відварюванні) подрібненого згустку.
1.7 Фальсифікація кисломолочних сирів та методи їх визначення
Способи фальсифікації кисломолочних сирів та методи їх виявлення наведені у таблиці 1.7.1.
Таблиця 1.7.1- Фальсифікація кисломолочних сирів та методи їх визначення
| Найменування | Способи та засоби | Методи визначення |
| Кисломолочний сир | Розбавлення водою | Вимірюють в’язкість та вміст жиру. Визначають вологість продукту |
| Розбавлення кефіром | Дослідження на наявність кефірного грибка | |
| Додавання крохмалю | Реакція з йодом | |
| Додавання крейди | Реакція з кислотою | |
| Виготовлення із сирого молока | Ефективність пастеризації |
Додання до сметани кисломолочного сиру. Для поліпшення консистенції сметани (як правило після розведення водою) фальсифікатори добавляють добре розтертий кисломолочний сир.
Визначають таку фальсифікацію наступним способом: у склянку з гарячою водою додають столову ложку сметани. При наявності фальсифікації жир спливає на поверхню, а казеїн сиру, кислого молока та інших домішок осідає на дно. Сметана не повинна мати осаду, лише як виняток може мати окремі його сліди. Осад слід дослідити сенсорно.
Виявлення домішок крохмалю в сирі
Прилади і реактиви: пробірки, розчин Люголя.
Хід визначення. У пробірку вносять 5 мл дрібно розтертого сиру, додають 2-3 краплі розчину Люголя. Вміст пробірки збовтують. Поява синього кольору вказує на наявність в продукті крохмалю.
Визначення фальсифікації сиру за вмістом вологи та жиру.
Розповсюдженим видом технологічної фальсифікації сирів є недотримання вимог НТД (збільшення вмісту вологи та зменшення вмісту жиру), за рахунок чого отримується додатковий прибуток, а якість продуктів значно погіршується.
Прилади і реактиви: фарфорова або алюмінієва чашечка місткістю 50 г, ваги, сушильна шафа.
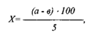
Хід визначення. У суху фарфорову або алюмінієву чашечку насипають тонким шаром прожарений пісок. Чашечку з піском зважують на технохімічних вагах. Потім відважують в чашечку 5 г розтертого сиру і ставлять точно на 20 хв в сушильну шафу при температурі 160-165° (більш тривале нагрівання може викликати розкладання білків і жиру).
Після цього чашечку, не охолоджуючи, зважують, і за різницею ваги визначають вміст вологи. При зважуванні гарячу чашечку потрібно ставити на підставку, вміщену на чашечку ваги (можна пристосувати для цієї мети невеликий фарфоровий трикутник, відігнувши відповідним чином кінець дроту).
Вміст вологи в сирі, %, обчислюють за формулою:
де а – вага чашечки
з піском і наважкою сиру до висушування;
в – вага чашечки з тим же вмістом після 20-хвилинного висушування.
За результатами дослідження роблять висновок.
1.8 Пакування, маркування, транспортування та зберігання кисломолочних сирів. Гарантії виробника
Пакування
Творог випускається:
В споживчій упаковці прямокутної форми, загорнутим в пергамент за ГОСТом 1341, або поліетиленових мішечках з плівки, виготовленої з поліетилену марки 15803-020 за ГОСТом 16337, масою нетто 100, 125, 250, 500 і 1000г;
В транспортній тарі: в алюмінієвих бідонах за ГОСТом 1715, масою нетто не більше 10 кг, металічних флягах з внутрішнім діаметром горловини 220 мм за ГОСТом 5037, масою нетто не більше 30 кг, дерев’яних діжках за ГОСТом 8777, масою нетто не більше 50 кг.
Допускається пакування творогу в діжки і картонні ящики з мішками вкладеними з поліетилену марки 15803-020 за ГОСТом 16337 і ГОСТом 19360 або за ГОСТом 10354.
Творог, вироблений із не пастеризованого молока, випускається тільки в флягах і діжках.
Реалізація творогу в діжках через торгівельну мережу не допускається.
Бідони-фляги і діжки повинні бути заповнені творогом і щільно закриті кришкою.
Кришки фляг мають бути ущільнені резиновими кільцями.
Творог в споживчій тарі вкладають в ящики з картону за ГОСТом 13513, ГОСТом 13515, полімерні за ТУ 10-10-01-04, дерев’яні за ГОСТом 11354, алюмінієві (контейнери) за нормативно-технічною документацією, масою нетто не більше 20кг.
Бідони, фляги, діжки, дерев’яні ящики повинні бути опломбовані, картонні обклеєні клейкою стрічкою на паперовій основі за ГОСТом 18251.
Допускаються відхилення від встановленої маси нетто творогу в грамах, не більше:
При упаковці:
Від 10 до 50 кг не більше
Тара і пакувальні матеріали мають забезпечувати зберігання якості і форми продукту.
Маркування
На кожну одиницю споживчої упаковки творогу в пергаменті має бути нанесено компостером або тисненням фарбою, що не змивається і не має запаху маркування в якому вказано:
найменування або номеру, або товарного знаку підприємства-виробника;
виду творогу;
маси нетто в грамах;
дати або дня кінцевого терміну реалізації;
інформаційних даних про харчову і енергетичну цінність 100г продукту;
роздрібної ціни одиниці упаковки;
позначення діючого стандарту.
Творог в поліетиленових мішечках маркується у відповідності:
На кожну одиницю транспортної тари за допомогою трафарету або резинового штампу має бути нанесено маркування фарбою, що не змивається і не має запаху, або наклеєна етикетка, або повішений ярлик на якому вказано:
найменування або номеру, або товарного знаку підприємства-виробника;
повного найменування і виду продукту на якому вказано «з пастеризованого молока» або «не з пастеризованого молока (підлягає обов’язковій термічній обробці)»;
маси брутто, тари, нетто – для творогу в транспортній тарі в кілограмах;
кількості одиниць, покладених в ящик, - для творогу в споживчій тарі;
дати або дня кінцевого терміну реалізації;
номеру партії;
температури зберігання;
інформаційних даних про харчову і енергетичну цінність 100г продукту;
позначення справжнього стандарту.
Творог, упакований в транспортну тару, має супроводжуватись в торгівельну мережу ярликом, який при реалізації продукту має бути викладений на прилавок.
Транспортування.
Перевезення творогу із заводів на торговельні бази, холодильники, в магазини, а також із залізничних станцій на бази має здійснюватись в авторефрежераторах або в машинах із захисним кузовом, у відповідності з правилами транспортних організацій по перевезенню багажів, що швидко псуються.
Зберігання.
Творог повинен зберігатися партіями в охолоджених приміщеннях при температурі повітря не більше 60С.
Заморожений творог зберігається у відповідності з вимогами технологічної інструкції по замороженню, зберіганню і розмороженню творогу, затвердженому в установленому порядку.
Гарантії виробника.
Виробник гарантує відповідність якості творогу, що випускається вимогам справжнього стандарту, при дотриманні умов зберігання і транспортування.
Гарантійний термін зберігання творогу – 36 год з часу закінчення технологічного процесу, в тому числі на підприємстві-виробнику – не більше 18 год.
Висновки до розділу 1
За статистичними даними відмічається падіння виробництва молочних продуктів. Порівняно з 2005 роком воно носить переважно економічний характер та пов’язано як зі скороченням поголів’я корів, так і з низькою продуктивністю молочного стада. Зниження рівня виробництва молока відмічено і в сільськогосподарських підприємствах, і в приватному секторі. Всього сільськогосподарськими підприємствами усіх форм власності у 2006 році було вироблено біля 13,3 млн. тон молока, що на 3,2 % поступається рівню 2005 року (13,7 млн. тон).
Виробництво основних видів молокопродуктів у 2006 році, за винятком кисломолочної продукції, зменшилася. Основні причини, що вплинули на це можна віднести дефіцит якісного сирого молока, введення Росією ембарго на продукцію українського виробництва. На даний момент вітчизняні виробники практично повністю забезпечують потреби внутрішнього ринку.
Стосовно об’ємів, поставок українського молочної продукції на територію Молдови відмітимо, що він достатньо високий і у 2006 році він зріс на 27 %.
Кисломолочний сир – продукт дієтичного харчування. Завдяки високому вмісту амінокислоти метіоніну він рекомендується для профілактики та захворювань печінки і атеросклерозу (метіонін нормалізує жировий обмін і обмін холестерину, порушення яких є причиною розвитку атеросклерозу і захворювань печінки). Високий вміст кальцію дозволяє рекомендувати кисломолочні сири для лікування та профілактики різних запальних процесів, а також для зміцнення кісткової тканини, зокрема після переломів. Особливого значення надається кисломолочним сирам в харчуванні людей (дорослих і дітей), які проживають в умовах хронічної дії малих доз радіації. Останнє зумовлено конкурентними взаємовідносинами між кальцієм і стронцієм. При нестачі кальцію в раціоні в кістковій тканині накопичується радіоактивний стронцій, який є причиною її поступового руйнування. Якщо ж раціон багатий кальцієм – стронцій організмом не засвоюється і виводиться з організму. Тому кисломолочні сири, сиркові вироби та різні їх вироби з них повинні входити до щоденного раціону людини, зокрема дітей дошкільного і шкільного віку, у яких є потреба в кальції особливо висока у зв’язку з їх зростанням.
Серед усіх показників якості для споживання кисломолочних продуктів найважливішими є їх смак і запах.
Специфічний кисломолочний смак і аромат кисломолочних сирів зумовлений утворенням ароматичних речовин при тепловій обробці молока, а також їх нагромадження у процесі життєдіяльності мікроорганізмів заквасок, формування типового смаку і запаху кисломолочних продуктів і заквасок, проходить, головним чином, в період сквашування, дозрівання і зберігання готових продуктів. Таким чином, вираженість їх запаху визначається складом і кількістю бактеріальних заквасок, режимом технологічного процесу і зберігання.
У кисломолочних продуктах і заквасках є наступні ароматичні речовини: карбонові кислоти (молочна, оцтова, пропіонова, масляна. Капронова, рібно ро); карбонільні сполуки (ацетальдегід, ацетил, ацетоін, ацетон, метилетилкетон та інші), спирти та ефіри (етанол, рібно р-2, бутанол-1, етилацетат) і вуглекислота.
З фізико-хімічних показників у кисломолочних продуктах визначають: температуру, масову частку жиру, сухих речовин, вологи, кислотність, фосфатазу.















