63322 (588926), страница 3
Текст из файла (страница 3)
k =1,38-10-23постоянная Больцмана;
То =293 К -шумовая температура;
Кш коэффициент шума;
Ку-максимальный в полосе частот коэффициент усиления прибора в линейном режиме работы;
Кф- коэффициент формы АЧХ, лежащий обычно в пределах 0,3... 0,5.
Из анализа (I) видно, что возможны два направления работ по уменьшению уровня шумов при заданных значениях коэффициента усиления и полосы усиливаемых частот: уменьшение коэффициента шума и минимизация перепада коэффициента усиления в диапазоне частот (определяемая значениями Кумах и Кф)
Зависимость коэффициента шума ЛБВ средней и большой (более 20 Вт) мощностей от выходной мощности Рвых [Вт] может быть выражена в следующем виде:
(2)
где Рид - выходная мощность прибора по ТУ, Вт.
Связь между Кш и минимально возможным коэффициентом шума Кшmin быть представлена в виде :
(3)
где S и В- диаметры катода и электронного пучка
Вытекающая из (3) очевидная рекомендация по уменьшению диаметра катода связана с увеличением удельного токоотбора н, как следствие, со снижением долговечность прибора и поэтому далеко не всегда применима. На практике при конструировании и изготовлении электронно-оптической системы необходимо предпринять все меры к тому. чтобы снизить разброс скоростей электронов, исключить возможность эмиссии с боковых поверхностей катода и других электродов пушки. Как правило, при настройке прибора в МПФС приходится предпринимать специальную юстировку по уровню шума, Однако все эти меры не позволяют кардинально изменить коэффициент шума и достигнуть нижнего предела допуска [6].
Более широкие возможности по уменьшению собственных шумов ЛБВ заложены в оптимизации АЧХ прибора Каждый участок пространства взаимодействия, работающий в линейной и слабонелинейной областях взаимодействия, конструируется таким образом, чтобы обеспечить минимальный период коэффициента усиления в заданном диапазоне частот. Освоение управлением дисперсией позволяет использовать для этой цели разнообразные комбинации скачков фазовой скорости и дисперсии, реализуемые с помощью изменения шага и диаметра спирали, формы керамических и металлокерамических опор, диаметра и формы экрана.
В более коротковолновых ЛБВ из-за отсутствия к началу их разработки приемлемого конструкторско-технологического решения по управлению дисперсией такие средства не применялись. В результате интегральная мощность шума таких приборов на 1 - 2 и более порядков выше, чем в длинноволновых ЛБВ при тех же значение коэффициента усиления. (таблица1.3)
Таблица 1.3- Параметры ЛБВ
| Тип ЛБВ | УВ- А3001 | УВ- А3002 | УВ- А3003 | УВ- А3004 | УВ- А3009 | УВ- А349А | УВ 3018 |
| F,ГГц | 1...2 | 1...2 | 2..4 | 2...4 | 8...18 | 8…18 | 7,5…18 |
| Рвых.Вт | 400 | 1000 | 400 | 1000 | 50 | 100 | 250 |
| Ку,Дб | 40 | 30 | 40 | 30 | 50 | 40 | 33 |
| Pш, мВт | 10 | 1 | 10 | 1 | 2000 | 1000 | 180 |
Комплексированные устройства
При создании таких устройств могут решаться различные задачи, чаще всего оптимизируются высокочастотные характеристики СВЧ-усилителя и согласование СВЧ-приборов с источниками питания. Работы в этих направлениях ведется с начала семидесятых годов, и сегодня серийно выпускаемые комплексированные изделия используются в различных радиоэлектронных системах гражданского и военного назначениея. Одними из первых комплексированных устройств были упомянутые выше усилительные цепочки в составе: широкополосная ЛБВ с высоким коэффициентом усиления, «ЛБВ-вентиль», совмещенная с фазовым компенсатором, и «прозрачная» для СВЧ-сигнала ЛБВ с малым (6...8, дБ) коэффициентом усиления. Они позволили качественно улучшить характеристики СВЧ-усилителей и в значительной степени иллюстрируют методологию комплексирования, в которой заложены три основополагающих, на наш взгляд, принципа: каждый-элемент комплексированного устройства ответственен за одну или несколько функций всего устройства-параметры каждого элемента согласованы с параметрами других элементов и обеспечивают их нормальное функционирование [A4];
Предполагается оптимальное конструирование устройства в целом с интеграцией элементов конструкции, систем охлаждения, контроля и т.д.
В соответствии с этими принципами были разработаны комплексированные устройства на основе широкополосных спиральных ЛБВ (таблица 1.4).
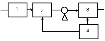
Оптимизации по СВЧ параметрам., как правило, подлежала наиболее распространенная схема усилителя 1, Изображенная на рис.6 и включающая в себя корректор усиления, транзисторный усилитель 2, широкополосную ЛБВ 3 и источник питания (ИП) 4.
Рисунок 6- Комплексированные устройства
Корректор коэффициента усиления - пассивный, аттенюатор, обеспечивающий частотную характеристику затухания, аналогичную (по форме) частотной зависимости общего коэффициента усиления ЛБВ и транзисторного усилителя, представляет собой цепочку резонаторов с регулируемой добротностью и выполняется на основе либо коаксиальной, либо полосковой линии. В результате комплексированное устройство характеризуется постоянством коэффициента усиления во всем рабочем диапазоне частот.
Современные твердотельные усилители (ТТУ) большой мощности имеют коэффициент шума не более 10 дБ, что существенно ниже, чем у аналогичных ЛБВ, поэтому при распределении усиления между ТТУ и ЛБВ необходимо стремиться к снижению коэффициента усиления ЛБВ, т. e к увеличению выходной мощносги ТТУ. Именно 'поэтому корректор усиления целесообразнее устанавливать до ТТУ и ЛБВ, а не между ними [7].
Все источники питания для широкополосных ЛБВ построены по схеме преобразования частоты питающей сети, имеют стабилизированные источники питании замедляющей системы, анода и коллектора- отвечают требованиям- предъявляемым к соответствующей их применению аппаратуре по механическим и климатическим воздействиям снабжены устройствами защиты и контроля.
Таблица 1.4-Параметры ЛБВ
| Частота ГГц | Рвых Вт | Ку, дБ | Состав | Габаритные размеры мм Maccа кг | Сеть |
| 0.8…2 | 200 | 60 | ТТУ-коррекгор- ЛБВ-ИП | ЛБВ – 1040х82х86 10 ИП- 700 х 300 х 350. 45 | 200В 400 Гц |
| 1…2 | 1000 | 54 | ТТУ-коррекгор- ЛБВ-ИП | ЛБВ – 977х82х86 14 ИП- 790 х 320 х 370. 65 | 200В 400 Гц |
| 2...4 | 400 | 40 | Коррекгор- ЛБВ-ИП | ЛБВ – 642х82х86 7 ИП- 700 х 330 х 350. 55 | 200 В 400 Гц |
| 2…4 | 1000 | 50 | ТТУ-коррекгор- ЛБВ-ИП | ЛБВ –862х100х128 12 ИП- 700 х 330 х 350. 65 | 200 В 400 Гц |
| 7...11 | 100 | 35 | ЛБВ-ИП | 545 X 125 х 195 | 200В 400 Гц |
| 4…8 | 100 | 40 | ЛБВ-ИП | 545 X 125 х 195 | 200В 400Гц |
| 12…18 | 100 | 27 | ЛБВ-ИП | ЛБВ – D70х380 3 ИП 460х100х295 13 | 200 В 400 Гц |
| 8...18 | 100 | 27 | ЛБВ-ИП | 330х453х100 15 | 200В 400Гц |
| 27…29 | 20 | 40 | ЛБВ-ИП | ЛБВ –2 кг ВИП- 15 кг | 220В 50 Гц |
ЛБВ миллиметрового диапазона длин волн
При переходе в миллиметровый диапазон конструктивно-технологические проблемы создания ЛБВ pезко возрастают. Основная причина этого -уменьшение поперечных размеров ВЧ пакета ЛБВ и соответственно диаметра ее пролетного канала. что приводит к сложностям формирования и сопровождения электронных пучков, получения эффективного взаимодействия и необходимости решения проблем теплоотвода от спирали. Требование к величинам магнитного поля для осуществления периодической фокусировки электронного пучка малого диаметра заставляет уменьшать его первеанс , что приводит к снижению электронного КПД ЛБВ, чему способствует и быстрый рост собственных распределенных потерь ЗС. Ограничения величины выходной мощности ЛБВ миллиметрового диапазона связаны с проблемами эффективного геплоотвода от элементов ЗС. Тепловые нагрузки при продвижении в коротковолновую область возрастают вследствие увеличения распределенных поттерь и токооседа-ния. а элементы, в которых выделяется и по которым отводится тепло, становятся все миниатюрнее.
Для решения задач создания ЛБВ миллиметрового диапазона был проведен комплекс конструкторско-технологических разработок. Основное внимание было уделено решению тепловой задачи и разработке базовых конструкций ЭОС. позволяющей транспортировать электронный пучок в пролетном канале, диаметр которого составляет 0,6 мм при токе до 100 мА. Благодаря созданной оригинальной конструкции МПФС достигнутое значение токопрохождения составляет 98%.
Снижение собственных распределенных потерь в ЗС рассматривалось как эффективный способ увеличения электронного КПД ЛБВ, с одной стороны, и снижения тепловых нагрузок на спираль, с другой. Известно несколько способов уменьшения потерь, но все они сводятся к использованию материалов или покрытий с высокой электрической проводимостью. Применение медной плющенки для изготовления спиралей предполагает применение пайки ВЧ-пакета, которая является единственно возможным способом закрепления спирали, изготовленной из такого неформоустойчивого материала, как медь. Пайка одновременно обеспечивает почти идеальный теплоотвод от спирали, что снижает ее температуру в рабочем режиме и, следовательно, предотвращает дальнейший рост ВЧ-потерь при разогреве спирали. Однако эксперименты показали, что ВЧ пакеты, изготовленные с применением пайки, имеют большой разброс параметров из-за слабо контролируемой величины галтелей образующихся в процессе пайки. Спирали, изготовленные из молибдена или вольфрама с нанесенным покрытием из меди или золота, также оказались малопригодны для использования из-за непрочности покрытия. В результате проведенных исследований оказалось, что наиболее технологичными оказались спирали, изготовленные из полированной вольфрамовой плющенки. Полировка дает снижение ВЧ-потерь- сравнимое с их снижением при использовании спиралей с покрытием. Для снижения ВЧ-потерь и облегчения тепловой задачи в ВЧ пакете была уменьшена диэлектрическая нагрузка за счет использования опорных спиралей прямоугольной формы. Одновременно с работами, направленными на снижение величины тепловых нагрузок за счет улучшения токопрохождения и снижения потерь в ВЧ пакетах, был проведен комплекс работ по обеспечению надежного закрепления ВЧ пакета в оболочках. В результате в качестве базовых методов закрепления ВЧ пакетов в ЛБВ миллиметрового диапазона используются метод холодного обжатия медной оболочки и метод термообжатия. Оба метода обеспечивают хороший тепловой контакт «стержень-оболочка», не уступающий паяному соединению.
Однако снижение тепловых сопротивлений только внутри ВЧ пакета недостаточно для обеспечения надежной работы ЛБВ миллиметрового диапазона. Необходимо решать и внешнюю тепловую задачу.
















