48269 (588530)
Текст из файла
МИНИСТЕРСТВО ОБРАЗОВАНИЯ РОССИЙСКОЙ ФЕДЕРАЦИИ
ВОТКИНСКИЙ ФИЛИАЛ ИЖ Г Т У
Кафедра Организации вычислительных процессов и систем управления
К защите допустить “____”_________ 2003 г
Зав. кафедрой ___________
дипломный проект
Программно-методический комплекс для обучения процессу создания компиляторов
ТЕМА:
РАСЧЕТНО - ПОЯСНИТЕЛЬНАЯ ЗАПИСКА
Выполнил студент группы Д – 1061 _________ А.И. Кузнецов
Руководитель проекта ст. преподаватель _________
Консультант по профессор, д.т.н. _________
охране труда
Консультант по эко- доцент, к.т.н. _________
номической части
Председатель экс- ст. преподаватель _________
пертной комиссии
Воткинск 2003
Определения
В настоящем дипломном проекте применяются следующие термины с соответствующими определениями.
Ассемблер - программа, которая переводит исходную программу, написанную на автокоде или на языке ассемблера (что, суть, одно и то же), в объектный (исполняемый) код.
БНФ (Бэкуса нормальная форма) – грамматика, состоящая из конечного множества правил, определяющих в совокупности язык программирования.
Выражение – правила получения нового значения с помощью знаков операций и скобок, частным случаем выражения может быть просто одиночный элемент, т.е. константа или переменная.
Идентификатор – имя переменной, процедуры, функции, программы.
Инструкция – синтаксическая структура, содержащая ключевые, шумовые слова и конструкции. Бывают простые и структурированные. Простые инструкции не содержат в себе других вложенных инструкций (присваивание, GOTO). Структурированные инструкции могут содержать вложенные инструкции (IF THEN ELSE ).
Компилятор – системная программа, выполняющая преобразование программы, написанной на одном алгоритмическом языке, в программу на языке, близком к машинному, и в определенном смысле эквивалентную первой.
Лексема – единица программы, получающаяся в результате лексического анализа, например: for, i, 10, integer, + и т. п.
Лексический анализ – выделение в исходной программе элементарных составляющих: идентификаторов, ограничителей, символов операторов, чисел, ключевых слов, шумовых слов, пробелов, комментариев и т. п.
Литера – любой символ, множество литер составляют лексему.
Литерал – численное или строковое значение, заданное один раз, и не изменяемое в течение программы.
Метод операторного предшествования – восходящий метод грамматического разбора, основан на анализе пар последовательно расположенных операторов исходной программы и решении вопроса о том, какой из них должен выполняться первым.
Нетерминальный символ – имя конструкции, определенной внутри грамматики.
Рекурсивный спуск – нисходящий метод грамматического разбора, основан на том, что для каждого нетерминального символа, определенного в грамматике, существует отдельная процедура обработки. При этом в процессе своей работы она может вызывать подобные процедуры
Семантика языка программирования - это смысл, который закладывается в каждую конструкцию языка.
Семантический анализ - это проверка смысловой правильности конструкции. Например, если мы в выражении используем переменную, то она должна быть определена ранее по тексту программы, а из этого определения может быть получен ее тип. Исходя из типа переменной, можно говорит о допустимости операции с данной переменной.
Семантический анализ – в нем обрабатываются структуры, распознанные синтаксическим анализатором, и начинает обретать очертания выполняемый код.
Символьное имя – одно из имен, разрешенных в языке, не являющееся терминальным символом.
Синтаксис языка программирования - это правила составления предложений языка из отдельных слов. Такими предложениями являются операции, операторы, определения функций и переменных. Особенностью синтаксиса является принцип вложенности (рекурсивность) правил построения предложений. Это значит, что элемент синтаксиса языка в своем определении прямо или косвенно в одной из его частей содержит сам себя. Например, в определении оператора цикла телом цикла является оператор, частным случаем которого является все тот же оператор цикла.
Синтаксический анализ (грамматический разбор) – формирует синтаксическую единицу – выражение, инструкцию, вызов подпрограммы, декларацию, которые далее обрабатываются семантическим анализатором. Пример структуры: FOR TO int DO
.Синтаксический разбор – процесс получения дерева синтаксического разбора на основе заданной грамматики.
Сканер (лексический анализатор) – программа распознавания лексем.
Спецификатор – порядковый номер в таблице, куда занесена лексема.
Терминальный символ – конечный неделимый элемент конструкции языка, является зарезервированным словом (например READ, (, +).
Транслятор – это системная программа, выполняющая преобразование программы, написанной на одном алгоритмическом языке, в программу на другом алгоритмическом языке в определенном смысле эквивалентную первой.
Содержание
Введение 19
1 Анализ предметной области 20
1.1 Компиляторы 20
1.2 Логическая структура компилятора 21
1.3 Лексический анализ. Сканер 24
1.4 Синтаксический и семантический анализ 28
1.5 Грамматики 31
1.6 Формирование промежуточного кода 34
Метод четверок 36
1.7 Обоснование создания учебного комплекса 37
1.8 Обзор существующих разработок 38
1.9 Обоснование разработки 39
2 Создание учебной разработки 42
2.1 Краткое описание учебного компилятора 42
2.2 Описание учебного языка 43
2.3 Лексический анализатор LEXAN 46
2.3.1 Таблица терминальных символов 47
2.3.2 Таблица символических имен 48
2.3.3 Таблица литералов 49
2.3.4 Работа сканера 50
2.3.5 Структура листинга 50
2.3.6 Структура выходного файла 50
2.3.7 Примерное задание для студента 52
2.3.8 Описание работы лексического анализатора 53
2.4 Синтаксический анализатор SinAn 56
2.4.1 Таблица переходов 56
2.4.2 Правила работы с таблицей переходов 60
2.4.3 Правила таблицы переходов для написания программы 62
2.4.4 Формируемая таблица переходов. Правила заполнения 65
2.4.5 Правила заполнения формируемой таблицы переходов 66
2.4.6 Построение деревьев 81
2.4.7 Семантический анализ 83
2.5 Формирование промежуточного кода 85
Циклы 85
3 Определение трудоемкости по стадиям разработки 89
3.1 Методика расчета 89
3.2 Определение затрат на выполнение проекта по стадиям разработки 92
3.3 Расчет затрат на выполнение проекта по этапам 94
4 Рекомендации по охране труда при работе с учебным комплексом 95
Заключение 97
Список использованных источников 98
Приложения 99
Введение
Каждый преподаватель вправе преподносить материал и обучать студентов по любой из дисциплин так, как он считает нужным.
Преподаватель желает, чтобы знания по преподаваемым наукам лучше усваивались студентами. Часто материал не усваивается из-за того, что нет его наглядного представления, нет материалов, будь то программных или выполненных в виде плакатов, стендов, способствующих более глубокому пониманию.
Для того чтобы создать демонстрационный вспомогательный материал следует наработать необходимую базу. Что занимает много времени и требует определенных усилий и больших временных затрат. В результате могут быть получены плакаты, методические пособия, программные средства (тестовые, обучающие) и др. Некоторые из них можно применять и в отсутствии преподавателя для самообучения, для контроля знаний и т. п.
Для проверки знаний часто используют тестовые системы, в которых проверка знаний происходит в интерактивном режиме. Некоторые из них лишь выдают какой-то общий результат, другие определяют, где и на каком этапе возникла ошибка, и сообщают об этом пользователям (используется в компиляторах).
1 Анализ предметной области
1.1 Компиляторы
Транслятор - это программа, которая переводит исходную программу в эквивалентную ей объектную программу. Если объектный язык представляет собой автокод или некоторый машинный язык, то транслятор называется компилятором.
Автокод очень близок к машинному языку; большинство команд автокода - точное символическое представление команд машины.
Ассемблер - это программа, которая переводит исходную программу, написанную на автокоде или на языке ассемблера (что, суть, одно и то же), в объектный (исполняемый) код.
Компиляторы пишутся как на автокоде, так и на языках высокого уровня. Кроме того, существуют и специальные языки конструирования компиляторов - компиляторы компиляторов.
Компилятор компиляторов (КК) – система, позволяющая генерировать компиляторы; на входе системы - множество грамматик, а на выходе, в идеальном случае, - программа. Иногда под КК понимают язык программирования, в котором исходная программа - это описание компилятора некоторого языка, а объектная программа - сам компилятор для этого языка. Исходная программа КК - это просто формализм, служащий для описания компиляторов, содержащий, явно или неявно, описание лексического и синтаксического анализаторов, генератора кодов и других частей создаваемого компилятора. Обычно в КК используется реализация схемы т.н. синтаксически управляемого перевода. Кроме того, некоторые из них представляют собой специальные языки высокого уровня, на которых удобно описывать алгоритмы, используемые при создании компиляторов.
1.2 Логическая структура компилятора
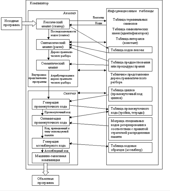
На рисунке 1 представлена структурная схема компилятора.
Рисунок 1 – Схема компилятора
Исходная программа – текст программы на языке высокого уровня (например Паскаль), который должен быть переведен в машинный код.
Информационные таблицы - самостоятельные структуры, заранее заполненные (таблица терминальных символов), а также заполняющиеся в ходе лексического анализа и дополняющиеся во время работы.
Лексический анализатор выполняет распознавание лексем языка и замену их соответствующими кодами. Под лексемами понимаются элементарные единицы, входящие в структуру предложения языка, такие как ключевые слова, константы, имена и т.п. Правильность задания структуры предложения языка на фазе лексического анализа не выполняется. Результатом является поток лексем (кодов – ссылок на таблицы), эквивалентный исходному тексту.
Синтаксический анализатор необходим для того, чтобы выяснить, удовлетворяют ли предложения, из которых состоит исходная программа, правилам грамматики этого языка.
Семантический анализ. На этом этапе осуществляется контроль типа и вида всех идентификаторов и других операндов.
Генерация промежуточного кода. Происходит преобразование исходной программы в промежуточную (например, польскую) форму записи.
Оптимизация промежуточного кода – выделение общих подвыражений и вычисление константных подвыражений.
Фаза оптимизации предназначена для уменьшения избыточности программы по затратам времени и памяти. В зависимости от критериев проектирования транслятора данная фаза обработки программы может исключаться из цикла обработки программы.
Распределение памяти. На этом этапе выделяются конкретные адреса пользователя под переменные, которые генерируются компилятором.
Генератор объектного (ассемблерного) кода – выполняет подстановку кодовых образцов на выходном языке, соответствующих промежуточным кодам программы. Генератору кода могут не требоваться шаблоны, он весь может быть реализован в процедурном виде.
Машинно-зависимая компиляция. Зависит от того, какие используются регистры. Работа этой процедуры зависит от соглашений, принятых для исполняемой части программы. Например, выделяется базовый регистр для текущей активной записи в стеке.
На всех этих этапах происходит работа с различного рода таблицами. В частности, для каждого блока (если таковые существуют в языке) идентификаторы, описанные внутри, запоминаются вместе со своими атрибутами. Условно все эти этапы можно изобразить следующим образом:
Рисунок 2 – Работа с таблицами
Очевидна зависимость структуры компилятора от структуры ЭВМ, точнее, от имеющейся производительности системы. Например, при малой памяти увеличивается количество проходов компиляции (т.н. многопроходные компиляторы), а при наличии памяти большого объема можно все этапы компиляции произвести за один проход (и тогда мы имеем дело с однопроходным компилятором).
Далее мы рассмотрим некоторые из этих составных частей процесса компиляции.
1.3 Лексический анализ. Сканер
Лексический анализатор представляет собой модуль разбора текста программы. Разбор происходит в зависимости от имеющихся у него в памяти терминальных символов и правилами определения типов данных. Каждый язык имеет свои ограничения по типам данных, допущения и особенности создания (строения) конструкций, применению операторов и т.п. При работе сканера используются три таблицы: таблица терминальных символов, таблица символических имен и таблица литералов – это заполняемые таблицы. Таблица терминальных символов хранит все ключевые слова и специальные символы используемые в языке, а также коды, соответствующие каждому символу. Таблица символических имен заполняется в процессе разбора текста программы и хранит в себе имена идентификаторов (символических имен). Таблица литералов также заполняется в процессе разбора программы и хранит в себе литералы: численные и строковые значения, с указанием типов данных и относительных адресов.
Распределение по таблицам происходит следующим образом.
Характеристики
Тип файла документ
Документы такого типа открываются такими программами, как Microsoft Office Word на компьютерах Windows, Apple Pages на компьютерах Mac, Open Office - бесплатная альтернатива на различных платформах, в том числе Linux. Наиболее простым и современным решением будут Google документы, так как открываются онлайн без скачивания прямо в браузере на любой платформе. Существуют российские качественные аналоги, например от Яндекса.
Будьте внимательны на мобильных устройствах, так как там используются упрощённый функционал даже в официальном приложении от Microsoft, поэтому для просмотра скачивайте PDF-версию. А если нужно редактировать файл, то используйте оригинальный файл.
Файлы такого типа обычно разбиты на страницы, а текст может быть форматированным (жирный, курсив, выбор шрифта, таблицы и т.п.), а также в него можно добавлять изображения. Формат идеально подходит для рефератов, докладов и РПЗ курсовых проектов, которые необходимо распечатать. Кстати перед печатью также сохраняйте файл в PDF, так как принтер может начудить со шрифтами.
















