25067 (586553), страница 8
Текст из файла (страница 8)
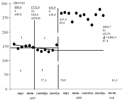
Рис. 13. Определение технологической эффективности ГС №8 «прямым» счетом
Поскольку КаЮл больше 0,7, считаем тренд (тенденцию изменения месячной добычи нефти) установленным и достаточно надежным.
Далее определяем количественные показатели тренда. Для этого по эксплуатационным карточкам определяем добычу нефти за первые 6 месяцев (899,0 т) и вторые 6 месяцев (833,9 т) предыстории. Отсюда вычисляем среднемесячную добычу за первую половину (149,8 т) и вторую половину предыстории (139,0 т). Через последние две точки и центр квадратной диаграммы проводим наклонную прямую до пересечения границы предыстории и истории (01.2008 – дата ввода скважин в эксплуатацию). В этой точке пересечения определяем базовую среднемесячную добычу нефти (135,4 т) и из нее проводим горизонтальную прямую (параллельную оси времени) на весь период истории (последствия). Таким образом, считаем, что падение добычи нефти происходит только в период предыстории, а в период после воздействия базовая добыча
нефти является постоянной, не падающей, что, естественно, занижает технологический эффект.
По количеству и положению точек после начала воздействия относительно горизонтальной базовой прямой наглядно выявляется качественный эффект (все 12 из 12 точек расположены выше базовой горизонтали) и его динамика. Для количественной оценки эффективности бурения горизонтальных скважин по эксплуатационным карточкам определяем суммарную добычу нефти после ввода скважин в эксплуатацию на дату анализа (с 1.01.2008 по 1.01.2009 гг.). Она оказалась равной 3090,7 т. Отсюда среднемесячная добыча нефти после воздействия оказалась равной 257,6 т, или на 90% больше базовой (135,4 т).
Вычитая из среднемесячной добычи нефти после воздействия (257,6 т) базовую среднемесячную добычу нефти (135,4 т) и умножая полученную разность на число месяцев, получаем величину дополнительно добытой нефти (1446,3 т), ее долю по отношению ко всей добыче нефти после воздействия (47,4%).
Зная среднемесячную добычу воды в период предыстории и истории (цифры в скобках на рис. 13), можно определить фактическую среднемесячную обводненность в эти два периода времени (57,3 и 11,3%), а также, используя расчетную базовую добычу нефти (1624,4 т) и среднемесячную добычу воды в период предыстории (194,0 т) и истории (32,9 т), сопоставить с расчетной базовой средней обводненностью, равной 58,9 и 19,6%.
Скважина №9
Показатели работы скважины №9 приведены в табл. 18
В координатах «месячная добыча нефти – календарное время» за нулевой отсчет времени принимаем месяц (08.2006) на год раньше месяца введения горизонтальных скважин из бурения (08.2007), т.е. в качестве ближней предыстории берем 12 месяцев. На график (рис. 14) наносим точки месячной добычи из указанной скважины по месяцам до и после ввода скважины в эксплуатацию.
Проводим вертикальную прямую точку (08.2007), которая делит время на две части (до и после ввода скважины в эксплуатацию).
Таблица 18. Показатели работы скважины №9
| Предыстория | История | ||||||
| Дата | Добыча за месяц, т | Дата | Добыча за месяц, т | ||||
| нефть | вода | нефть | вода | ||||
| 08.2006 | 117,8 | 200,6 | 08.2007 | 275,9 | 0,0 | ||
| 09.2006 | 111,6 | 207,3 | 09.2007 | 291,4 | 5,9 | ||
| 10.2006 | 114,7 | 187,1 | 10.2007 | 288,3 | 8,9 | ||
| 11.2006 | 111,6 | 190,0 | 11.2007 | 269,7 | 17,2 | ||
| 12.2006 | 114,7 | 179,4 | 12.2007 | 269,7 | 23,5 | ||
| 01.2007 | 105,4 | 214,0 | 01.2008 | 266,6 | 26,4 | ||
| 02.2007 | 102,3 | 198,6 | 02.2008 | 263,5 | 32,6 | ||
| 03.2007 | 96,1 | 213,9 | 03.2008 | 285,2 | 42,6 | ||
| 04.2007 | 96,1 | 204,2 | 04.2008 | 288,3 | 54,9 | ||
| 05.2007 | 105,4 | 187,4 | 05.2008 | 325,5 | 66,7 | ||
| 06.2007 | 108,5 | 201,5 | 06.2008 | 337,9 | 79,3 | ||
| 07.2007 | 102,3 | 174,2 | 07.2008 | 334,8 | 89,0 | ||
| 08.2008 | 344,1 | 97,1 | |||||
| 09.2008 | 350,3 | 110,6 | |||||
| 10.2008 | 353,4 | 117,8 | |||||
| 11.2008 | 356,5 | 112,6 | |||||
| 12.2008 | 347,2 | 92,3 | |||||
Далее по эксплуатационным карточкам добывающей скважины определяем добычу нефти за 12 месяцев предыстории (1286,5 т) и среднемесячную
добычу в этот период (107,2 т). Последнюю величину откладываем на графике в виде горизонтальной прямой до пересечения с месяцем ввода скважин в эксплуатацию (08.2007). Затем период предыстории делим на две равные части вертикальным отрезком прямой. Таким образом, период предыстории превратился в квадратную диаграмму, на которой в первом квадрате оказалось 5 точек, во втором квадрате –1 точка, в третьем квадрате- 1 точка и в четвертом- 5 точек. Отсюда коэффициент ассоциации Юла равен:
Поскольку КаЮл больше 0,7, считаем тренд (тенденцию изменения месячной добычи нефти) установленным и достаточно надежным.
Рис. 14. Определение технологической эффективности ГС №9 «прямым» счетом
Далее определяем количественные показатели тренда. Для этого по эксплуатационным карточкам определяем добычу нефти за первые 6 месяцев (675,8 т) и вторые 6 месяцев (610,7 т) предыстории. Отсюда вычисляем среднемесячную добычу за первую половину (112,6 т) и вторую половину предыстории (101,8 т). Через последние две точки и центр квадратной диаграммы проводим наклонную прямую до пересечения границы предыстории и истории (01.2008 – дата ввода скважин в эксплуатацию). В этой точке пересечения определяем базовую среднемесячную добычу нефти (98,2 т) и из нее проводим горизонтальную прямую (параллельную оси времени) на весь период истории (последствия). Таким образом, считаем, что падение добычи нефти происходит только в период предыстории, а в период после воздействия базовая добыча нефти является постоянной, не падающей, что, естественно, занижает технологический эффект.
По количеству и положению точек после начала воздействия относительно горизонтальной базовой прямой наглядно выявляется качественный эффект (все 17 из 17 точек расположены выше базовой горизонтали) и его динамика. Для количественной оценки эффективности бурения горизонтальных скважин по эксплуатационным карточкам определяем суммарную добычу нефти после ввода скважин в эксплуатацию на дату анализа (с 1.08.2007 по 1.01.2009 гг.). Она оказалась равной 5248,3 т. Отсюда среднемесячная добыча нефти после воздействия оказалась равной 308,7 т, или на 214% больше базовой (98,2 т).
Вычитая из среднемесячной добычи нефти после воздействия (308,7 т) базовую среднемесячную добычу нефти (98,2 т) и умножая полученную разность на число месяцев, получаем величину дополнительно добытой нефти (3579,5 т), ее долю по отношению ко всей добыче нефти после воздействия (68,2%).
Зная среднемесячную добычу воды в период предыстории и истории (цифры в скобках на рис. 14), можно определить фактическую среднемесячную обводненность в эти два периода времени (64,7 и 14,2%), а также, используя расчетную базовую добычу нефти (1668,8 т) и среднемесячную добычу воды в период предыстории (165,8 т) и истории (51,0 т), сопоставить с расчетной базовой средней обводненностью, равной 66,7 и 34,2%.
Скважина №10
Показатели работы скважины №10 приведены в табл. 19.
Таблица 19. Показатели работы скважины №10
| Предыстория | История | ||||
| Дата | Добыча за месяц, т | Дата | Добыча за месяц, т | ||
| нефть | вода | нефть | вода | ||
| 11.2006 | 80,6 | 126,1 | 01.2008 | 322,4 | 24,3 |
| 12.2006 | 83,7 | 162,5 | 02.2008 | 362,7 | 19,1 |
| 01.2007 | 89,9 | 220,1 | 03.2008 | 390,6 | 24,9 |
| 02.2007 | 80,6 | 207,3 | 04.2008 | 375,1 | 32,6 |
| 03.2007 | 74,4 | 201,2 | 05.2008 | 356,5 | 26,8 |
| 04.2007 | 83,7 | 186,3 | 06.2008 | 387,5 | 38,3 |
| 05.2007 | 83,7 | 296,8 | 07.2008 | 362,7 | 31,5 |
| 06.2007 | 77,5 | 150,4 | 08.2008 | 341 | 37,9 |
| 07.2007 | 74,4 | 173,6 | 09.2008 | 344,1 | 42,5 |
| 08.2007 | 68,2 | 204,6 | 10.2008 | 337,9 | 33,4 |
| 09.2007 | 68,2 | 241,8 | 11.2008 | 316,2 | 43,1 |
| 10.2007 | 71,3 | 202,9 | 12.2008 | 313,1 | 42,7 |
| 11.2007 | 77,5 | 180,8 | |||
| 12.2007 | 80,6 | 163,6 | |||
В координатах «месячная добыча нефти – календарное время» за нулевой отсчет времени принимаем месяц (11.2006) на 14 месяцев раньше месяца введения горизонтальных скважин из бурения (01.2008), т.е. в качестве ближней предыстории берем 14 месяцев. На график (рис. 15) наносим точки месячной добычи из указанной скважины по месяцам до и после ввода скважины в эксплуатацию.















