14093 (585355), страница 11
Текст из файла (страница 11)
Сприятливі кліматичні умови 2004 р. забезпечили кращі результати зернового господарства, не зважаючи на скорочення посівних площ, у порівнянні з 2002 р. на 3%, а в натуральному вираженні - приріст валового збору зерна становив 16,33 тис. т. Зокрема методом скоректованого показника ми визначили, що за рахунок підвищення урожайності у 2004 р. при збереженні розміру посівної площі 2002 р. можна було б одержати додатково 16,77 тис. т зерна, (табл. 2.10).
Таблиця 2.10
Вплив зміни посівних площ і врожайності на валовий збір продукції у Білогірського району
| Назва культури | Відхилення валового збору зернових 2004 р (+,-), тис. т у порівнянні з 2002 р. | ||
| Всього | в тому числі за рахунок | ||
| площі | урожайності | ||
| Усі зернові | 16,34 | -0,43 | 16,77 |
| пшениця озима та яра | 14,36 | 7,16 | 7,19 |
| кукурудза на зерно | 3,72 | 2,93 | 0,79 |
| ячмінь озимий і ярий | -2,61 | 3,14 | -5,76 |
Врожайність зернових зменшувалася з року в рік і останні роки можна назвати роками невикористаних резервів. Головні причини цього - у слабкому матеріально-технічному та незадовільному агрохімічному забезпеченні процесу вирощування зернових культур, не достатньому впровадженні у виробництво досягнень науки, передового досвіду.
Так, за допомогою вирівнювання ряду динаміки врожайності зернових культур у Білогірському районі методом найменших квадратів і побудови лінійної функції чітко простежується тенденція спаду врожайності. Пояснюється це недотриманням вимог інтенсивної технології вирощування зернових через хронічну нестачу фінансових та оборотних засобів, матеріальних ресурсів, що призвело до порушень виробничого процесу, широкого застосування екстенсивних факторів ведення зернового господарства.
Лінійна функція описується рівнянням [60, 112]:
де Yt - вирівняне значення урожайності для конкретного року; a, b -параметри рівняння; t - показник часу, в даному випадку роки.
На основі даних показників додатка А рівняння лінійної прямої урожайності зернових у Білогірському районі має такий формалізований вигляд:
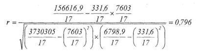
Методом кореляції було встановлено, що лінійний коефіцієнт кореляції між показниками врожайності та забезпеченості підприємств Білогірському районі сільськогосподарською технікою доволі високий - 0,796, що вказує на тісний зв'язок між даними показниками, тобто за рахунок поліпшення МТБ аграрного виробництва можна корелювати врожайність зернових у бік її підвищення (Додаток Б).
Внесення добрив у комплексі з іншими елементами системи землеробства - один з основних шляхів зростання виробництва зерна. Застосування в умовах області мінеральних та органічних добрив під зерновими культурами є високоефективним заходом, оскільки вони забезпечують приріст урожаю. Цьому сприяє помірний клімат області, достатня вологозабезпеченість, котрі створюють сприятливі умови для ефективної дії добрив та одержання високих врожаїв зернових. За результатами наукових досліджень [10, 18], встановлено, Що за рахунок внесення добрив озима пшениця може забезпечити 41% приросту врожаю, кукурудза - 53, ячмінь - 49%, за рахунок сорту - відповідно 27; 34 та 34%. Однак у Білогірському районі за останні роки різко скоротилося внесення добрив під урожай сільськогосподарських культур. Так, у 2004 р. мінеральними добривами було удобрено 41,8% площі проти 96% у 1995 p., і лише на 2,8 % посівної площі внесено органічні добрива проти 21,1% в 1990 р. Скоротилося також внесення мінеральних добрив на 1 га удобреної площі, за аналізований період у цей показник зменшився у 3 рази.
Все це негативно вплинуло на врожайність зернових, що з року в рік зменшувалася (табл. 2.11).
Таблиця 2.11
Динаміка врожайності зернових і зернобобових культур у сільськогосподарських підприємствах Білогірського району
| Роки | Врожайність зернових | ||
| ц/га | у порівнянні до1985 р. | ||
| +,- | в% | ||
| 1985 | 31,0 | X | 100,0 |
| 1995 | 26,7 | -4,3 | 86,1 |
| 1999 | 23,2 | -7,8 | 74,8 |
| 2000 | 21,5 | -9,5 | 69,4 |
| 2001 | 22,1 | -8,9 | 71,3 |
| 2002 | 22,9 | -8,1 | 73,9 |
| 2003 | 20,1 | -10,9 | 64,8 |
| 2004 | 30,5 | -0,5 | 98,3 |
У 1985 р. врожайність зернових досягла рекордно високого показника –31,0ц/га, але з наступного року вона почала знижуватися. Найнижчими показники урожайності були у складні за погодними умовами 2000,2003 pp., коли затяжні бездощові періоди під час вегетації, сильні засухи знижували ефективність технологічних заходів щодо догляду за посівами, в зв'язку з чим знизилася загальна урожайність зернових культур. Скажімо, у 2000 р. врожайність зернових і зернобобових у сільськогосподарських підприємствах Білогірського району була на 9,5 ц/га нижчою, ніж у 1985 p., а - у 2003 р. становила лише 20,1ц/га,що на 35,2%менше порівняно з 1985роком. Таким чином, на основі аналізу даних урожайності та посівних площ зернових культур з 1996 по 2004 pp., робимо висновок, що під впливом зниження урожайності за останні роки було недобрано не менше 50,7 тис. тонн зерна.
Підвищення урожайності зернових культур - одна з найактуальніших проблем сільського господарства на даному етапі, для успішного вирішення якої необхідно задіяти невикористані резерви зростання, зокрема такі як запровадження у практику розробок і досягнень НТП, застосовування передових агротехнологій вирощування зернових культури у поєднанні з науково обґрунтованим внесенням мінеральних та органічних добрив, засобів захисту рослин, використанням якісного насіннєвого матеріалу.
Серед новацій, за повідомленням джерела цікавою є технологія, розроблена вченими і спеціалістами Південного філіалу відділення промислової радіоелектроніки Міжнародної академії інформатизації (м. Одеса) Селекційно-генетичного інституту УААН, Одеської державної академії харчових технологій, Одеської державної сільськогосподарської дослідної станції та інших закладів, що передбачає передпосівний обробіток насіння мікрохвильовим полем за допомогою мікрохвильових установок. За даними, опублікованими в цьому джерелі, схожість насіння підвищується від 2-3% до25%, а врожайність - від 5 - 20% до 60% і більше.
Ще одним резервом підвищення ефективності функціонування зернопродуктового підкомплексу є скорочення втрат на кожному етапі виробництва. Перш за все це стосується галузі вирощування зернових. За даними, котрі наводить Лобас М. Г., різниця між застосуванням старої техніки і нової сучасної щорічно Україні обходиться у 1,5 млрд. дол., тобто на посівній площі 15-16 млн. га залишається 10-12 млн. т зерна (9-12 ц/га).
Безупинне і зростаюче виробництва зерна має вирішальне значення для підйому всіх агропромислових галузей, є необхідною умовою повнішого задоволення зростаючих потреб населення у продуктах харчування.
Україна має хороші передумови для вирощування зернових культур, тому зерно традиційно було і залишається її основним продовольчим ресурсом. Придатні для ведення зернового господарства природно-ґрунтові умови, пристосовані до нашого клімату сорти та технології вирощування зернових, сприятлива кон'юнктура на внутрішньому ринку, а також потенційні можливості збільшення експорту зерна, дають змогу нарощувати обсяги його виробництва.
Для стабілізації і поступового збільшення обсягів виробництва зерна, відновлення і розвитку конкурентоспроможного зернового виробництва з урахуванням регіональних особливостей для забезпечення населення зерном і хлібопродуктами державою розроблено низку заходів щодо впорядкуванню і оптимізації зернового ринку. Зокрема прийнято постанову Кабінету Міністрів України "Про утворення Державної акціонерної компанії "Хліб України" від 22 серпня 1996 p., № 1000, Програма "Зерно України", затверджена наказом Мінагропрому, УААН, ДАК "Хліб України" від 20 квітня 1998 p., № 121/49/39, Указ Президента України від 29 червня 2000 р. № 832/2000 "Про невідкладні заходи щодо стимулювання виробництва та розвитку ринку зерна". Схвалена 27 листопада 2000 р. Кабінетом Міністрів України Програма "Зерно України -2001 - 2004", метою якої було - забезпечення поступового нарощування валового виробництва зерна від 35 млн. тонн у 2000 р., до 40 млн. тонн у 2004 p., що повністю забезпечить потреби держави у зерноресурсах, формуванні фондів споживання і насіннєвого, створення надійної кормової бази за рахунок її поповнення у достатній кількості концентрованими кормами, а також виділення для експортних поставок щорічно до 5,5 - 6,5 млн. тонн.
Найголовнішим завдання сільського господарства є забезпечення стабілізованого зростання обсягів виробництва зерна. Відповідно до державної програми "Зерно України " для повного забезпечення потреб у зерні передбачено стабілізувати площі посіву зернових по Україні в межах 15,0 млн. га, а також шляхом оптимізації організації виробництва, усунення недоліків в агротехніці і порушень вимог технологій, забезпечити середню урожайність зернових на рівні 30-32 ц/га. Цією програмою визначено шляхи розвитку зернового господарства окремих регіонів, які передбачають максимальне врахування природних умов для виробництва зерна. Зокрема площі посіву озимої пшениці у Білогірському районі повинні становити 10,9тис. га. Це сприятиме вирішенню проблеми продовольчої безпеки України.
Викладене переконливо свідчить про необхідність здійснення радикальних заходів щодо прискорення розвитку та інтенсифікації зернового виробництва, поліпшення якості зерна, що сприятиме виведенню його на конкурентоспроможний світовий рівень а, кошти від однієї з найефективніших галузей сільськогосподарського виробництва - зернової - в першу чергу використовуються для забезпечення відтворювального процесу в інших галузях виробничої діяльності: збирання цукрових буряків, кукурудзи, кормових культур, сівби озимих, підняття зябу тощо.
Товарність виробленої продукції - один з показників, що характеризує рівень розвитку галузі, підвищення якого є важливим фактором кращого продовольчого забезпечення населення продовольством, а переробну галузь -сировиною.
















