4947 (585173), страница 10
Текст из файла (страница 10)
Пi = Ci + Ji = 6 168 785 + 23 325 000 = 29 493785руб.
Согласно приведённого расчёта суммарных затрат по варианту № 3 для тушения пожара необходимо 12 отделений :
• 7АЦ-40(130)63А; АЦ-40(130)63Б
• 5АВ-40(375)Ц000050.
Их стоимостной показатель, согласно таблице на стр. 51-52 [8] равен 8 200 * 3000 руб.; 9000 * 3000 руб.; 15 480 * 3000 руб. Использование большего количества прибывающей пожарной техники, а также других типов техники привлекаемых согласно 3 номера вызова, объявленного на нефтепромысле «Дружный», приводит к увеличению суммарных затрат по тушению данного пожара, снижению эффективности и качеству тушения пожара.
15. Проблемы экологии
В настоящее время защита окружающей среды является одной из главных проблем у нас в стране и во всём мире. В химической и нефтехимической промышленности проблемы экологии является актуальной с самого начала возникновения этих отраслей.
В целях защиты окружающей среды на нефтебазах должны проводиться мероприятия по сокращению выбросов загрязняющих веществ в водоёмы, воздух и почву. Для обеспечения требований к составу и свойствам воды, водных объектов хозяйственно-питьевого, культурно-бытового водопользования должны быть разработаны нормы предельно-допустимых сбросов (ПДС) загрязняющих веществ.
Под предельно-допустимым сбросом вещества в водный объект, понимается масса вещества в сточных водах, максимально допустимая к отведению с установленным режимом в данном пункте водного объекта в единицу времени.
С целью предотвращения загрязнения водоёмов сточными водами на нефтебазах необходимо осуществлять внедрение оборотного водоснабжения и повторного использования очищенных сточных вод. Для обеспечения строгого контроля за расходованием воды на нефтебазах следует устанавливать водомерные устройства и приборы независимо от количества потребляемой и сбрасываемой воды.
Основным компонентом воздушной среды выбросами нефтебаз являются углероды, окись углерода, окиси серы, азота, взвешенные вещества. Поэтому в процессе эксплуатации нефтебаз особое внимание необходимо обращать на техническое состояние оборудования, которое может явиться источником загрязнения атмосферы.
В соответствии с требованиями действующего закона должны быть установлены нормы предельно допустимых или временно согласованных выбросов (ПДВ или ВСВ), загрязняющих веществ в атмосферу. После установления норм ПДВ на нефтебазах должна быть организована система контроля за их соблюдением, элементом которой является лабораторный контроль фактического загрязнения атмосферы углеводами, окисью углерода и другими веществами, содержащимися в выбросах.
Но помимо загрязнения окружающей среды нефтепродуктами при нормальном протекании технологического процесса объекта, ещё больший урон будет нанесён при возникновении на нём аварийной ситуации или пожара.
В связи с этим приведём эколого-экономическую оценку ущерба от загрязнения окружающей среды при возникновении пожара на нефтепромысле в резервуаре № 4, если происходит растекание горючей жидкости из-за повреждения резервуара и её горение в обваловании (т.е. рассмотрим наиболее сложный случай).
Формула расчёта экономического ущерба от загрязнения окружающей природной среды при пожарах и авариях имеет вид:
У = Уа+Ув+Уп, где
Уа - экономический ущерб от загрязнения атмосферного воздуха, руб.;
Ув - экономический ущерб от загрязнения водных объектов, руб.;
Уп - экономический ущерб от загрязнения почвы, руб.
Необходимые данные для расчёта экономического ущерба от загрязнения окружающей среды от пожара приведены в таблице 5.2.1. Состав продуктов горения бензина
Таблица 5.2.1
| Загрязнитель | Атмосферный воздух, ПДСCC, мг/м3 | Водный объект, ПДКРХ , мг/л | Класс опасности |
| Оксид углерода | (10-30) | 2*10-5 | IV |
| Оксид азота | (50-200) | 2*10"5 | II |
| Сажа | (1-5) | 2*10'5 | III |
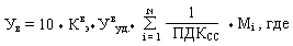
Экономический ущерб от загрязнения атмосферного воздуха определяем по формуле:
10-коэффициент, учитывающий аварийный характер выброса;
Каэ - коэффициент, учитывающий экономическую значимость и экологическое состояние атмосферного воздуха региона, где случилась авария или пожар;
Уауд - удельный экономический ущерб от загрязнения атмосферного воздуха с учётом коэффициента индексации цен (руб./усл. т);
ПДКСС - предельно-допустимая концентрация среднесуточная для воздуха (мг/м );
Мi - масса i-го загрязнителя попавшего в окружающую среду (т).
УNOа= 10*2*280,5*1/50*400 = 4488000 руб.
УСОа= 10*2*280,5*1/30*200=3740000 руб.
Усажаа= 10*2*280,5*1/5*300 = 33660000 руб.
Уа = УNOа +УСОa +Уcaжaa = 11594000 руб.
Экономический ущерб от загрязнения водных объектов определяем по формуле:
К вэ-коэффициент, учитывающий экономическую значимость экологическое состояние
водных объектов региона, где случилась авария или пожар;
У вуд - удельный экономический ущерб от загрязнения водных объектов с учётом коэффициента индексации цен (руб./усл. т);
ПДКСС - предельно-допустимая концентрация веществ в воде
рыбохозяйственныхводоёмов (мг/л);
УNOВ = 10*l,06*37697,5*l/2*10-5*400 = 7991870000000 руб.
УСOВ = 10*1,06*37697,5* 1/2*10-5*200 = 3995935000000 руб.
УсажаВ=10*l^6*37697,5*l/2*10-5*300=5993903000000руб.
УОВВ = 10*l,06*37б97,5*l/2*10-5*0,06*2583 = 3096450031500 руб.
Ув = УNOВ + УСOВ + УОВВ + УсажаВ = 48946208315000 руб.
Экономический ущерб от загрязнения почвы определяем по формуле:
Кnэ – коэффициент, учитывающий экологическую значимость экологическое состояние почвы региона, где случилась авария или пожар;
Уnуд - удельный экономический ущерб от загрязнения почвы с учётом
коэффициента индексации цен (руб./усл. т);
YОВ - концентрация огнетушащего вещества в воде, которая была использована на тушение (пенообразователь) г/м3;
VHO - объём израсходованной на тушение воды (сточные воды после пожара), м3
УNOП = 10*1,7*102000*400 = 693600000 руб.
УCOП = 10*1,7*34000*200 = 115600000 руб.
УсажаП = 10*1,7*68000*300 = 346800000 руб.
УОВП = 10*1,7*34000*0,06*2583 = 89578440 руб.
Уп = УNOП + УCOП + УОВП + УсажаП = 1245578440 руб.
Подставим полученные данные в исходную формулу:
У=11594000+48946208315000+1245578440==4895982349940 руб.
Таким образом, примерный ущерб от загрязнения окружающей среды при пожаре на нефтепромысле «Дружный» составил 4,8 трл. рублей.
Места отбора проб воздуха, периодичность и частота отбора, необходимое число проб, методы анализа должны выбираться по согласованию с органами санитарно-эпидемиологических и гидрометеорологических служб.
В целях снижения загрязнения атмосферы выбросами вредных веществ необходимо осуществлять мероприятия по сокращению потерь нефтепродуктов:
- оснащение резервуаров пантонами;
герметизация резервуаров, дыхательной арматуры, своевременный профилактический ремонт трубопроводов и запорной арматуры;
окраска наружной поверхности резервуаров покрытия с низким коэффициентом излучения;
- одновременная покраска внутренней и внешней поверхности резервуаров;
- перекачка на магистральных трубопроводов "из насоса в насос" ;
- налив нефтепродукта в железнодорожные цистерны под уровнем;
- нижний налив автоцистерны и автоматизация процесса.
Источником загрязнения почвы нефтепродуктами могут быть не плотности запорной арматуры, фланцевых, муфтовых соединений, сварных стыков, утечки в следствии коррозионных повреждений резервуаров и трубопроводов.
Для сокращения потерь нефтепродуктов и предотвращения загрязнения почвы при розливах, отборе проб, ремонтах необходимо устраивать закрытые дренажи заглубленные резервуары с автоматической откачкой нефтепродуктов.
Должен осуществляться постоянный надзор за герметичностью технологического оборудования, сальниковых устройств, фланцевых и резьбовых соединений, съёмных деталей, люков и т.д.
Во избежание потерь нефтепродукта при переливах следует применять пневматические и другие предохранительные устройства, автоматически прекращающие подачу нефтепродукта по достижении заданного уровня или разгерметизации коммуникаций.
Вывод
При проведении расчётов на тушение выбранного промышленного объекта, были рассмотрены особенности технологического процесса нефтяного промысла, приведена характеристика и противопожарное водоснабжение объекта.
Проанализированы оперативно-тактические возможности Пермского гарнизона пожарной охраны, изложена статистика пожаров на нефтебазах.
Проведено прогнозирование масштабов возможной оперативной обстановки, произведены расчёты требуемого количества сил и средств для тушения пожаров: в наиболее крупном резервуаре; в резервуарах, расположенных в группе резервуаров; в резервуаре, расположенном в отдельном обваловании при розливе горючей жидкости.
Разработаны рекомендации РТП и оперативному штабу пожаротушения по организации тушения пожара на нефтепромысле г. Перми.
Следует отметить, что для обеспечения успешного тушения пожаров на данном объекте, необходимо:
-
Добиться от руководства промысла осуществления технических мер, разработанных в дипломе, обеспечивающих безопасные условия ведения боевых действий.
-
Начальнику Управления организации пожаротушения МЧС Правительства Пермской области не реже одного раза в полугодие отрабатывать сбор личного состава и развёртывание сил и средств ОГПС-1,5 по разработанным схемам подачи огнетушащих веществ.
-
Предусмотреть и согласовать с задействуемыми организациями сосредоточение на месте пожара расчетного количества пенообразующих средств за время не более 1 часа.
-
Администрации промысла разработать, согласно ППБ 01-03 План локализации и ликвидации аварий, с расчетом, согласно ГОСТ Р 12.3.047- 98, возможных зон загазованности, давления на фронте ударной волны при взрыве топливовоздушного облака, а также необходимого количества сил и средств для ликвидации последствий аварий (без пожара), а именно: бульдозеров, рабочих, земли и песка, экскаваторов и т.д.
СПИСОК ЛИТЕРАТУРЫ
1. СНиП 2.11.03-93г. "Склады нефти и нефтепродуктов. Производственные нормы". М.,Стройиздат, 1993г.- 40 с.
2. Руководство по тушению пожаров нефти и нефтепродуктов в резервуарах. ВНИИПО, ГУГПС МЧС РФ, МИПБ, М., 2000г.- 48 с.
3. Указания по тушению пожаров нефти и нефтепродуктов в резервуарах. ВНИИПО, ГУПО, МВД, М., 1991г.- 60 с.
4. "Пожаровзрывоопасность веществ и материалов и средства тушения". Справочник. 4.1 и П, М., "Химия", 1990г.- 384 с.
5. ППБ 01-03 «Правила пожарной безопасности в Российской Федерации»
6. Боевой устав пожарной охраны. М., МВД РФ, 1995г. -146с.
7. ВППБ 01-03-96 Правила пожарной безопасности для предприятий АК «Транснефтепродукт» , М., 1996г.- 24 с.
8. Инструкция по тушению пожаров, ГУПО, М., 1987г.- 31с.
9. Я.С.Повзик "Пожарная тактика", М., Стройиздат, 1990г.-310 с.
10.В.В. Теребнев «Справочник руководителя тушения пожара. Тактические возможности пожарных подразделений»/ М.: ООО «ПожКнига», ООО »Пожнаука»., 2004г.- 248 с.
















