182399 (584403)
Текст из файла
Зміст
Вступ
1.Статистичні ряди розподілу, їх елементи
2. Рівномірний розподіл, розподіл Пуассона, експоненціальний розподіл, нормальний розподіл та їх застосування
3.Використання рядів розподілу при дослідженні банківської системи
Висновки
Література
Додаток 1
Вступ
Статистичні ряди розподілу є одним з найбільш важливих елементів статистики. Вони є складовою частиною методу статистичних зведень і угрупувань, але, по суті, жодне із статистичних досліджень неможливо провести, не представивши спочатку отриману в результаті статистичного спостереження інформацію у вигляді статистичних рядів розподілу.
Первинні дані обробляються в цілях отримання узагальнених характеристик явища, що вивчається, за істотними ознаками для подальшого здійснення аналізу і прогнозування; проводиться зведення і угрупування; статистичні дані оформляються за допомогою рядів розподілу в таблиці, внаслідок чого інформація представляється в наочному раціонально викладеному вигляді, зручному для використання і подальшого дослідження; будуються різного роду графіки для найбільш наочного сприйняття і аналіз інформації. На основі статистичних рядів розподілу обчислюються основні величини статистичних досліджень: індекси, коефіцієнти; абсолютні, відносні, середні величини і так далі, за допомогою яких можна проводити прогнозування, як кінцевий висновок статистичних досліджень.
Мета даної роботи – дослідити суть та економічне значення рядів розподілу
Об’єктом дослідження даної курсової роботи є дані про розмір кредитування юридичних осіб банками України станом на 01/01/2009 року.
-
Статистичні ряди розподілу, їх елементи
Найважливішою частиною статистичного аналізу є побудова рядів розподілу (структурного угрупування) з метою виділення характерних властивостей і закономірностей сукупності, що вивчається. Залежно від того, яка ознака (кількісний або якісний) узята за основу угрупування даних, розрізняють відповідно типи рядів розподілу.
Якщо за основу угрупування узята якісна ознака, то такий ряд розподілу називають атрибутивним (розподіл по видах праці, по підлозі, по професії, за релігійною ознакою, національній приналежності і так далі).
Якщо ряд розподілу побудований за кількісною ознакою, то такий ряд називають варіаційним. Побудувати варіаційний ряд - означає упорядкувати кількісний розподіл одиниць сукупності по значеннях ознаки, а потім підрахувати числа одиниць сукупності з цими значеннями (побудувати групову таблицю).
Варіаційні ряди залежно від характеру варіації підрозділяються на дискретних (переривчасті) і інтервальних (безперервні) [2].
Дискретний ряд - це такий варіаційний ряд, в основу побудови якого покладені ознаки з переривчастою зміною (дискретні ознаки). До останніх можна віднести тарифний розряд, кількість дітей в сім'ї, число працівників на підприємстві і так далі Ці ознаки можуть приймати тільки кінцеве число певних значень.
Дискретний варіаційний ряд представляє таблицю, яка складається з двох граф. У першій графі указується конкретне значення ознаки, а в другій - число одиниць сукупності з певним значенням ознаки.
Якщо ознаку має безперервна зміна (розмір доходу, стаж роботи, вартість основних фондів підприємства і так далі, які в певних межах можуть набувати будь-яких значень), то для цієї ознаки потрібно будувати інтервальний варіаційний ряд.
Інтервальні ряди розподілу базуються на значенні ознаки, що безперервно змінюється, приймає будь-які (у тому числі і дроби) кількісні вирази, тобто значення ознак таких рядах задається у вигляді інтервалу.
За наявності достатньо великої кількості варіантів значень ознаки первинний ряд є важким для сприйняття, і безпосередній розгляд його не дає уявлення про розподіл одиниць за значенням ознаки в сукупності. Тому першим кроком у впорядкуванні первинного ряду є його ранжирування - розташування всіх варіантів в зростаючому (що убуває) порядку.
Варіаційні ряди будуються на основі кількісної групувальної ознаки. Варіаційні ряди складаються з двох елементів: варіант і частот [3].
Варіанта - це окреме значення варійованої ознаки, яке він приймає у ряді розподілу. Вони можуть бути позитивними і негативними, абсолютними і відносними. Частота - це чисельність окремих варіант або кожної групи варіаційного ряду. Частоти, виражені в долях одиниці або у відсотках до підсумку, називаються частостами. Сума частот називається об'ємом сукупності і визначає число елементів всієї сукупності.
Частості - це частоти, виражені у вигляді відносних величин (долях одиниць або відсотках). Сума частостей дорівнює одиниці або 100 %. Заміна частот частостами дозволяє зіставляти варіаційні ряди з різним числом спостережень.
Частота (частота повторення) - число повторень окремого варіанту значень ознаки, позначається fi, а сума частот, рівна об'єму досліджуваної сукупності, позначається
де к - число варіантів значень ознаки. Дуже часто таблиця доповнюється графою, в якій підраховуються накопичені частоти S, які показують, яка кількість одиниць сукупності має значення ознаки не більше, ніж дане значення.
Частоти ряду f можуть замінюватися частостями w, вираженими у відносних числах (долях або відсотках). Вони є відносинами частот кожного інтервалу до їх загальної суми, тобто:
Для побудови дискретного ряду з невеликим числом варіантів виписуються варіанти значень ознаки, що все зустрічаються, а потім підраховується частота повторення варіанту
. Ряд розподілу прийнято оформляти у вигляді таблиці, що складається з двох колонок (або рядків), в одній з яких представлені варіанти, а в іншій - частоти.
Для побудови ряду розподілу ознак, що безперервно змінюються, або дискретних, представлених у вигляді інтервалів, необхідно встановити оптимальне число груп (інтервалів), на які слід розбити всі одиниці сукупності, що вивчається [2].
При побудові варіаційного ряду з інтервальними значеннями перш за все необхідно встановити величину інтервалу i, яка визначається як відношення розмаху варіації R до груп m:
де R = xmax - xmin ; m = 1 + 3,322 lgn (формула Стерджесса); n - загальне число одиниць сукупності.
Як правило, для отримання узагальнених кількісних характеристик рівня якого або варіюючої ознаки по сукупності однорідних по основних властивостях одиниць конкретного явища або процесу розраховуються середні величини.
Середньою величиною називають показник, який характеризує узагальнене значення ознаки або групи ознак в досліджуваній сукупності [2].
Якщо досліджується сукупність з якісно однорідними ознаками, то середня величина виступає тут як типова середня. Наприклад, для груп працівників певної галузі з фіксованим рівнем доходу визначається типова середня витрат на предмети першої необхідності, тобто типова середня узагальнює якісно однорідні значення ознаки в даній сукупності, якою є частка витрат у працівників даної групи на товари першої необхідності.
При дослідженні сукупності з якісно різнорідними ознаками на перший план може виступити нетиповість середніх показників. Такими, наприклад, є середні показники проведеного національного доходу на душу населення (різні вікові групи), середні показники врожайності зернових культур по всій території Росії (райони різних кліматичних зон і різних зернових культур), середні показники народжуваності населення по всіх регіонах країни, середні температури за певний період і так далі Тут середні величини узагальнюють якісно різнорідні значення ознак або системних просторових совокупностей (міжнародне співтовариство, континент, держава, регіон, район і так далі) або динамічних совокупностей, протяжних в часі (століття, десятиліття, рік, сезон і так далі). Такі середні величини називають системними середніми.
Таким чином, значення середніх величин полягає в їх узагальнювальній функції [2]. Середня величина замінює велике число індивідуальних значень ознаки, виявляючи загальні властивості, властиві всім одиницям сукупності. Це, у свою чергу, дозволяє уникнути випадкових причин і виявити загальні закономірності, обумовлені загальними причинами.
На етапі статистичної обробки можуть бути поставлені самі різні завдання дослідження, для вирішення яких потрібно вибрати відповідну середню. При цьому необхідно керуватися наступним правилом: величини, які є чисельник і знаменник середньою, повинні бути логічно зв'язані між собою.
Використовуються дві категорії середніх величин [2]:
·ступеневі середні;
·структурні середні.
Перша категорія статечних середніх включає: середню арифметичну, середню гармонійну, середню квадратичну і середню геометричну.
Друга категорія (структурні середні) - це мода і медіана.
Різні середні виводяться із загальної формули статечної середньої:
при к = 1 - середня арифметична; к = -1 - середня гармонійна; к = 0 - середня геометрична; к = -2 - середня квадратична.
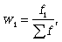
Середні величини бувають прості і зважені. Зваженими середніми називають величини, які враховують, що деякі варіанти значень ознаки можуть мати різну чисельність, у зв'язку з чим кожен варіант доводиться умножати на цю чисельність. Іншими словами, «вагами» виступають числа одиниць сукупності в різних групах, тобто кожен варіант «зважують» по своїй частоті. Частоту f називають статистичною вагою або вагою середньої.
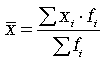
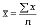
Середня арифметична - найпоширеніший вид середньої. Вона використовується, коли розрахунок здійснюється за незгрупованими статистичними даними, де потрібно отримати середній доданок. Середня арифметична - це таке середнє значення ознаки, при отриманні якого зберігається незмінним загальний об'єм ознаки в сукупності.
Формула середньою арифметичною (простій) має вигляд
де n - чисельність сукупності.
При розрахунку середніх величин окремі значення ознаки, яка усереднюється, можуть повторюватися, тому розрахунок середньої величини проводиться за згрупованими даними. В цьому випадку мова йде про використанні середньої арифметичною зваженою, яка має вигляд
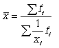
Середня гармонійна. Цю середню називають зворотною середньою арифметичною, оскільки ця величина використовується при к = -1.
Проста середня гармонійна використовується тоді, коли ваги значень ознаки однакові. Її формулу можна вивести з базової формули, підставивши к = -1:
У статистичній практиці частіше використовується гармонійна зважена, формула якої має вигляд
Дана формула використовується в тих випадках, коли ваги (або об'єми явищ) за кожною ознакою не рівні. У початковому співвідношенні для розрахунку середньою відомий чисельник, але невідомий знаменник.
Середня геометрична. Найчастіше середня геометрична знаходить своє застосування при визначенні середніх темпів зростання (середніх коефіцієнтів зростання), коли індивідуальні значення ознаки представлені у вигляді відносних величин. Вона використовується також, якщо необхідно знайти середню між мінімальним і максимальним значеннями ознаки (наприклад, між 100 і 1000000). Існують формули для простою і зваженою середньою геометричною.
Для простої середній геометричний
Для зваженої середньої геометричної
Середня квадратична величина. Основною сферою її застосування є вимірювання варіації ознаки в сукупності (розрахунок середнього квадратичного відхилення).
Формула простої середньою квадратичною
Формула зваженої середньої квадратичної
Характеристики
Тип файла документ
Документы такого типа открываются такими программами, как Microsoft Office Word на компьютерах Windows, Apple Pages на компьютерах Mac, Open Office - бесплатная альтернатива на различных платформах, в том числе Linux. Наиболее простым и современным решением будут Google документы, так как открываются онлайн без скачивания прямо в браузере на любой платформе. Существуют российские качественные аналоги, например от Яндекса.
Будьте внимательны на мобильных устройствах, так как там используются упрощённый функционал даже в официальном приложении от Microsoft, поэтому для просмотра скачивайте PDF-версию. А если нужно редактировать файл, то используйте оригинальный файл.
Файлы такого типа обычно разбиты на страницы, а текст может быть форматированным (жирный, курсив, выбор шрифта, таблицы и т.п.), а также в него можно добавлять изображения. Формат идеально подходит для рефератов, докладов и РПЗ курсовых проектов, которые необходимо распечатать. Кстати перед печатью также сохраняйте файл в PDF, так как принтер может начудить со шрифтами.















