182399 (584403), страница 3
Текст из файла (страница 3)
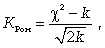
Найбільш поширеним є критерій згоди К. Пірсона, який можна представити як суму відносин квадратів розбіжностей між f' і f до теоретичних частот:
Обчислене значення критерію необхідно порівняти з табличним (критичним) значенням . Табличне значення визначається по спеціальній таблиці, воно залежить від прийнятої вірогідності Р і числа мір свободи до (при цьому до = m - 3, де m - число груп у ряді розподілу для нормального розподілу). При розрахунку критерію згоди Пірсону повинна дотримуватися наступна умова: достатньо великим повинне бути число спостережень (n
50), при цьому якщо в деяких інтервалах теоретичні частоти < 5, то інтервали об'єднують для умови > 5.
Якщо
, то розбіжності між емпіричними і теоретичними частотами розподілу можуть бути випадковими і припущення про близькість емпіричного розподілу до нормального не може бути знехтуване.
В тому випадку, якщо відсутні таблиці для оцінки випадковості розбіжності теоретичних і емпіричних частот, можна використовувати критерій згоди В.І. Романовського КРом , який, використовуючи величину
, запропонував оцінювати близькість емпіричного розподілу кривої нормального розподілу за допомогою відношення
де m - число груп; до = (m - 3 ) - число мір свободи при численні частот нормального розподілу.
Якщо вищезгадане відношення < 3, то розбіжності емпіричних і теоретичних частот можна вважати випадковими, а емпіричний розподіл - відповідним нормальному. Якщо відношення > 3, то розбіжності можуть бути достатньо істотними і гіпотезу про нормальний розподіл слід відкинути.
Критерій згоди А.Н. Колмогорова використовується при визначенні максимальної розбіжності між частотами емпіричного і теоретичного розподілу, обчислюється за формулою
де D - максимальне значення різниці між накопиченими емпіричними і теоретичними частотами;
- сума емпіричних частот.
По таблицях значень вірогідності
- критерію можна знайти величину
, відповідну вірогідності Р. Еслі величина вірогідності Р значительна по відношенню до знайденої величини, то можна припустити, що розбіжності між теоретичним і емпіричним розподілами неістотні.
Необхідною умовою при використанні критерію згоди Колмогорова є достатньо велике число спостережень (не менше ста).
-
Використання рядів розподілу при дослідженні банківської системи
За первинними даними щодо розміру кредитування юридичних осіб установами комерційних банків України станом на 01/01/2009 р, наведеними в додатку 1, побудуємо статистичний ряд розподілу та розрахуємо основні показники ряду розподілу.
Визначимо кількість груп, скориставшись формулою Стерджесса:
Визначимо розмір інтервалу, скориставшись формулою:
Визначимо верхні та нижні границі інтервалів, а також кількість статистичних одиниць, які потрапили до кожного інтервалу:
| № інтервалу | Нижня границя інтервалу | Верхня границя інтервалу | Кількість статистичних одиниць | Частота повторення |
| 1 | 17,96 | 3250,95 | 110 | 0,81 |
| 2 | 3250,95 | 6483,94 | 12 | 0,09 |
| 3 | 6483,94 | 9716,93 | 7 | 0,05 |
| 4 | 9716,93 | 12949,92 | 2 | 0,01 |
| 5 | 12949,92 | 16182,91 | 2 | 0,01 |
| 6 | 16182,91 | 19415,9 | 0 | 0,00 |
| 7 | 19415,9 | 22648,89 | 1 | 0,01 |
| 8 | 22648,89 | 25881,9 | 2 | 0,01 |
На основі цих даних будуємо гістограму розподілу установ банків за сумою наданих юридичним особам кредитів:
Графік 1 - Гістограма розподілу установ банків
Таблиця 1 - Розрахуємо основні показники варіаційного ряду, виконавши додаткові розрахунки:
| № інтервалу | Нижня границя інтервалу | Верхня границя інтервалу |
|
|
| 1 | 17,96 | 3250,95 | 0,809 | 601,1555 |
| 2 | 3250,95 | 6483,94 | 0,088 | 5143,238 |
| 3 | 6483,94 | 9716,93 | 0,051 | 7918,739 |
| 4 | 9716,93 | 12949,92 | 0,015 | 11389,66 |
| 5 | 12949,92 | 16182,91 | 0,015 | 13725,71 |
| 6 | 16182,91 | 19415,9 | 0,000 | 0 |
| 7 | 19415,9 | 22648,89 | 0,007 | 21522,94 |
| 8 | 22648,89 | 25881,9 | 0,015 | 24852,86 |
Середній розмір кредитування юридичних осіб установами банків України визначаємо за формулою середньої арифметичної зваженої:
млн.. грн..
Дисперсія:
Середнє квадратичне відхилення:
Коефіцієнт варіації
- свідчить про неоднорідність досліджуваної сукупності.
Мода:
млн.. грн..
Таким чином, найбільша кількість українських банків кредитують юридичних осіб в інтервалі від 17,96 до 3250,95 млн. грн., який і є модальним.
Медіана:
млн.. грн..
Таким чином, половина установ банків України кредитують юридичні особи у розмірі меншому за 2016,59 млн. грн.., а половина – на більшу суму.
Візуальний аналіз гістограми розподілу свідчить про те, що функція розподілу установ банків за розміром кредитів, наданих юридичним особам, нагадує показниковий (експоненціальний) або логнормальний розподіл.
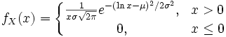
Перевіримо гіпотезу про експоненціальний розподіл сукупності (при
За формулою щільності ймовірності експоненціального розподілу
Таблиця 1 - Знаходимо теоретичні частоти розподілу
| № інтервалу | Нижня границя інтервалу | Верхня границя інтервалу |
|
|
|
| 1 | 17,96 | 3250,95 | 0,809 | 601,1555 | 0,00031451 |
| 2 | 3250,95 | 6483,94 | 0,088 | 5143,238 | 0,00005112 |
| 3 | 6483,94 | 9716,93 | 0,051 | 7918,739 | 0,00001684 |
| 4 | 9716,93 | 12949,92 | 0,015 | 11389,66 | 0,00000420 |
| 5 | 12949,92 | 16182,91 | 0,015 | 13725,71 | 0,00000165 |
| 7 | 19415,9 | 22648,89 | 0,007 | 21522,94 | 0,00000007 |
| 8 | 22648,89 | 25881,9 | 0,015 | 24852,86 | 0,00000002 |
Для оцінки близькості емпіричних та теоретичних частот використаємо критерій Пірсона:
Обчислене значення критерію необхідно порівняти з табличним (критичним) значенням . Критичне значення критерію персона при рівні значущості 0,05 та мірі свободи
дорівнює 2,57.
Оскільки табличне значення критерію Персона більше за критичне, то розбіжності між емпіричними і теоретичними частотами розподілу не можуть бути випадковими і припущення про близькість емпіричного розподілу до експоненціального повинно бути відхилено.
Перевіримо гіпотез про логнормальний закон розподілу.
Логнормамльний розподіл в теорії вірогідності - це двохпараметричне сімейство абсолютно безперервних розподілів. Якщо випадкова величина має логнормальний розподіл, то її логарифм має нормальний розподіл.
Функція щільності ймовірності логнормального розподілу має вигляд















