182399 (584403), страница 2
Текст из файла (страница 2)
У результаті можна сказати, що від правильного вибору виду середньої величини у кожному конкретному випадку залежить успішне вирішення завдань статистичного дослідження. Вибір середньою припускає таку послідовність:
а) встановлення узагальнювального показника сукупності;
б) визначення для даного узагальнювального показника математичного співвідношення величин;
в) заміна індивідуальних значень середніми величинами;
г) розрахунок середньою за допомогою відповідного рівняння.
Для визначення структури сукупності використовують особливі середні показники, до яких відносяться медіана і мода, або так звані структурні середні [2]. Якщо середня арифметична розраховується на основі використання всіх варіантів значень ознаки, то медіана і мода характеризують величину того варіанту, який займає певне середнє положення в ранжованому варіаційному ряду.
Медіана (Ме) - це величина, яка відповідає варіанту, що знаходиться в середині ранжируваного ряду.
Для ранжованого ряду з непарним числом індивідуальних величин медіаною буде величина, яка розташована в центрі ряду.
Для ранжованого ряду з парним числом індивідуальних величин медіаною буде середня арифметична величина, яка розраховується з двох суміжних величин.
Чисельне значення медіани визначають по накопичених частотах в дискретному варіаційному ряду. Для цього спочатку слід вказати інтервал знаходження медіани в інтервальному ряду розподілу. Медіанним називають перший інтервал, де сума накопичених частот перевищує половину спостережень від загального числа всіх спостережень.
Чисельне значення медіани зазвичай визначають по формулі
де xме - нижня межа медіанного інтервалу; i - величина інтервалу; S-1 - накопичена частота інтервалу, яка передує медіанному; f - частота медіанного інтервалу.
Модою (Мо-пермалой) називають значення ознаки, яке зустрічається найчастіше у одиниць сукупності. Для дискретного ряду модою буде варіант з найбільшою частотою. Для визначення моди інтервального ряду спочатку визначають модальний інтервал (інтервал, що має найбільшу частоту). Потім в межах цього інтервалу знаходять те значення ознаки, яке може бути модою.
Щоб знайти конкретне значення моди, необхідно використовувати формулу
де xмо - нижня межа модального інтервалу; iмо - величина модального інтервалу; fмо - частота модального інтервалу; fмо-1 - частота інтервалу, передування модальному; fмо+1 - частота інтервалу, наступного за модальним.
2. Рівномірний розподіл, розподіл Пуассона, експоненціальний розподіл, нормальний розподіл та їх застосування
Основною метою аналізу варіаційних рядів є виявлення закономірності розподілу, виключаючи при цьому вплив випадкових для даного розподілу чинників. Цього можна досягти, якщо збільшувати об'єм досліджуваної сукупності і одночасно зменшувати інтервал ряду. При спробі зображення цих даних графічно ми отримаємо деяку плавну криву лінію, яка для полігону частот буде деякою межею. Цю лінію називають кривою розподіли.
Іншими словами, крива розподілу є графічне зображення у вигляді безперервної лінії зміни частот у варіаційному ряду, яке функціонально пов'язане із зміною варіант. Крива розподілу відображає закономірність зміни частот за відсутності випадкових чинників. Графічне зображення полегшує аналіз рядів розподілу
Відомо достатньо багато форм кривих розподілів, по яких може вирівнюватися варіаційний ряд.
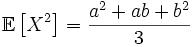
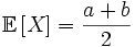
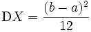
РІВНОМІРНИЙ розподіл (прямокутний розподіл) - розподіл вірогідності випадкової величини Х, що набуває значення з деякого інтервалу з постійною щільністю вірогідності.
Випадкова величина має рівномірний безперервний розподіл на відрізку [а,b], якщо
Інтегруючи визначену вище щільність, отримуємо функцію розподілу
Основні моменти безперервного рівномірного розподілу:
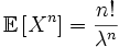
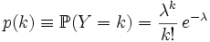
РОЗПОДІЛ ПУАССОНА моделює випадкову величину, що є числом подій, подіям за фіксований час, за умови, що дані події відбуваються з деякою фіксованою середньою інтенсивністю і незалежно один від одного. Розподіл Пуассона грає ключову роль в теорії масового обслуговування.
Виберемо фіксоване число λ > 0 і визначимо дискретний розподіл, що задається наступною функцією вірогідності:
Функція вірогідності
:
Функція розподілу
Функція моментів розподілу Пуассона, що проводить, має вигляд:
Звідки
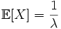
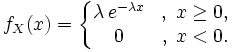
ПОКАЗОВИЙ РОЗПОДІЛ - абсолютно безперервний розподіл, що моделює час між двома послідовними звершеннями однієї і тієї ж події.
Випадкова величина X має експоненціальний розподіл з параметром λ > 0, якщо її щільність має вигляд
Іноді сімейство експоненціальних розподілів параметризують зворотним параметром 1 / λ:
Обидва способи однаково природні, і необхідна лише домовленість, який з них використовується.
Інтегруючи щільність, отримуємо функцію експоненціального розподілу:
Функція моментів для експоненціального розподілу має вигляд:
звідки отримуємо всі моменти:
Зокрема
НОРМАЛЬНИЙ РОЗПОДІЛ, який також називають розподілом Гауса, - розподіл вірогідності, який грає найважливішу роль в багатьох галузях знань, особливо у фізиці. Фізична величина підкоряється нормальному розподілу, коли вона схильна до впливу величезного числа випадкових перешкод. Ясно, що така ситуація украй поширена, тому можна сказати, що зі всіх розподілів в природі найчастіше зустрічається саме нормальний розподіл - звідси і походить одна з його назв.
Нормальний розподіл залежить від двох параметрів - зсуву і масштабу, тобто є з математичної точки зору не одним розподілом, а цілим їх сімейством. Значення параметрів відповідають значенням середнього (математичного очікування) і стандартного відхилення.
Стандартним нормальним розподілом називається нормальний розподіл з математичним очікуванням 0 і стандартним відхиленням 1.
Щільність вірогідності нормального розподілу
Функція розподілу
Функція моментів нормального розподілу має вигляд
Нормальні розподіли утворюють масштабно-зсувне сімейство. При цьому параметром масштабу є d = 1/
, а параметром зсуву c = - m/
.
За допомогою нормального розподілу визначаються три розподіли, які в даний час часто використовуються при статистичній обробці даних.
РОЗПОДІЛ ПІРСОНУ (хі - квадрат) - розподіл випадкової величини
де випадкові величини X1, X2., Xn незалежні і мають один і той же розподіл N(0,1).
Розподіл хі-квадрат використовують при оцінюванні дисперсії (за допомогою довірчого інтервалу), при перевірці гіпотез згоди, однорідності, незалежності, перш за все для якісних (категорізованих) змінних, що приймають кінцеве число значень, і в багатьох інших завданнях статистичного аналізу даних.
РОЗПОДІЛ СТЬЮДЕНТА - це розподіл випадкової величини
де випадкові величини U і X незалежні, U має розподіл стандартний нормальний розподіл N(0,1), а X - розподіл хі - квадрат з n мірами свободи. При цьому n називається «Числом мір свободи» розподілу Стьюдента.
Розподіл Стьюдента був введений в 1908 р. англійським статистиком Ст. Госсетом, що працював на фабриці, що випускає пиво. Ймовірносно-статистичні методи використовувалися для ухвалення економічних і технічних рішень на цій фабриці, тому її керівництво забороняло В. Госсету публікувати наукові статті під своїм ім'ям. У такий спосіб охоронялася комерційна таємниця, «ноу-хау» у вигляді ймовірносно-статистичних методів, розроблених Ст. Госсетом. Проте він мав можливість публікуватися під псевдонімом «Стьюдент». Історія Госсета - Стьюдента показує, що ще сто років тому менеджерам Великобританії була очевидна велика економічна ефективність ймовірносно-статистичних методів.
В даний час розподіл Стьюдента - один з найбільш відомих розподілів серед використовуваних при аналізі реальних даних. Його застосовують при оцінюванні математичного очікування, прогнозного значення і інших характеристик за допомогою довірчих інтервалів, по перевірці гіпотез про значення математичних очікувань, коефіцієнтів регресійної залежності, гіпотез однорідності вибірок і так далі
Розподіл Фішера - це розподіл випадкової величини
де випадкові величини Х1 і Х2 незалежні і мають розподіли хі - квадрат з числом мір свободи k1 і k2 відповідно. При цьому пара (k1, k2) - пара «чисел мір свободи» розподілу Фішера, а саме, k1 - число мір свободи чисельника, а k2 - число мір свободи знаменника. Розподіл випадкової величини F названий на честь великого англійського статистика Р.Фішера (1890-1962), що активно використав його в своїх роботах.
Розподіл Фішера використовують при перевірці гіпотез про адекватність моделі в регресійному аналізі, про рівність дисперсій і в інших завданнях прикладної статистики.
Виразу для функцій розподілу хі - квадрат, Стьюдента і Фішера, їх щільності і характеристик, а також таблиці, необхідні для їх практичного використання, можна знайти в спеціальній літературі.
Якщо потрібно отримати теоретичні частоти f' при вирівнюванні варіаційного ряду по кривій нормального розподілу, то можна скористатися формулою
де
- сума всіх емпіричних частот варіаційного ряду; h - величина інтервалу в групах;
- середнє квадратичне відхилення;
- нормоване відхилення варіантів від середньої арифметичної; решта всіх величин легко обчислюється по спеціальних таблицях.
За допомогою цієї формули ми отримуємо теоретичний (імовірнісне) розподіл, замінюючи ним емпіричний (фактичне) розподіл, по характеру вони не повинні відрізнятися один від одного.
Порівнюючи отримані величини теоретичних частот f' з емпіричними (фактичними) частотами f, переконуємося, що їх розбіжності можуть бути вельми невеликі.
Об'єктивна характеристика відповідності теоретичних і емпіричних частот може бути отримана за допомогою спеціальних статистичних показників, які називають критеріями згоди.
Для оцінки близькості емпіричних і теоретичних частот застосовуються критерій згоди Пірсону, критерій згоди Романовського, критерій згоди Колмогорова [1].















