166304 (582608)
Текст из файла
Контрольная работа №1
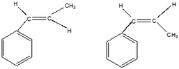
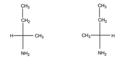
1 Приведите проекционные формулы оптических изомеров соединений
Определите, число изомеров и укажите, какие из них являются энантиомерами, а какие – диастереомерами.
Решение
а). Число изомеров – 2, оба изомера являются по отношению друг к другу энантиомерами.
б). Число изомеров – 2, оба - энантиомеры
в). Число изомеров – 4.
Пары энантиомеров: I и III, II и IV; пары диастереомеров: I и II, III и IV.
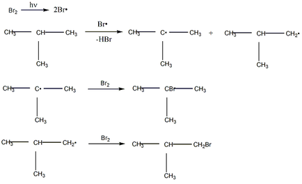
2 Приведите механизм реакции радикального замещения (SR) на примере бромирования 2-метилпропана и циклогексана. Объясните устойчивость третичного радикала по сравнению с вторичным и первичным
Решение
Механизм бромирования 2-метилпропана
Механизм бромирования циклогексанаость свободных радикалов определяется энергией их образования из алканов. Энергия, необходимая для образования различных типов радикалов, уменьшается в следующем порядке: СН3 > первичный > вторичный > третичный. Если для образования одного радикала требуется меньше энергии, чем для образования другого, то это может означать только то, что в сравнении с образующимся алканом один радикал содержит меньше энергии и более устойчив, чем другой (см. рисунок ниже):
Абсолютное содержание энергии, например, метильного и этильного радикалов не сравнивается; просто говорят, что различие в энергиях между метаном и метильным радикалом больше, чем между этаном и этильным радикалом.
3 Дайте определение понятию «кислотности» органических соединений по Бренстеду-Лоури и расположите в ряд по возрастанию кислотных свойств следующие соединения: фенол, пропантиол-1, пропиловый спирт, пропановая кислота, пропан, пропанамин-1.
Укажите вид и знак электронных эффектов заместителей. Обоснуйте кислотные свойства указанных веществ, исходя из стабильности соответствующих анионов
Решение
По теории Брёнстеда (протолитической теории) кислотность и основность соединений связывается с переносом протона Н. Кислота Н + Основание. Кислота и основание образуют сопряженную кислотно-основную пару, в которой чем сильнее кислота, тем слабее сопряженное ей основание, и напротив, чем сильнее основание, тем слабее сопряженная ему кислота. Например, хлороводородная кислота сильнее, чем уксусная кислота и соответственно ацетат-ион будет более сильным основанием, чем хлорид-ион. Кислоты Брёнстеда (протонные кислоты) нейтральные молекулы или ионы, способные отдавать протон (доноры протонов). Основания Брёнстеда — нейтральные молекулы или ноны, способные присоединить протон (акцепторы протонов). Кислотность и основность являются не абсолютными, а относительными свойствами соединений: кислотные свойства обнаруживаются лишь в присутствии основания; основные свойства только в присутствии кислоты.
Большинство органических соединений можно рассматривать как кислоты, поскольку в них содержатся поляризованные связи атома водорода с различными элементами (О, N, S, С). Органические кислоты классифицируют по природе кислотного центра:
ОН-кислоты: спирты, фенолы, карбоновые кислоты, сульфокислоты, гидроксикислоты, аминокислоты;
-
SH-кислоты: тиоспирты, SH-содержащие аминокислоты и др. соединения;
-
NH-кислоты: амины, имины, гетероциклические соединения с атомом азота;
-
СН-кислоты: углеводороды, радикалы гетерофункциональных соединений.
Для количественной характеристики кислотных свойств используется величина
pKa = - lg Ka,
где Ка – константа кислотности. Чем меньше рКа, тем больше кислотность по Бренстеду.
Качественной характеристикой кислотных свойств может служить стабильность образующегося аниона. Сила кислоты определяется стабильностью аниона, образующегося из этой кислоты: чем стабильнее анион, тем сильнее кислота. Стабильность аниона, в свою очередь, определяется характером распределения отрицательного заряда аниона и зависит от ряда факторов:
-
природы атома в кислотном центре (электроотрицательности и поляризуемости элемента);
-
характера связанного с кислотным центром органического радикала (электроноакцепторного или электронодонорного);
-
сольватационных эффектов.
Электроотрицательность имеет значение, когда сравнивается кислотность соединений, имеющих одинаковые радикалы и элементы кислотного центра, относящиеся к одному и тому же периоду периодической системы Д.И. Менделеева (т.е. когда практически не изменяется поляризуемость). Чем более электроотрицательным является элемент в кислотном центре, тем он более способен нести отрицательный заряд, и тем стабильнее образующийся анион, и соответственно, сильнее кислота.
| С—Н кислота | N—H кислота | О—Н кислота | S—H кислота | О—Н кислоты | |
| С2Н5СH2←Н пропан | С3Н7N←H пропанамин | С3Н7О←Н Пропиловый спирт | С2Н5S←H Пропантиол-1 | С6Н5О←Н фенол | С2Н5СОО←Н уксусная кислота |
| рКа = 50 | рКа ≈ 30 | рКа ≈ 18 | рКа ≈ 12 | рКа = 10 | рКа = 4,9 |
Кислотность соединений в ряду слева направо увеличивается.
У пропана, пропанамина и пропилового спирта кислотность, ввиду отсутствия электроноакцепторных групп у кислотообразующей частицы обеспечивается исключительно электроотрицательностью этой самой частицы.
В пределах группы таблицы элементов Менделеева стабильность анионов возрастает с увеличением атомного номера элемента, так как увеличивается объем электронных орбиталей, и создается лучшая возможность для делокализации отрицательного заряда. Поэтому пропантиол является более сильной кислотой, чем пропанол.
Фенильная группа (бензольное кольцо) обладает слабым отрицательным индуктивным эффектом и делокализует образовавшийся на атоме кислорода отрицательный заряд по всему бензольному кольцу:
Аналогично, для пропановой кислоты отрицательный заряд делокализуется по системе сопряженных связей:
4 Объясните, как изменяется основность в указанном ряду соединений. Как практически можно подтвердить основность самого сильного основания этого ряда?
n-Хлоранилин, метиламин, метилпропиламин, п- нитроанилин, анилин, дифениламин
Решение
На основность аминов влияют различные факторы: электронные эффекты углеводородных радикалов, пространственное экранирование радикалами атома азота, а также способность образующихся ионов к стабилизации за счет сольватации в среде растворителя. В результате +I-эффекта алкильных групп основность алифатических аминов в газовой фазе (без растворителя) растет в ряду: первичные < вторичные < третичные. Однако в растворах оснoвные свойства третичных аминов проявляются слабее, чем у вторичных и даже первичных аминов, так как три радикала создают пространственные препятствия для сольватации образующихся аммониевых ионов. По этой же причине основность первичных и вторичных аминов снижается с увеличением размеров и разветвленности радикалов.
Основность ароматических аминов зависит также от характера заместителей в бензольном кольце. Электроноакцепторные заместители (-F, -Cl, -NO2 и т.п.), а также фенильная группа, уменьшают основные свойства ариламина по сравнению с анилином, а электронодонорные (алкил, -OCH3, -N(CH3)2 и др.), напротив, увеличивают.
Основность аминов (в растворе) возрастает в ряду:
дифениламин < анилин<п-хлоранилин <п-нитроанилин < метиламин < метилпропиламин
Водные растворы алифатических аминов проявляют щелочную реакцию, т.к. при их взаимодействии с водой образуются гидроксиды алкиламмония, аналогичные гидроксиду аммония:
5 Установите строение углеводорода С5Н12, при монобромировании которого образуется третичный галогеноалкан. Искомый углеводород нельзя получить по реакции Вюрца без побочных продуктов. Запишите уравнения реакций получения этого углеводорода гидрированием алкена и щелочной плавкой соли карбоновой кислоты
Решение
Строение искомого углеводорода представлено ниже
Гидрирование алкена
Щелочная плавка соли карбоновой кислоты
6 Углеводород С6Н]2 присоединяет 1 моль Вг2, растворяется в холодной концентрированной серной кислоте, при гидрировании превращается в 2-метилпентан, а при окислении перманганатом калия в кислой среде при нагревании образует среди продуктов реакции уксусную кислоту. Предложите его структурную формулу. Напишите уравнения перечисленных реакций
Решение
Строение углеводорода
Присоединение брома
Растворение в холодной концентрированной серной кислоте
Гидрирование
Окисление перманганатом калия
7 Установите строение углеводорода С6Н10, если известно, что он обесцвечивает бромную воду, образует красный осадок с аммиачным раствором оксида меди (I), а в результате присоединения воды в присутствии сульфата ртути превращается в изобутилметилкетон
Решение
8 Определите, какие продукты будут преимущественно образовываться при бромировании (в присутствии катализатора FeBr3) следующих соединений
Решение
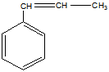
9 Определите структурную формулу углеводорода состава С9Н10, который: а) обесцвечивает реактив Вагнера; б) вступает в реакцию полимеризации; в) существует в виде цис-транс-изомеров; г) при окислении даёт бензойную кислоту
Решение
Структурная формула углеводорода (бета-метилстирол)
а). обесцвечивание реактива Вагнера
б). полимеризация бета-метилстирола (с добавлением перекиси бензоила в качестве инициатора)
в). Цис-транс-изомерия
транс-изомер цис-изомер
г). окисление
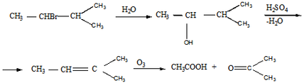
10 Установите структурную формулу соединения С5Н11Вг, легко вступающего в реакцию гидролиза, протекающую по механизму SN1. Продукт гидролиза при дегидратации и последующем озонолизе даёт смесь уксусного альдегида и ацетона
Решение
Структурная формула вещества и последующие реакции приведены ниже
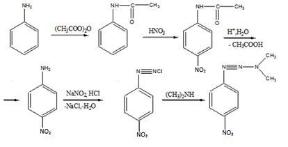
11 Напишите, какие соединения получатся в результате последовательного действия на анилин уксусного ангидрида, нитрующей смеси, воды (в присутствии НС1), NaNO2(в присутствии НCl), N,N-диметиланилина
Решение
12 Углеводороды состава: a) C8H6 и б) С9Н8 обесцвечивают бромную воду, при окислении образуют бензойную кислоту, с аммиачным раствором нитрата серебра дают осадок. Напишите структурные формулы этих углеводородов
Решение
Строение соединений приведено на рисунке
а) фенилацетилен б) 1-фенилэтин
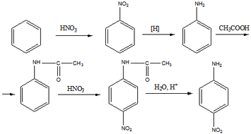
13. Приведите уравнения реакций по следующим схемам:
а) Бензол —» нитробензол —» анилин —> ацетанилид —> n -нитроацетанилид —»
п-нитроанилин;
б) Хлоробензол —»м - бромобензойная кислота
Решение
а).
б).
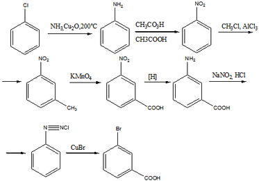
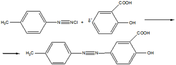
14 Напишите схему получения азокрасителя, используя в качестве диазо и азосоставляющих соответственно n-толуидин и салициловую кислоту. Укажите условия реакции. Опишите механизмы реакций диазотирования и азосочетания
Решение
Для получения диазосоставляющего компонента п-толуидин подвергают реакции диазотирования.
Затем идет стадия азосочетания:
Механизм диазотирования следующий:
В водном растворе сильной неорганической кислоты азотистая кислота, образующаяся как малодиссоциирующее соединение в результате взаимодействия нитрита натрия и соляной кислоты, частично протонируется с образованием нитрозацидий-катиона :
Нитрозацидий-катион очень активный электрофильный агент. Согласно кинетическим данным, этот катион в водном растворе гораздо быстрее реагирует с неорганическими анионами, присутствующими в растворе, чем с ароматическим амином.
В результате образуются новые реагенты: азотистый ангидрид, хлористый или бромистый нитрозил, которые могут быть электрофильными агентами при диазотировании в разбавленном водном растворе.
Диазотированию подвергается амин в виде свобoдного основания. Лимитирующей стадией всего процесса диазотирования является образование N-арилнитрозоаммония, как это предполагал Е. Бамбергер еще в 1900 году, далее следует ряд быстрых протолитических равновесий, приводящих к диазосоединению, как к конечному продукту.
Характеристики
Тип файла документ
Документы такого типа открываются такими программами, как Microsoft Office Word на компьютерах Windows, Apple Pages на компьютерах Mac, Open Office - бесплатная альтернатива на различных платформах, в том числе Linux. Наиболее простым и современным решением будут Google документы, так как открываются онлайн без скачивания прямо в браузере на любой платформе. Существуют российские качественные аналоги, например от Яндекса.
Будьте внимательны на мобильных устройствах, так как там используются упрощённый функционал даже в официальном приложении от Microsoft, поэтому для просмотра скачивайте PDF-версию. А если нужно редактировать файл, то используйте оригинальный файл.
Файлы такого типа обычно разбиты на страницы, а текст может быть форматированным (жирный, курсив, выбор шрифта, таблицы и т.п.), а также в него можно добавлять изображения. Формат идеально подходит для рефератов, докладов и РПЗ курсовых проектов, которые необходимо распечатать. Кстати перед печатью также сохраняйте файл в PDF, так как принтер может начудить со шрифтами.
Н















