166304 (582608), страница 3
Текст из файла (страница 3)
310-спирали;
неупорядоченные фрагменты.
Третичная или трёхмерная структура — пространственное строение полипептидной цепи (набор пространственных координат составляющих белок атомов). Структурно состоит из элементов вторичной структуры, стабилизированных различными типами взаимодействий. В стабилизации третичной структуры принимают участие:
ковалентные связи (между двумя остатками цистеина — дисульфидные мостики);
ионные связи между противоположно заряженными боковыми группами аминокислотных остатков;
водородные связи;
гидрофильно-гидрофобные взаимодействия.
При взаимодействии с окружающими молекулами воды белковая молекула «стремится» свернуться так, чтобы неполярные боковые группы аминокислот оказались изолированы от водного раствора; на поверхности молекулы оказываются полярные гидрофильные боковые группы.
Четверичная структура (или субъединичная, доменная) — взаимное расположение нескольких полипептидных цепей в составе единого белкового комплекса. Белковые молекулы, входящие в состав белка с четвертичной структурой, образуются на рибосомах по отдельности и лишь после окончания синтеза образуют общую надмолекулярную структуру (можно считать её и молекулой, если между разными полипептидными цепями, как это нередко бывает, образуются дисульфидные мостики). В состав белка с четвертичной структурой могут входить как идентичные, так и различающиеся полипептидные цепочки. В стабилизации четвертичной структуры принимают участие те же типы взаимодействий, что и в стабилизации третичной. Надмолекулярные белковые комплексы могут состоять из десятков молекул, многие из них сравнимы по размеру с рибосомами и в последние годы часто описываются как органоиды (см., напр., протеасома). Нередко в их состав входят молекулы РНК (см., напр., сплайсосома).
5.2 Углеводы (моносахариды, полисахариды). Гликозиды. Крахмал (амилоза, амилопектин), декстран (полиглюкин)
Углево́ды (сахариды) — общее название обширного класса природных органических соединений. Название происходит от слов «уголь» и «вода». Причиной этого является то, что первые из известных науке углеводов описывались брутто-формулой Cx(H2O)y, формально являясь соединениями углерода и воды.
С точки зрения химии углеводы являются органическими веществами, содержащими неразветвленную цепь из нескольких атомов углерода, карбонильную группу, а также несколько гидроксильных групп.
Моносахариды (от греческого monos: единственный, sacchar: сахар), — органические соединения, одна из основных групп углеводов; самая простая форма сахара; являются обычно бесцветными, растворимыми в воде, прозрачными твердыми веществами. Некоторые моносахариды обладают сладким вкусом. Моносахариды — стандартные блоки, из которых синтезируются дисахариды (такие, как сахароза) и полисахариды (такие, как целлюлоза и крахмал), содержат гидроксильные группы и альдегидную (альдозы) или кетогруппу (кетозы). Каждый углеродный атом, с которым соединена гидроксильная группа (за исключением первого и последнего) является хиральным, давая начало многим изомерным формам. Например, галактоза и глюкоза — альдогексозы, но имеют различные химические и физические свойства. Моносахариды, как и все углеводы, содержат только 3 элемента (C,O,H).
К моносахаридам относятся:
Глюко́за («виноградный сахар», декстроза) встречается в соке многих фруктов и ягод, в том числе и винограда, отчего и произошло название этого вида сахара. Является шестиатомным сахаром (гексозой).
Фруктоза, или плодовый сахар — моносахарид, который в свободном виде присутствует почти во всех сладких ягодах и плодах. Многие предпочитают заменять сахар не синтетическими препаратами, а природной фруктозой.
Галактоза — один из простых сахаров. Отличается от глюкозы пространственным расположением водородной и гидроксильной групп у 4-го углеродного атома. Содержится в животных и растительных организмах, в том числе в некоторых микроорганизмах. Входит в состав молочного сахара. При окислении образует галактоновую, галактуроновую и слизевую кислоты. Хорошо растворима в воде
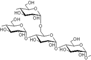
Полисахари́ды — общее название класса сложных высокомолекулярных углеводов, молекулы которых состоят из десятков, сотен или тысяч мономеров — моносахаридов.
Полисахариды необходимы для жизнедеятельности животных и растительных организмов. Они являются одним из основных источников энергии, образующейся в результате обмена веществ организма. Они принимают участие в иммунных процессах, обеспечивают сцепление клеток в тканях, являются основной массой органического вещества в биосфере.
Была установлена многообразная биологическая активность полисахаридов растительного происхождения: антибиотическая, противовирусная, противоопухолевая, антидотная[источник не указан 322 дня]. Полисахариды растительного происхождения выполняют большую роль в уменьшении липемии и атероматоза сосудов благодаря способности давать комплексы с белками и липо-протеидами плазмы крови.[1]
К полисахаридам относятся, в частности:
декстрин — полисахарид, продукт гидролиза крахмала;
крахмал — основной полисахарид, откладываемый, как энергетический запас у растительных организмов;
гликоген — полисахарид, откладываемый, как энергетический запас в клетках животных организмов, но встречается в малых количествах и в тканях растений;
целлюлоза — основной структурный полисахарид клеточных стенок растений;
галактоманнаны — запасные полисахариды некоторых растений семейства бобовых, такие как гуаран и камедь рожкового дерева;
глюкоманнан — полисахарид, получаемый из клубней конняку, состоит из чередующихся звеньев глюкозы и маннозы, растворимое пищевое волокно, уменьшающее аппетит;
амилоид — применяется при производстве пергаментной бумаги.
Гликози́ды — органические соединения, молекулы которых состоят из двух частей: углеводного (пиранозидного или фуранозидного) остатка и неуглеводного фрагмента (т. н. агликона). В качестве гликозидов в более общем смысле могут рассматриваться и углеводы, состоящие из двух или более моносахаридных остатков. Преимущественно кристаллические, реже аморфные вещества, хорошо растворимые в воде и спирте.
Гликозиды представляют собой обширную группу органических веществ, встречающихся в растительном (реже в животном) мире и/или получаемых синтетическим путём. При кислотном, щелочном, ферментативном гидролизе они расщепляются на два или несколько компонентов — агликон и углевод (или несколько углеводов). Многие из гликозидов токсичны или обладают сильным физиологическим действием, например гликозиды наперстянки, строфанта и другие.
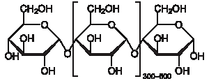
Крахма́л — полисахариды амилозы и амилопектина, мономером которых является альфа-глюкоза. Крахмал, синтезируемый разными растениями под действием света (фотосинтез) имеет несколько различных составов и структуру зёрен.
Амилоза (от греч. ámylon — крахмал) — один из основных полисахаридов крахмала, состоящий из линейных или слаборазветвлённых цепочек молекул глюкозы, соединённых связями между 1-м и 4-м углеродными атомами.
Ами́лопекти́н (от греч. ámylon — крахмал, pēktes — сбитый, сплочённый) — один из основных полисахаридов крахмала, состоящий из разветвленных цепочек молекул глюкозы, соединённых связями как между 1-м и 4-м, так и 1-м и 6-м углеродными атомами.
Декстри́н — полисахарид, получаемый термической обработкой картофельного или кукурузного крахмала. Образуется из крахмала в ротовой полости человека под действием α-амилаз.
5.3 Пектиновые вещества. Эфиры целлюлозы метил-, карбоксиметил- и натрийкарбоксиэтилцеллюлоза). Растительные камеди
Пекти́новые вещества́ (от греч. pektos — свернувшийся, замёрзший) — полисахариды, образованные остатками главным образом галактуроновой кислоты. Присутствуют во всех наземных растениях (особенно много в плодах) и в некоторых водорослях. Способствуют поддержанию в тканях тургор, повышают засухоустойчивость растений, устойчивость овощей и плодов при хранении. Используются в пищевой и фармацевтической промышленности как студнеобразующие вещества. Получают пектиновые вещества из яблочных выжимок, жома сахарной свёклы и т. п.
Эфиры целлюлозы, производные целлюлозы общей формулы [C6H7O2(OH)3-х(OR)х]n, где n - степень полимеризации; x - число групп ОН, замещенных в одном звене макромолекулы целлюлозы (степень замещения - СЗ); R - алкил, ацил или остаток минер, кислоты. Каждое звено макромолекулы содержит 3 группы ОН, которые способны вступать в реакции с образованием простых и сложных эфиров; в случае смешанных эфиры целлюлозы э. замещающие радикалы различны.
Наиболее распространены эфиры целлюлозы э.: простые - карбоксиметилцеллюлоза, метилцеллюлоза, этилцеллюлоза, а также метилгидроксипропилцеллюлоза, оксипропилцеллюлоза, цианэтилцеллюлоза; сложные - целлюлозы ацетаты, целлюлозы нитраты, а также ацетилфталилцеллюлоза, ацетопропионаты, ацетобутираты и сульфаты целлюлозы. Упомянутые эфиры целлюлозы э. производят во многие странах десятками и сотнями тысяч т в год.
Св-ва эфиров целлюлозы э. зависят главным образом от числа и, СЗ и типа заместителя R. Так, степень полимеризации (в среднем 150-500) значительно влияет преимущественно на прочностные и вязкостные свойства эфиры целлюлозы э., обеспечивая их пригодность для переработки. СЗ определяет их физических-механические и химический свойства. Средняя СЗ лежит в пределах 0-3; однако чаще СЗ рассчитывают не на одно, а на 100 элементарных звеньев макромолекул целлюлозы и обозначают (например, для триацетилцеллюлозы= 280-290). Регулируют СЗ изменением условий синтеза: концентрации алкилирующего или этерифицирующего агента, температуры, продолжительности и др.
Растворимость эфиры целлюлозы э. зависит от содержания и соотношения заместителей и свободный групп ОН. Например, ацетат целлюлозы, имеющий СЗ 0,5-0,8 и 1,5-1,8, раств. соответственно в воде и смеси ацетон - вода (7:3); ацетат целлюлозы со СЗ 2,2-2,6 растворим в ацетоне и метилцеллозольве, со СЗ > 2,6 - в метиленхлориде и смеси метиленхлорид - этанол (9:1). При увеличении длины цепи алкильного радикала гидрофобность эфиры целлюлозы э. повышается и они способны растворим в неполярных растворителях (например, бутил- и пропилцеллюлоза уже нерастворимы в воде и растворим в органических растворителях). Вообще растворимость эфиры целлюлозы э. в органических растворителях возрастает с повышением температуры и уменьшается с увеличением молекулярной массы.
С увеличением в заместителе числа атомов С для всех эфиры целлюлозы э. уменьшаются влагопоглощение, температуры размягчения и плавления. Сложные эфиры термически нестабильны и обладают низкой химический стойкостью к действию кислот и щелочей. Простые эфиры устойчивы в кислотах и щелочах и выдерживают нагревание до сравнительно высоких температур, не разлагаясь и не выделяя свободный кислот, вызывающих коррозию металлов. Сложные и некоторые простые эфиры целлюлозы э.- хорошие диэлектрики.
Для производства эфиры целлюлозы э. используют облагороженную хлопковую и древесную (сульфатную и сульфитную) целлюлозу. Выбор ее вида определяется областью применения того или иного эфира. Для повышения скорости и равномерности О-алкилирования и однородности эфиры целлюлозы э. независимо от способа их получения исходную целлюлозу обязательно предварительно активируют. В производстве простых эфиров целлюлозу обрабатывают раствором NaOH, в результате чего она набухает и приобретает повышенную реакционную способность (щелочная целлюлоза) вследствие облегчения диффузии компонентов этерифицирующей смеси внутрь материала. В производстве сложных эфиров целлюлозу обрабатывают уксусной или др. кислотой при повышенной температуре в парах либо растворами этих кислот. Обычно, чем выше температура активации, тем меньше ее продолжительность.
Простые эфиры целлюлозы э. получают в автоклавах при повышенной температуре взаимодействие щелочной целлюлозы с алкилхлоридами и (или) 3-и 4-членными гетероциклический соединение, напр, этилен- и пропиленоксидами, сультонами (пром. способы), диалкилсульфатами (лабораторная способ), непредельными соединение с двойными связями (например, акрилонитрил, акриламид). Так, О-алкилированием щелочной целлюлозы монохлоруксусной кислотой получают Na-соль карбоксиметилцеллюлозы, диэтиламиноэтилхлоридом -диэтиламиноэтилцеллюлозу, акрилонитрилом - цианэтилцеллюлозу, этилен- и пропиленоксидами - гидроксиэтил- и гидроксипропилцеллюлозы. Образование простых эфиров катализируется основаниями и всегда сопровождается побочными реакциями.
Сложные эфиры целлюлозы э. в промышлености получают:
1. Этерификацией целлюлозы кислородсодержащими не-органическое и карбоновыми (например, НСООН) кислотами. Этим способом получают нитраты, сульфаты и формиаты целлюлозы. Этерификация ее Н3РО4 в смеси с мочевиной дает фосфаты целлюлозы. Вследствие обратимости реакции применяют конц. кислоты и водоотнимающие добавки.
















