183613 (566994)
Текст из файла
Министерство образования и науки Российской Федерации
Отчет
по лабораторной работе № 1
«Показатели качества элементарных звеньев»
Вариант-2
Преподаватель
Студент гр.
Екатеринбург, 2008
Вид звена:
1. Безынерционное звено
2. Апериодическое звено (Инерционное звено)
3. Реальное дифференцирующее звено
4. Колебательное звено
5. Интегрирующее звено
6. Неустойчивое звено первого порядка
7. Неустойчивое звено второго порядка
8. Интегро-диффиренцирующее звено
Установочные данные:
| K | 1; 6 |
| T | 0,5; 5 |
| ξ | 1,1 |
| 0,6 | |
| 0,1 | |
| 0 | |
| -0,1 |
Вычисление показателей качества:
Безынерционное звено
Уравнение динамики ->
Передаточная функция W(s) ->
a) k=1
Рис.1.а. Безынерционное звено (при k=1)
Значение показателей качества:
Время регулирования:
0
Перерегулирование:
0
Время нарастания [tн – время достижения в первый раз установившегося значения]: 0
Количество колебаний N за время регулирования tр:0
Статическая точность, установившаяся ошибка: 0
б) k=6
Рис.1.b. Безынерционное звено (при k=6)
Значение показателей качества:
Время регулирования:
0
Перерегулирование:
0
Время нарастания [tн – время достижения в первый раз установившегося значения]: 0
Количество колебаний N за время регулирования tр: 0
Статическая точность, установившаяся ошибка: 5
Апериодическое звено (Инерционное звено)
Уравнение динамики ->
Передаточная функция W(s) ->
a) k=1, T=0.5
Рис.2.а. Апериодическое звено (при k=1, T=0.5)
Значение показателей качества:
Время регулирования:
1.5
Перерегулирование:
0
Время нарастания tн – время достижения в первый раз установившегося значения: 1.5
Количество колебаний N за время регулирования tр: 0
Статическая точность, установившаяся ошибка: 0.5
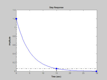
б) k=6, T=5
Рис.2.b. Апериодическое звено (при k=6, T=5)
Значение показателей качества:
Время регулирования:
15
Перерегулирование:
0
Время нарастания tн – время достижения в первый раз установившегося значения: 15
Количество колебаний N за время регулирования tр: 0
Статическая точность, установившаяся ошибка: 5
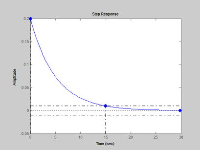
с) k=6, T=0.5
Рис.2.с. Апериодическое звено (при k=6, T=0.5)
Значение показателей качества:
Время регулирования:
1.5
Перерегулирование:
0
Время нарастания tн – время достижения в первый раз установившегося значения: 1.5
Количество колебаний N за время регулирования tр: 0
Статическая точность, установившаяся ошибка: 5
d) k=1, T=5
Рис.2.d. Апериодическое звено (при k=6, T=0.5)
Значение показателей качества:
Время регулирования:
15
Перерегулирование:
0
Время нарастания tн – время достижения в первый раз установившегося значения: 15
Количество колебаний N за время регулирования tр: 0
Статическая точность, установившаяся ошибка: 0
3 .Реальное дифференцирующее звено
Уравнение динамики ->
Передаточная функция W(s) ->
a) k=1, T=0.5
Рис.3.a. Реально дифференцирующее звено (при k=1, T=0.5)
Значение показателей качества:
Время регулирования:
1.5
Перерегулирование:
lnf
Время нарастания tн – время достижения в первый раз установившегося значения: 1.5
Количество колебаний N за время регулирования tр: 0
Статическая точность, установившаяся ошибка: -1
b) k=1, T=5
Рис.3.b. Реально дифференцирующее звено (при k=1, T=5)
Значение показателей качества:
Время регулирования:
1.5
Перерегулирование:
-7.21e+017
Время нарастания tн – время достижения в первый раз установившегося значения: 15
Количество колебаний N за время регулирования tр: 0
Статическая точность, установившаяся ошибка: (-2.78e-017)-1
c) k=6, T=0.5
Рис.3.c. Реально дифференцирующее звено (при k=6, T=0.5)
Значение показателей качества:
Время регулирования:
1.5
Перерегулирование:
lnf
Время нарастания tн – время достижения в первый раз установившегося значения: 1.5
Количество колебаний N за время регулирования tр: 0
Статическая точность, установившаяся ошибка: -1
d) k=6, T=5
Рис.3.d. Реально дифференцирующее звено (при k=6, T=5)
Значение показателей качества:
Время регулирования:
15
Перерегулирование:
lnf
Время нарастания tн – время достижения в первый раз установившегося значения: 15
Количество колебаний N за время регулирования tр: 0
Статическая точность, установившаяся ошибка: -1
4. Колебательное звено:
Уравнение динамики ->
Передаточная функция W(s) ->
a) k=1, T=0.5,
Значение показателей качества
Время регулирования:
2.75
Рис.4.a. Колебательное звено (при k=1, T=0.5
)
Перерегулирование:
0
Время нарастания tн – время достижения в первый раз установившегося значения: 2.75
Количество колебаний N за время регулирования tр: 0
Статическая точность, установившаяся ошибка: 0
b) k=1, T=0.5,
Значение показателей качества
Время регулирования:
2.61
Рис.4.b. Колебательное звено (при k=1, T=0.5,
)
Перерегулирование:
9.47
Время нарастания tн – время достижения в первый раз установившегося значения: 1.27
Количество колебаний N за время регулирования tр: 0
Статическая точность, установившаяся ошибка: 0
c) k=1, T=0.5,
Значение показателей качества
Время регулирования:
14.5
Рис.4.c. Колебательное звено (при k=1, T=0.5,
)
Перерегулирование:
72.9
Время нарастания tн – время достижения в первый раз установившегося значения: 0.81
Количество колебаний N за время регулирования tр: 4
Статическая точность, установившаяся ошибка: 0
d) k=1, T=0.5,
Значение показателей качества
Время регулирования:
>25
Перерегулирование:
100
Рис.4.d. Колебательное звено (при k=1, T=0.5,
)
Время нарастания tн – время достижения в первый раз установившегося значения: 0.761
Количество колебаний N за время регулирования tр:
Установившийся режим не наступает
Статическая точность, установившаяся ошибка: 0
e) k=1, T=0.5,
Значение показателей качества
Время регулирования:
>12
Рис.4.e. Колебательное звено (при k=1, T=0.5,
)
Перерегулирование:
912
Время нарастания tн – время достижения в первый раз установившегося значения: 0.717
Количество колебаний N за время регулирования tр:
Установившийся режим не наступает
Статическая точность, установившаяся ошибка: 0
f) k=1, T=5,
Значение показателей качества
Время регулирования:
27.5
Рис.4.f. Колебательное звено (при k=1, T=5,
)
Перерегулирование:
0
Время нарастания tн – время достижения в первый раз установившегося значения: 27.5
Количество колебаний N за время регулирования tр: 0
Статическая точность, установившаяся ошибка: 0
g) k=1, T=5,
Значение показателей качества
Время регулирования:
26.1
Рис.4.g. Колебательное звено (при k=1, T=5,
)
Перерегулирование:
9.47
Время нарастания tн – время достижения в первый раз установившегося значения: 12.7
Количество колебаний N за время регулирования tр: 0
Статическая точность, установившаяся ошибка: 0
h) k=1, T=5,
Значение показателей качества
Время регулирования:
145
Перерегулирование:
72.9
Рис.4.h. Колебательное звено (при k=1, T=5,
)
Время нарастания tн – время достижения в первый раз установившегося значения: 8.1
Количество колебаний N за время регулирования tр: 4
Статическая точность, установившаяся ошибка: 0
i) k=1, T=5,
Значение показателей качества
Время регулирования:
>70
Рис.4.h. Колебательное звено (при k=1, T=5,
)
Перерегулирование:
100
Время нарастания tн – время достижения в первый раз установившегося значения: 7.6
Количество колебаний N за время регулирования tр:
Установившийся режим не наступает
Статическая точность, установившаяся ошибка: 0
j) k=1, T=5,
Значение показателей качества
Время регулирования:
>120
Рис.4.j. Колебательное звено (при k=1, T=5,
)
Перерегулирование:
912
Время нарастания tн – время достижения в первый раз установившегося значения: 7.17
Количество колебаний N за время регулирования tр: Установившийся режим не наступает
Статическая точность, установившаяся ошибка: 0
k) k=6, T=0.5,
Значение показателей качества
Время регулирования:
2.75
Рис.4.k. Колебательное звено (при k=6, T=0.5,
)
Перерегулирование:
0
Время нарастания tн – время достижения в первый раз установившегося значения: 2.75
Количество колебаний N за время регулирования tр: 0
Статическая точность, установившаяся ошибка: 5
l) k=6, T=0.5,
Значение показателей качества
Время регулирования:
Характеристики
Тип файла документ
Документы такого типа открываются такими программами, как Microsoft Office Word на компьютерах Windows, Apple Pages на компьютерах Mac, Open Office - бесплатная альтернатива на различных платформах, в том числе Linux. Наиболее простым и современным решением будут Google документы, так как открываются онлайн без скачивания прямо в браузере на любой платформе. Существуют российские качественные аналоги, например от Яндекса.
Будьте внимательны на мобильных устройствах, так как там используются упрощённый функционал даже в официальном приложении от Microsoft, поэтому для просмотра скачивайте PDF-версию. А если нужно редактировать файл, то используйте оригинальный файл.
Файлы такого типа обычно разбиты на страницы, а текст может быть форматированным (жирный, курсив, выбор шрифта, таблицы и т.п.), а также в него можно добавлять изображения. Формат идеально подходит для рефератов, докладов и РПЗ курсовых проектов, которые необходимо распечатать. Кстати перед печатью также сохраняйте файл в PDF, так как принтер может начудить со шрифтами.















