183613 (566994), страница 2
Текст из файла (страница 2)
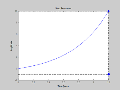
2.61
Перерегулирование:
9.47
Время нарастания tн – время достижения в первый раз установившегося значения: 1.27
Количество колебаний N за время регулирования tр:0
Статическая точность, установившаяся ошибка: 5
Рис.4.l. Колебательное звено (при k=6, T=0.5,
)
m) k=6, T=0.5,
Рис.4.m. Колебательное звено (при k=6, T=0.5,
)
Значение показателей качества
Время регулирования:
14.5
Перерегулирование:
72.9
Время нарастания tн – время достижения в первый раз установившегося значения: 0.81
Количество колебаний N за время регулирования tр: 4
Статическая точность, установившаяся ошибка: 5
n) k=6, T=0.5,
Рис.4.n. Колебательное звено (при k=6, T=0.5,
)
Значение показателей качества
Время регулирования:
>25
Перерегулирование:
100
Время нарастания tн – время достижения в первый раз установившегося значения: 0.761
Количество колебаний N за время регулирования tр:
Установившийся режим не наступает
Статическая точность, установившаяся ошибка: 5
o) k=6, T=0.5,
Рис.4.o. Колебательное звено (при k=6, T=0.5,
)
Значение показателей качества
Время регулирования:
>12
Перерегулирование:
912
Время нарастания tн – время достижения в первый раз установившегося значения: 0.717
Количество колебаний N за время регулирования tр:
Установившийся режим не наступает
Статическая точность, установившаяся ошибка: 5
p) k=6, T=5,
Рис.4.p. Колебательное звено (при k=6, T=5,
)
Значение показателей качества
Время регулирования:
27.5
Перерегулирование:
0
Время нарастания tн – время достижения в первый раз установившегося значения: 27.5
Количество колебаний N за время регулирования tр: 0
Статическая точность, установившаяся ошибка: 5
q) k=6, T=5,
Рис.4.q. Колебательное звено (при k=6, T=5,
)
Значение показателей качества
Время регулирования:
26.1
Перерегулирование:
9.47
Время нарастания tн – время достижения в первый раз установившегося значения: 12.7
Количество колебаний N за время регулирования tр: 0
Статическая точность, установившаяся ошибка: 5
r) k=6, T=5,
Рис.4.r. Колебательное звено (при k=6, T=5,
)
Значение показателей качества
Время регулирования:
145
Перерегулирование:
72.9
Время нарастания tн – время достижения в первый раз установившегося значения: 12.7
Количество колебаний N за время регулирования tр: 4
Статическая точность, установившаяся ошибка: 5
s) k=6, T=5,
Рис.4.s. Колебательное звено (при k=6, T=5,
)
Значение показателей качества
Время регулирования:
>70
Перерегулирование:
100
Время нарастания tн – время достижения в первый раз установившегося значения: 7.6
Количество колебаний N за время регулирования tр:
Установившийся режим не наступает
Статическая точность, установившаяся ошибка: 5
t) k=6, T=5,
Рис.4.t. Колебательное звено (при k=6, T=5,
)
Значение показателей качества
Время регулирования:
>120
Перерегулирование:
912
Время нарастания tн – время достижения в первый раз установившегося значения: 7.17
Количество колебаний N за время регулирования tр:
Установившийся режим не наступает
Статическая точность, установившаяся ошибка: 5
Интегрирующее звено
Уравнение динамики ->
Передаточная функция W(s) ->
a) k=1
Рис.5.a. Интегрирующее звено (при k=1)
Значение показателей качества:
Время регулирования:
0
Перерегулирование:
Lnf(unstable)
Время нарастания tн – время достижения в первый раз установившегося значения: 0
Количество колебаний N за время регулирования tр: 0
Статическая точность, установившаяся ошибка: 0
b) k=6
Рис.5.b. Интегрирующее звено (при k=6)
Значение показателей качества:
Время регулирования:
0
Перерегулирование:
Lnf(unstable)
Время нарастания tн – время достижения в первый раз установившегося значения: 0
Количество колебаний N за время регулирования tр:0
Статическая точность, установившаяся ошибка: 0
Неустойчивое звено первого порядка
Уравнение динамики ->
Передаточная функция W(s) ->
a) k=1, T=0.5
Рис.6.a. Неустойчивое звено первого порядка (при k=1, T=0.5)
Значение показателей качества:
Время регулирования:
>1.2
Перерегулирование:
-1.1e+003
Время нарастания tн – время достижения в первый раз установившегося значения: >1.2
Количество колебаний N за время регулирования tр: 0
Статическая точность, установившаяся ошибка: -2
b) k=1, T=5
Рис.6.b. Неустойчивое звено первого порядка (при k=1, T=5)
Значение показателей качества:
Время регулирования:
>12
Перерегулирование:
-1.1e+003
Время нарастания tн – время достижения в первый раз установившегося значения: >12
Количество колебаний N за время регулирования tр: 0
Статическая точность, установившаяся ошибка: -2
c) k=6, T=0.5
Рис.6.c. Неустойчивое звено первого порядка (при k=6, T=0.5)
Значение показателей качества:
Время регулирования:
>1.2
Перерегулирование:
-1.1e+003
Время нарастания tн – время достижения в первый раз установившегося значения: >1.2
Количество колебаний N за время регулирования tр: 0
Статическая точность, установившаяся ошибка: -7
d) k=6, T=5
Рис.6.d. Неустойчивое звено первого порядка (при k=6, T=5)
Значение показателей качества:
Время регулирования:
>12
Перерегулирование:
-1.1e+003
Время нарастания tн – время достижения в первый раз установившегося значения: >12
Количество колебаний N за время регулирования tр: 0
Статическая точность, установившаяся ошибка: -7
Неустойчивое звено второго порядка
Уравнение динамики ->
Передаточная функция W(s) ->
a) k=1, T=0.5,
Рис.7.a. Неустойчивое звено второго порядка (при k=1, T=0.5
)
Значение показателей качества
Время регулирования:
0.475
Перерегулирование:
368
Время нарастания tн – время достижения в первый раз установившегося значения: 0.475
Количество колебаний N за время регулирования tр: 0
Статическая точность, установившаяся ошибка: 0
b) k=1, T=0.5,
Рис.7.b. Неустойчивое звено второго порядка (при k=1, T=0.5,
)
Значение показателей качества
Время регулирования:
2.61
Перерегулирование:
1.05e+003
Время нарастания tн – время достижения в первый раз установившегося значения: 0.567
Количество колебаний N за время регулирования tр: 0
Статическая точность, установившаяся ошибка: 0
c) k=1, T=0.5,
Рис.7.c. Неустойчивое звено второго порядка (при k=1, T=0.5,
)
Значение показателей качества
Время регулирования:
>12
Перерегулирование:
912
Время нарастания tн – время достижения в первый раз установившегося значения: 0.717
Количество колебаний N за время регулирования tр:
Установившийся режим не наступает.
Статическая точность, установившаяся ошибка:0
d) k=1, T=0.5,
Рис.7.d. Неустойчивое звено второго порядка (при k=1, T=0.5,
)
Значение показателей качества
Время регулирования:
>25
Перерегулирование:
100
Время нарастания tн – время достижения в первый раз установившегося значения: 0.761
Количество колебаний N за время регулирования tр:
Установившийся режим не наступает.
Статическая точность, установившаяся ошибка: 0
e) k=1, T=0.5,
Рис.7.e. Неустойчивое звено второго порядка (при k=1, T=0.5,
)
Значение показателей качества
Время регулирования:
14.5
Перерегулирование:
72.9
Время нарастания tн – время достижения в первый раз установившегося значения: 0.81
Количество колебаний N за время регулирования tр: 4
Статическая точность, установившаяся ошибка: 0
f) k=1, T=5,
Рис.7.f. Неустойчивое звено второго порядка (при k=1, T=5,
)
Значение показателей качества
Время регулирования:
>8
Перерегулирование:
368
Время нарастания tн – время достижения в первый раз установившегося значения: 4.75
Количество колебаний N за время регулирования tр:
Установившийся режим не наступает.
Статическая точность, установившаяся ошибка: 0
g) k=1, T=5,
Рис.7.g. Неустойчивое звено второго порядка (при k=1, T=5,
)
Значение показателей качества
Время регулирования:
>20
Перерегулирование:
1.05e+003
Время нарастания tн – время достижения в первый раз установившегося значения: 5.67
Количество колебаний N за время регулирования tр:
Установившийся режим не наступает.
Статическая точность, установившаяся ошибка: 0
h) k=1, T=5,
Рис.7.h. Неустойчивое звено второго порядка (при k=1, T=5,
)
Значение показателей качества
Время регулирования:
>120
Перерегулирование:
912
Время нарастания tн – время достижения в первый раз установившегося значения: 7.17
Количество колебаний N за время регулирования tр:
Установившийся режим не наступает.
Статическая точность, установившаяся ошибка: 0
i) k=1, T=5,
Рис.7.i. Неустойчивое звено второго порядка (при k=1, T=5,
)
Значение показателей качества
Время регулирования:
>70
Перерегулирование:
100















