183613 (566994), страница 3
Текст из файла (страница 3)
Время нарастания tн – время достижения в первый раз установившегося значения: 7.6
Количество колебаний N за время регулирования tр:
Установившийся режим не наступает.
Статическая точность, установившаяся ошибка: 0
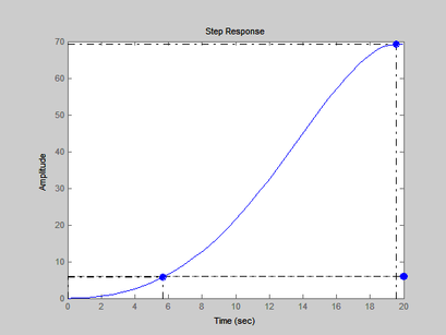
j) k=1, T=5,
Рис.7.j. Неустойчивое звено второго порядка (при k=1, T=5,
)
Значение показателей качества
Время регулирования:
145
Перерегулирование:
72.9
Время нарастания tн – время достижения в первый раз установившегося значения: 8.1
Количество колебаний N за время регулирования tр: 4
Статическая точность, установившаяся ошибка: 0
k) k=6, T=0.5,
Рис.7.k. Неустойчивое звено второго порядка (при k=6, T=0.5,
)
Значение показателей качества
Время регулирования:
>0.8
Перерегулирование:
368
Время нарастания tн – время достижения в первый раз установившегося значения: 0.475
Количество колебаний N за время регулирования tр:
Установившийся режим не наступает.
Статическая точность, установившаяся ошибка:5
l) k=6, T=0.5,
Рис.7.l. Неустойчивое звено второго порядка звено (при k=6, T=0.5,
)
Значение показателей качества
Время регулирования:
>2
Перерегулирование:
1.05e+003
Время нарастания tн – время достижения в первый раз установившегося значения: 0.567
Количество колебаний N за время регулирования tр:
Установившийся режим не наступает.
Статическая точность, установившаяся ошибка: 5
m) k=6, T=0.5,
Рис.7.m. Неустойчивое звено второго порядка (при k=6, T=0.5,
)
Значение показателей качества
Время регулирования:
>12
Перерегулирование:
912
Время нарастания tн – время достижения в первый раз установившегося значения: 0.717
Количество колебаний N за время регулирования tр:
Установившийся режим не наступает.
Статическая точность, установившаяся ошибка: 5
n) k=6, T=0.5,
Рис.7.n. Неустойчивое звено второго порядка (при k=6, T=0.5,
)
Значение показателей качества
Время регулирования:
>25
Перерегулирование:
100
Время нарастания tн – время достижения в первый раз установившегося значения: 0.761
Количество колебаний N за время регулирования tр:
Установившийся режим не наступает.
Статическая точность, установившаяся ошибка: 5
o) k=6, T=0.5,
Рис.7.o. Неустойчивое звено второго порядка (при k=6, T=0.5,
)
Значение показателей качества
Время регулирования:
14.5
Перерегулирование:
72.9
Время нарастания tн – время достижения в первый раз установившегося значения: 0.81
Количество колебаний N за время регулирования tр: 4
Статическая точность, установившаяся ошибка: 5
p) k=6, T=5,
Рис.7.p. Неустойчивое звено второго порядка (при k=6, T=5,
)
Значение показателей качества
Время регулирования:
>8
Перерегулирование:
368
Время нарастания tн – время достижения в первый раз установившегося значения: 4.75
Количество колебаний N за время регулирования tр:
Установившийся режим не наступает.
Статическая точность, установившаяся ошибка: 5
q) k=6, T=5,
Рис.7.q. Неустойчивое звено второго порядка (при k=6, T=5,
)
Значение показателей качества
Время регулирования:
>20
Перерегулирование:
1.05e+003
Время нарастания tн – время достижения в первый раз установившегося значения: 5.67
Количество колебаний N за время регулирования tр:
Установившийся режим не наступает.
Статическая точность, установившаяся ошибка: 5
r) k=6, T=5,
Рис.7.r. Неустойчивое звено второго порядка (при k=6, T=5,
)
Значение показателей качества
Время регулирования:
>120
Перерегулирование:
912
Время нарастания tн – время достижения в первый раз установившегося значения: 7.17
Количество колебаний N за время регулирования tр:
Установившийся режим не наступает.
Статическая точность, установившаяся ошибка: 5
s) k=6, T=5,
Рис.7.s. Неустойчивое звено второго порядка (при k=6, T=5,
)
Значение показателей качества
Время регулирования:
>70
Перерегулирование:
100
Время нарастания tн – время достижения в первый раз установившегося значения: 7.6
Количество колебаний N за время регулирования tр:
Установившийся режим не наступает.
Статическая точность, установившаяся ошибка: 5
t) k=6, T=5,
Рис.7.t. Неустойчивое звено второго порядка (при k=6, T=5,
)
Значение показателей качества
Время регулирования:
145
Перерегулирование:
72.9
Время нарастания tн – время достижения в первый раз установившегося значения: 8.1
Количество колебаний N за время регулирования tр: 4
Статическая точность, установившаяся ошибка: 5
Интегро-диффиренцирующее
Уравнение динамики ->
Передаточная функция W(s) ->
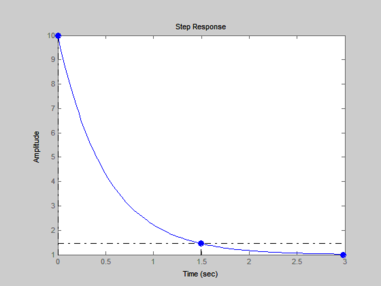
a) T1=0.5; T2=5; k=1
Рис.8.a. Неустойчивое звено второго порядка (при T1=0.5; T2=5; k=1)
Значение показателей качества:
Время регулирования:
1.5
Перерегулирование:
900
Время нарастания tн – время достижения в первый раз установившегося значения: 1.5
Количество колебаний N за время регулирования tр: 0
Статическая точность, установившаяся ошибка: 0
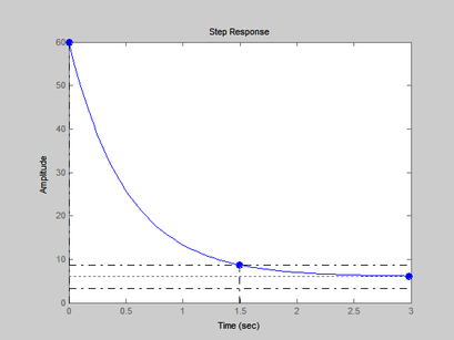
b) T1=0.5; T2=5; k=6
Рис.8.b. Неустойчивое звено второго порядка (при T1=0.5; T2=5; k=6)
Значение показателей качества:
Время регулирования:
1.5
Перерегулирование:
900
Время нарастания tн – время достижения в первый раз установившегося значения: 1.5
Количество колебаний N за время регулирования tр: 0
Статическая точность, установившаяся ошибка: 5
c) T1=5; T2=0.5; k=1
Рис.8.c. Неустойчивое звено второго порядка (при T1=5; T2=0.5; k=1)
Значение показателей качества:
Время регулирования:
15
Перерегулирование:
0
Время нарастания tн – время достижения в первый раз установившегося значения: 15
Количество колебаний N за время регулирования tр: 0
Статическая точность, установившаяся ошибка: 0
d) T1=5; T2=0.5; k=6
Рис.8.d. Неустойчивое звено второго порядка (при T1=5; T2=0.5; k=6)
Значение показателей качества:
Время регулирования:
15
Перерегулирование:
0
Время нарастания tн – время достижения в первый раз установившегося значения: 15
Количество колебаний N за время регулирования tр: 0
Статическая точность, установившаяся ошибка: 5
Итоговая таблица:
| Значения коэффициентов\показатели качества | Время регулирования, tp (сек) | Перерегулирование, σ (%) | Время нарастания, tн (сек) | Количество колебаний N за время регулирования tр | Установившаяся ошибка |
| Безынерционное звено | |||||
| k=1 | 0 | 0 | 0 | 0 | 0 |
| k=6 | 0 | 0 | 0 | 0 | 5 |
| Вывод: С увеличением коэффициента передачи (k) возрастает установившаяся ошибка. | |||||
| Апериодическое звено (Инерционное звено) | |||||
| k=1, T=0.5 | 1.5 | 0 | 1.5 | 0 | 0.5 |
| k=1, T=5 | 15 | 0 | 15 | 0 | 0 |
| k=6, T=0.5 | 1.5 | 0 | 1.5 | 0 | 5 |
| k=6, T=5 | 15 | 0 | 15 | 0 | 5 |
| Вывод: С увеличением коэффициента передачи (k) увеличивается установившаяся ошибка. С ростом постоянной времени (Т) возрастает время регулирования, время нарастания. | |||||
| Реальное дифференцирующее звено | |||||
| k=1, T=0.5 | 1.5 | 1.5 | 0 | -1 | |
| k=1, T=5 | 1.5 | (-7.21e+017) | 15 | 0 | (-2.78e-017)-1 |
| k=6, T=0.5 | 1.5 | 1.5 | 0 | -1 | |
| k=6, T=5 | 15 | 15 | 0 | -1 | |
| Вывод: Увеличение коэффициента передачи (k) и постоянной времени влияет на: 1. время регулирования (при k=1 и k=6 при Т=0.5 – остается неизменным; при k=1 и k=6 при Т=5 – увеличивается). 2. время нарастания (при k=1 и k=6 при Т=0.5 – остается неизменным; при k=1 и k=6 при Т=5 – не изменяется). 3. перерегулирование изменяется при увеличение постоянной времени. 4. установившаяся ошибка постоянна, за исключением значений k=1 и Т=5. | |||||
| Колебательное звено | |||||
| k=1, T=0.5 | 2.75 | 0 | 2.75 | 0 | 0 |
| k=1, T=0.5 | 2.61 | 947 | 1.27 | 0 | 0 |
| k=1, T=0.5 | 14.5 | 72.9 | 0.81 | 4 | 0 |
| k=1, T=0.5 | >25 | 100 | 0.761 | ∞ | 0 |
| k=1, T=0.5 | >12 | 912 | 0.717 | ∞ | 0 |
| k=1, T=5 | 27.5 | 0 | 27.5 | 0 | 0 |
| k=1, T=5 | 26.1 | 9.47 | 12.7 | 0 | 0 |
| k=1, T=5 | 145 | 72.9 | 8.1 | 4 | 0 |
| k=1, T=5 | >70 | 100 | 7.6 | ∞ | 0 |
| k=1, T=5 | >120 | 912 | 7.17 | ∞ | 0 |
| k=6, T=0.5 | 2.75 | 0 | 2.75 | 0 | 5 |
| k=6, T=0.5 | 2.61 | 9.47 | 1.27 | 0 | 5 |
| k=6, T=0.5 | 14.5 | 72.9 | 0.81 | 4 | 5 |
| k=6, T=0.5 | >25 | 100 | 0.761 | ∞ | 5 |
| k=6, T=0.5 | >12 | 912 | 0.717 | ∞ | 5 |
| k=6, T=5 | 27.5 | 0 | 27.5 | 0 | 5 |
| k=6, T=5 | 26.1 | 9.47 | 12.7 | 0 | 5 |
| k=6, T=5 | 145 | 72.9 | 12.7 | 4 | 5 |
| k=6, T=5 | >70 | 100 | 7.6 | ∞ | 5 |
| k=6, T=5 | >120 | 912 | 7.17 | ∞ | 5 |
| Вывод: В случае, когда k=1, Т=0.5, а k=1, Т=5, а k=6, T=0.5 и k=6, T=5 и При увеличении коэффициента передачи увеличивается установившаяся ошибка, время нарастания и перерегулирование остается неизменным. При увеличении постоянной времени увеличивается время нарастания, время регулирования, колебания остаются неизменными. | |||||
| Интегрирующее звено | |||||
| k=1 | 0 | Lnf(unstable) | 0 | 0 | 0 |
| k=6 | 0 | Lnf(unstable) | 0 | 0 | 0 |
| Вывод: При увеличении коэффициента передачи все значения показателей качества остаются неизменными. | |||||
| Неустойчивое звено первого порядка | |||||
| k=1, T=0.5 | >1.2 | -1.1e+003 | >1.2 | 0 | -2 |
| k=1, T=5 | >12 | -1.1e+003 | >12 | 0 | -2 |
| k=6, T=0.5 | >1.2 | -1.1e+003 | >1.2 | 0 | -7 |
| k=6, T=5 | >12 | -1.1e+003 | >12 | 0 | -7 |
| Вывод: При увеличении постоянной времени (Т) увеличивается время регулирования, время нарастания и перерегулирование остается постоянным. Увеличение коэффициента передачи влияет на количество колебаний пропорционально, остальные показатели качества остаются неизменными. | |||||
| Неустойчивое звено второго порядка | |||||
| k=1, T=0.5 | 0.475 | 368 | 0.475 | 0 | 0 |
| k=1, T=0.5 | 2.61 | 1.05e+003 | 0.567 | 0 | 0 |
| k=1, T=0.5 | >12 | 912 | 0.717 | ∞ | 0 |
| k=1, T=0.5 | >25 | 100 | 0.761 | ∞ | 0 |
| k=1, T=0.5 | 14.5 | 72.9 | 0.81 | 4 | 0 |
| k=1, T=5 | >8 | 368 | 4.75 | ∞ | 0 |
| k=1, T=5 | >20 | 1.05e+003 | 5.67 | ∞ | 0 |
| k=1, T=5 | >120 | 912 | 7.17 | ∞ | 0 |
| k=1, T=5 | >70 | 100 | 7.6 | ∞ | 0 |
| k=1, T=5 | 145 | 72.9 | 8.1 | 4 | 0 |
| k=6, T=0.5 | >0.8 | 368 | 0.475 | ∞ | 5 |
| k=6, T=0.5 | >2 | 1.05e+003 | 0.567 | ∞ | 5 |
| k=6, T=0.5 | >12 | 912 | 0.717 | ∞ | 5 |
| k=6, T=0.5 | >25 | 100 | 0.761 | ∞ | 5 |
| k=6, T=0.5 | 14.5 | 72.9 | 0.81 | 4 | 5 |
| k=6, T=5 | >8 | 368 | 4.75 | ∞ | 5 |
| k=6, T=5 | >20 | 1.05e+003 | 5.67 | ∞ | 5 |
| k=6, T=5 | >120 | 912 | 7.17 | ∞ | 5 |
| k=6, T=5 | >70 | 100 | 7.6 | ∞ | 5 |
| k=6, T=5 | 145 | 72.9 | 8.1 | 4 | 5 |
| Вывод: | |||||
| Интегро-диффиренцирующее звено | |||||
| T1=0.5; T2=5; k=1 | 1.5 | 900 | 1.5 | 0 | 0 |
| T1=0.5; T2=5; k=6 | 1.5 | 900 | 1.5 | 0 | 5 |
| T1=5; T2=0.5; k=1 | 15 | 0 | 15 | 0 | 0 |
| T1=5; T2=0.5; k=6 | 15 | 0 | 15 | 0 | 5 |
| Вывод: | |||||















