47276 (566449)
Текст из файла
Кафедра: ИТ
Лабораторная работа
"ИССЛЕДОВАНИЕ ЛИНЕЙНЫХ СИСТЕМ"
-
-
Цель работы
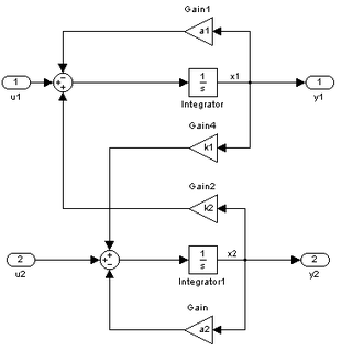
В данной лабораторной работе средствами пакета Matlab (c использованием его расширения – пакета моделирования динамических систем Simulink) должно быть выполнено моделирование линейной системы, зафиксированы процессы, соответствующие элементам матричной весовой и переходной функций и проведено их сравнение с аналитически полученными зависимостями. Структурная схема системы представлена на рис. 1.1, коэффициенты структурной схемы в табл. 1.1. Номер варианта для бригады указывается преподавателем.
1. Расчет матричных весовых и переходных функций
Рис. 1.1. Структурная схема системы
Таблица 1.1 Значения параметров структурной схемы
| Номер варианта | 1 | 2 | 3 | 4 | 5 | 6 | 7 | 8 | 9 | 10 |
| a1 | 0,1 | 0,1 | 3 | 0,3 | 0,4 | 0,8 | 1 | 2 | 2 | 2 |
| a2 | 0.1 | 0,3 | 0,2 | 0,5 | 0,6 | 1,2 | 3 | 3 | 4 | 6 |
| k1 | 0,1 | 0,015 | 0,4 | 5 | 3 | 0,48 | 1,5 | 1 | 4 | 24 |
| k2 | 0,1 | 2 | 1 | 0,03 | 0,08 | 2 | 2 | 6 | 2 | 0,5 |
| Номер варианта | 11 | 12 | 13 | 14 | 15 | 16 | 17 | 18 | 19 | 20 |
| a1 | 3 | 0,8 | 0,9 | 0,9 | 0,9 | 1,2 | 3 | 4 | 4 | 5 |
| a2 | 7 | 0,4 | 0,5 | 0,7 | 0,9 | 1,8 | 2 | 3 | 5 | 6 |
| k1 | 0,5 | 0,5 | 2 | 0,12 | 0,5 | 0,1 | 4 | 2 | 6 | 4 |
| k2 | 42 | 0,24 | 0,025 | 0,25 | 0,02 | 1,6 | 0,5 | 3 | 2 | 5 |
-
Подготовительная часть работы
-
Составить векторно-матричное описание системы.
-
Вычислить передаточную функцию
(матрицу
) с использованием резольвенты матрицы динамики А:
-
где В-матрица входов; С – матрица выходов; I(p) – присоединенная матрица для матрицы А;
– характеристический полином матрицы А (I(p) и
могут быть определены по методу Фаддеева-Леверье).
Найти элементы матричной весовой функции по формуле
,
где
– элемент i‑й строки и j‑го столбца матричной весовой функции, интерпретируемый как реакция i‑й координаты вектора выхода
на дельта-функцию в j‑й координате вектора входа
.
-
Вычислить матричную весовую функцию по формуле
,
где
и
– соответственно k‑й правый и k‑й левый собственные векторы матрицы А. Убедиться в идентичности результатов, полученных в пп. 1.2.2 – 1.2.3.
-
Вычислить элементы матричной переходной функции по формуле
,
где
– элемент i‑й строки и j‑го столбца матричной переходной функции, интерпретируемый как реакция i‑й координаты вектора выхода
на единичную функцию в j‑й координате вектора входа
.
-
Программа работы
В ходе проведения лабораторной работы требуется в среде Matlab подготовить схему моделирования исследуемой системы, провести модельный эксперимент и зафиксировать его результаты.
Изучаемая в данной работе система описана двумя способами: при помощи структурной схемы (см. рис. 1.1) и в виде векторно-матричных уравнений, полученных в ходе подготовки к работе. Поэтому предлагается провести моделирование для двух вариантов описания системы и сравнить его результаты (процессы, соответствующие элементам матричной весовой и переходной функций) с аналитически полученными зависимостями.
Рекомендуется создать две отдельных модели: одну – для получения и фиксации 4 процессов, соответствующих элементам матричной весовой функции, вторую – для 4 процессов, соответствующих элементам матричной переходной функции.
Таким образом, должно быть зафиксировано 8 процессов, причем каждый из них будет представлен в трех вариантах, совмещенных на одном графике (т. к. моделируется система, описанная, во-первых, в виде структурной схемы и, во-вторых, – в векторно-матричной форме, а также, в-третьих, получены аналитические зависимости для
и
).
-
Для проведения моделирования должны быть созданы 5 файлов.
1) Файл-сценарий w_h_init.m, содержащий определения всех необходимых переменных в моделях:
%Файл определениЯ переменных
%
%Параметры моделированиЯ длЯ mdl‑файла
t_end = 1; %максимальный шаг моделированиЯ
h_max = 0.01; %времЯ завершениЯ моделированиЯ
%Параметры исследуемой системы
a1 = 2;
a2 = 3;
k1 = 1;
k2 = 6;
Время моделирования t_end и максимальный шаг моделирования h_max должны быть выбраны такими, чтобы все процессы смогли достигнуть своих установившихся значений, а графики не имели изломов и искажений.
2), 3) Файлы с моделями Simulink w.mdl и h.mdl, предназначенные для расчета и визуализации элементов соответственно весовой и переходной функций (рис. 1.2 и 1.3).
Параметры моделирования следует задать в окне Simulation Parameters, доступном через меню Simulation\Simulation parameters окна, в котором открыт mdl‑файл (рис. 1.4).
Рис. 1.4. Настройка параметров моделирования
Промоделировать систему, описанную в векторно-матричной форме, позволяет блок State-Space раздела Continuous основной библиотеки блоков Simulink. Структурная схема системы также может быть создана на основе блоков этой же библиотеки. Начальные условия следует принять нулевыми. Полученные структуры рекомендуется объединить в подсистемы, выделив все их элементы и выполнив команду Create Subsystem меню Edit или нажав на сочетание клавиш Ctrl+G.
Рис. 1.5. Подсистема «Система в виде структурной схемы»
Рис. 1.6. Подсистема «Система с описанием
в векторно-матричной форме»
При организации источника входного воздействия (единичной или дельта-функции) следует использовать блоки Step и Pulse Generator раздела Sources. Обратите внимание на то, что необходимо подобрать длительность входного импульса, который бы воспринимался системой как дельта-функция (площадь импульса должна быть равна 1), т.е. значение длительности должно быть таким, чтобы его уменьшение уже не приводило к изменению отклика системы.
а б
Рис. 1.7. Настройки блоков:
а – Pulse Generator; б – Step
Графики найденных аналитически временных зависимостей можно получить при помощи блока MATLAB Fcn раздела Function&Tables и источника времени моделирования Clock.
Рис. 1.8. Настройки блока Matlab Fcn, содержащего аналитическое описание элементов матричной весовой функции
Для визуализации процессов, соответствующих элементам матричной весовой и переходной функций, рекомендуется выводить их, а также текущее время моделирования в рабочую область памяти Mаtlab при помощи блоков To Workspace раздела Sinks, а затем строить их графики, используя команды построения графиков функций одной переменной. В этом случае не возникает проблем с переносом полученных результатов в электронную версию отчета по лабораторной работе и имеется возможность соблюсти все необходимые правила оформления графиков.
Рис. 1.9. Настройки блока To Workspace
Вывод графиков может быть продублирован с использованием осциллографов (блоков Scope раздела Sinks).
4), 5) Файлы-сценарии w_stop.m и h_stop.m, предназначенные для построения графиков процессов, соответствующих элементам матричной весовой и переходной функций, в стандартных графических окнах Figure.
%Построение графиков элементов матричной весовой функции (файл w_stop.m)
%
close all
Характеристики
Тип файла документ
Документы такого типа открываются такими программами, как Microsoft Office Word на компьютерах Windows, Apple Pages на компьютерах Mac, Open Office - бесплатная альтернатива на различных платформах, в том числе Linux. Наиболее простым и современным решением будут Google документы, так как открываются онлайн без скачивания прямо в браузере на любой платформе. Существуют российские качественные аналоги, например от Яндекса.
Будьте внимательны на мобильных устройствах, так как там используются упрощённый функционал даже в официальном приложении от Microsoft, поэтому для просмотра скачивайте PDF-версию. А если нужно редактировать файл, то используйте оригинальный файл.
Файлы такого типа обычно разбиты на страницы, а текст может быть форматированным (жирный, курсив, выбор шрифта, таблицы и т.п.), а также в него можно добавлять изображения. Формат идеально подходит для рефератов, докладов и РПЗ курсовых проектов, которые необходимо распечатать. Кстати перед печатью также сохраняйте файл в PDF, так как принтер может начудить со шрифтами.
(матрицу
) с использованием резольвенты матрицы динамики А:














